SOLVED:is NH3 + H+ → NH4+ A Lewis Acid Or Base? - Numerade

Luke Monroe verified This problem has been solved 100% free to try See Answer

Question

is NH3 + H+ → NH4+ a Lewis acid or base? is NH3 + H+ → NH4+ a Lewis acid or base?

Added by Trevor N.

Chemistry: Structure and Properties Chemistry: Structure and Properties Nivaldo Tro 2nd Edition

Step 1

H+ is a Lewis acid because it accepts the lone pair of electrons from NH3. The reaction overall can be considered a Lewis acid-base reaction. Show more…

Show all steps

lock AceChat toggle button Close icon Ace pointing down

Please give Ace some feedback

Your feedback will help us improve your experience

Thumb up icon Thumb down icon Submit Thanks for your feedback! Profile picture is NH3 + H+ → NH4+ a Lewis acid or base? Close icon Play audio Feedback Upload button Send button Powered by NumerAI Ivan Kochetkov Danielle Fairburn David Collins verified

Luke Monroe and 76 other subject Chemistry 101 educators are ready to help you.

Ask a new question

*

Labs

-

Want to see this concept in action?

NEW

Explore this concept interactively to see how it behaves as you change inputs.

View Labs *

Key Concepts

- Key Concept Premium Feature Explore the core concept behind this problem. View Video Play button View Video Key Concept Premium Feature Explore the core concept behind this problem. Your browser does not support the video tag. Close Try it Now *

Recommended Videos

- based-on-the-bronsted-lowry-definition-is-nh3-an-acid-base-or-both

based on the Bronsted- Lowry definition is NH3 an acid, base, or both

Nicole K.

which-is-the-lewis-base-according-to-the-equation-below-zn2aq4nh3aqznnh324aq-select-the-correct-answer-below-znnh324-zn2-nh3-there-is-no-lewis-base-19445

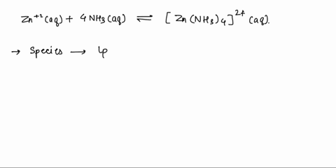
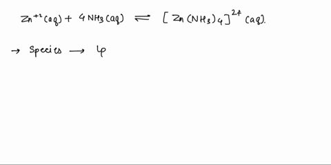
Which is the Lewis base according to the equation below? Zn2+(aq) + 4NH3(aq) ⇌ Zn(NH3)4^2+(aq) Select the correct answer below: Zn(NH3)4^2+ Zn2+ NH3 There is no Lewis base.

Adi S.

which-is-the-lewis-base-according-to-the-equation-below-zn2aq4nh3aqznnh324aq-select-the-correct-answer-below-znnh324-zn2-nh3-there-is-no-lewis-base-19445

Which is the Lewis base according to the equation below? Zn2+(aq) + 4NH3(aq) ⇌ Zn(NH3)4^2+(aq) Select the correct answer below: Zn(NH3)4^2+ Zn2+ NH3 There is no Lewis base.

Adi S.

*

Recommended Textbooks

- Chemistry: Structure and Properties

Chemistry: Structure and Properties

Nivaldo Tro 2nd Edition achievement 1,220 solutions Chemistry The Central Science

Chemistry The Central Science

Theodore L. Brown 14th Edition achievement 1,211 solutions Chemistry

Chemistry

Steven S. Zumdahl, Susan A. Zumdahl, Donald J. DeCoste 10th Edition achievement 1,528 solutions Need help? Use Ace Ace is your personal tutor. It breaks down any question with clear steps so you can learn. Start Using Ace Ace is your personal tutor for learning Step-by-step explanations Instant summaries Summarize YouTube videos Understand textbook images or PDFs Study tools like quizzes and flashcards Listen to your notes as a podcast

What our educators say

25992 Students Helped in Chemistry 101 “Numerade has a great goal - to increase people's educational levels all around the world. Educators do not complete student's personal homework tasks. We create video tutorials that may be used for many years in the future.” Dr. Mei Lin Chen PhD in Chemistry 101

44601 Students Helped in Chemistry 101 "The format has forced me to think about what knowledge is needed by the student to solve a problem and present it concisely and understandably within the time constraint of the video." Dr. Emily Green PhD in Chemistry 101

30417 Students Helped in Chemistry 101 “Explaining topics while I make Numerade videos has helped me deepen my own understanding and come up with new ways to help my students grasp concepts while I'm teaching.” Professor Jonathan Reed Master's in Chemistry 101

Numerade Get step-by-step video solutionfrom top educators Start your free 7-day trial, Sign up now. Continue with Facebook Continue with Apple Continue with Clever or Name Email Password Create Account By creating an account, you agree to the Terms of Service and Privacy Policy Already have an account? Log In A free answerjust for you

Watch the video solution with this free unlock.

View the Answer Numerade

Log in to watch this video ...and 100,000,000 more!

EMAIL

PASSWORD

Log in OR Continue with Facebook Continue with Apple Continue with Clever Don't have an account? Sign Up

Từ khóa » Nh3 + H+ → Nh4+ Lewis