SOLVED:NH3 Reacts With O2 According To The Following Unbalanced ...

Paul Gabriel verified This problem has been solved 100% free to try See Answer

Question

NH3 reacts with O2 according to the following unbalanced chemical equation: NH3 + O2 → N2O4 + H2O Calculate the mass in grams of the excess reagent remaining after the complete reaction of 5.28 g of NH3 with 4.10 g of O2. NH3 reacts with O2 according to the following unbalanced chemical equation: NH3 + O2 → N2O4 + H2O Calculate the mass in grams of the excess reagent remaining after the complete reaction of 5.28 g of NH3 with 4.10 g of O2.

Added by James A.

Chemistry: Structure and Properties Chemistry: Structure and Properties Nivaldo Tro 2nd Edition

Step 1

First, we need to balance the chemical equation: $$4NH_3 + 5O_2 \rightarrow 2N_2O_4 + 6H_2O$$ Show more…

Show all steps

lock AceChat toggle button Close icon Ace pointing down

Please give Ace some feedback

Your feedback will help us improve your experience

Thumb up icon Thumb down icon Submit Thanks for your feedback! Profile picture NH3 reacts with O2 according to the following unbalanced chemical equation: NH3 + O2 → N2O4 + H2O Calculate the mass in grams of the excess reagent remaining after the complete reaction of 5.28 g of NH3 with 4.10 g of O2. Close icon Play audio Feedback Upload button Send button Powered by NumerAI Ivan Kochetkov David Collins Kathleen Carty verified

Paul Gabriel and 91 other subject Chemistry 101 educators are ready to help you.

Ask a new question

*

Labs

-

Want to see this concept in action?

NEW

Explore this concept interactively to see how it behaves as you change inputs.

View Labs *

Key Concepts

- Key Concept Premium Feature Explore the core concept behind this problem. View Video Play button View Video Key Concept Premium Feature Explore the core concept behind this problem. Your browser does not support the video tag. Close Try it Now *

Recommended Videos

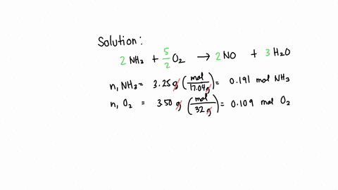
- take-the-reaction-nh3-o2-no-h2o-in-an-experiment-325g-of-nh3-are-allowed-to-react-with-350g-of-o2-which-reactant-is-the-limiting-reagent-how-many-grams-of-nh-are-formed-how-much-of-the-exces-51575

Take the reaction NH3 + O2 = NO + H2O. In an experiment, 3.25g of NH3 are allowed to react with 3.50g of O2. Which reactant is the limiting reagent? How many grams of NH are formed? How much of the excess reactant remains after the reaction?

Chareen G.

according-to-the-following-balanced-chemical-reaction-4-nh3-g-5-o2-g-4-no-g-6-h2o-g-how-many-grams-of-o2-are-needed-to-fully-react-with-2000-g-of-nh3-71096

According to the following balanced chemical reaction: 4 NH3 (g) + 5 O2 (g) → 4 NO (g) + 6 H2O (g), how many grams of O2 are needed to fully react with 200.0 g of NH3?

Ronald P.

4-nh3-g-5-o2-g-4-no-g-6-h2o-gwhen-1750-grams-of-ammonia-nh3-and-4325-grams-of-diatomic-oxygen-o2-are-mixed-3082-grams-of-nitrogen-monoxide-are-produced-what-is-the-mass-in-grams-of-the-exces-33891

4 NH3 (g) + 5 O2 (g) → 4 NO (g) + 6 H2O (g) When 17.50 grams of ammonia (NH3) and 43.25 grams of diatomic oxygen (O2) are mixed, 30.82 grams of nitrogen monoxide are produced. What is the mass (in grams) of the excess reagent that remains after the reaction is complete? The units are grams.

Susan H.

*

Recommended Textbooks

- Chemistry: Structure and Properties

Chemistry: Structure and Properties

Nivaldo Tro 2nd Edition achievement 1,992 solutions Chemistry The Central Science

Chemistry The Central Science

Theodore L. Brown 14th Edition achievement 1,236 solutions Chemistry

Chemistry

Steven S. Zumdahl, Susan A. Zumdahl, Donald J. DeCoste 10th Edition achievement 1,081 solutions Need help? Use Ace Ace is your personal tutor. It breaks down any question with clear steps so you can learn. Start Using Ace Ace is your personal tutor for learning Step-by-step explanations Instant summaries Summarize YouTube videos Understand textbook images or PDFs Study tools like quizzes and flashcards Listen to your notes as a podcast

What our educators say

25992 Students Helped in Chemistry 101 “Numerade has a great goal - to increase people's educational levels all around the world. Educators do not complete student's personal homework tasks. We create video tutorials that may be used for many years in the future.” Dr. Mei Lin Chen PhD in Chemistry 101

44601 Students Helped in Chemistry 101 "The format has forced me to think about what knowledge is needed by the student to solve a problem and present it concisely and understandably within the time constraint of the video." Dr. Emily Green PhD in Chemistry 101

30417 Students Helped in Chemistry 101 “Explaining topics while I make Numerade videos has helped me deepen my own understanding and come up with new ways to help my students grasp concepts while I'm teaching.” Professor Jonathan Reed Master's in Chemistry 101

Numerade Get step-by-step video solutionfrom top educators Start your free 7-day trial, Sign up now. Continue with Facebook Continue with Apple Continue with Clever or Name Email Password Create Account By creating an account, you agree to the Terms of Service and Privacy Policy Already have an account? Log In A free answerjust for you

Watch the video solution with this free unlock.

View the Answer Numerade

Log in to watch this video ...and 100,000,000 more!

EMAIL

PASSWORD

Log in OR Continue with Facebook Continue with Apple Continue with Clever Don't have an account? Sign Up

Từ khóa » Nh3+o2=n2o4+h2o