SOLVED:Simplify The Following Expressions: (a) \sinh \ln X (b) \cosh ...

Linda Hand verified This problem has been solved by verified expert Linda Hand 100% free to try See Answer

Question

Simplify the following expressions: (a) $\sinh \ln x$ (b) $\cosh \ln x, \quad$ (c) $\tanh \ln x$ (d) $\frac{\cosh \ln x+\sinh \ln x}{\cosh \ln x-\sinh \ln x}$ Simplify the following expressions: (a) $\sinh \ln x$(b) $\cosh \ln x, \quad$ (c) $\tanh \ln x$(d) $\frac{\cosh \ln x+\sinh \ln x}{\cosh \ln x-\sinh \ln x}$ Calculus: A Complete Course Calculus: A Complete Course Robert Adams ,… 9th Edition Chapter 3, Problem 7 ↓ View All Chapters

Step 1

Substituting $\ln x$ for $x$, we get $\sinh(\ln x) = \frac{e^{\ln x} - e^{-\ln x}}{2}$. Show more…

Show all steps

lock AceChat toggle button Close icon Ace pointing down

Please give Ace some feedback

Your feedback will help us improve your experience

Thumb up icon Thumb down icon Submit Thanks for your feedback! Profile picture Simplify the following expressions: (a) $\sinh \ln x$ (b) $\cosh \ln x, \quad$ (c) $\tanh \ln x$ (d) $\frac{\cosh \ln x+\sinh \ln x}{\cosh \ln x-\sinh \ln x}$ Close icon Play audio Feedback Upload button Send button Powered by NumerAI Jennifer Stoner Kathleen Carty Ivan Kochetkov verified

Linda Hand and 55 other subject Calculus 1 / AB educators are ready to help you.

Ask a new question

*

Labs

-

Want to see this concept in action?

NEW

Explore this concept interactively to see how it behaves as you change inputs.

View Labs *

Key Concepts

- Hyperbolic Functions Definition This concept involves expressing hyperbolic functions, such as sinh and cosh, in terms of exponential functions. Specifically, sinh u = (e^u ? e^(?u))?2 and cosh u = (e^u + e^(?u))?2. These definitions enable the transformation of hyperbolic expressions into forms that can be more easily manipulated and simplified. Exponential and Logarithm Relationships Understanding the relationship between exponential and logarithm functions is crucial. Since the logarithm is the inverse of the exponential function, properties such as e^(ln x) = x and e^(?ln x) = 1/x are used to directly replace and simplify expressions where the argument of the hyperbolic function is a logarithm. Simplification Techniques in Algebra This refers to the methods used for algebraic manipulation and simplification of expressions. By substituting definitions and applying exponential properties, one can reduce complex expressions involving hyperbolic functions and logarithms to more basic forms, often revealing cancellations or well-known identities. *

Recommended Videos

- simplify-each-expression-by-performing-the-indicated-operation-explain-how-you-arrived-at-each-ans-6

Simplify each expression by performing the indicated operation. Explain how you arrived at each answer. a. $x+x$ b. $x \cdot x$ c. $-x-x$ d. $(-x)(-x)$

Algebra A Combined Function

Exponents and Polynomials

Adding and Subtracting Polynomials

simplify-each-expression-by-performing-the-indicated-operation-explain-how-you-arrived-at-each-ans-2

Simplify each expression by performing the indicated operation. Explain how you arrived at each answer. See the Concept Check in this section. A. $$ x+x $$ B. $$ x=x $$ C. $$ -x-x $$ D. $$ (-x)(-x) $$

Beginning and Intermediate Algebra

Exponents and Polynomials

Polynomial Functions and Adding and Subtracting Polynomials

simplify-the-given-expressions-involving-the-indicated-multiplications-and-divisions-fracfracx2a-x2-

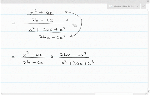
Simplify the given expressions involving the indicated multiplications and divisions. $$\frac{\frac{x^{2}+a x}{2 b-c x}}{\frac{a^{2}+2 a x+x^{2}}{2 b x-c x^{2}}}$$

Basic Technical Mathematics with Calculus

Factoring and Fractions

Multiplication and Division of Fractions

*

Transcript

- 00:01 Okay, in this problem, we want to simplify these expressions by using the definitions. 00:06 Hybabolic sign is e to the stuff minus e to the minus stuff all over two. 00:17 Okay, so that's e to the lnx minus minus. 00:20 I'm going to write this as e to the lnx to the minus one all over two. 00:27 So that's x minus 1 over x all over 2. 00:34 And so who's make those all into fractions and then i'm going to multiply everything by the common denominator which is x that gives me x squared minus 1 over 2x now if you do the same thing with the hyperbolic cosine the only difference is there will be a plus sign in there so let's just write that one that'll be x squared plus 1 over 2x then the hyperbolic tangent of the ln is the hyperbolic sign over the hyperbolic cosine. 01:17 So that'll be x squared minus 1 over 2x over x squared plus 1 over 2x. 01:24 Multiply the top and bottom by 2x. 01:26 Those are gone... Need help? Use Ace Ace is your personal tutor. It breaks down any question with clear steps so you can learn. Start Using Ace Ace is your personal tutor for learning Step-by-step explanations Instant summaries Summarize YouTube videos Understand textbook images or PDFs Study tools like quizzes and flashcards Listen to your notes as a podcast

What our educators say

25992 Students Helped in Calculus 1 / AB “Numerade has a great goal - to increase people's educational levels all around the world. Educators do not complete student's personal homework tasks. We create video tutorials that may be used for many years in the future.” Dr. Mei Lin Chen PhD in Calculus 1 / AB

44601 Students Helped in Calculus 1 / AB "The format has forced me to think about what knowledge is needed by the student to solve a problem and present it concisely and understandably within the time constraint of the video." Dr. Emily Green PhD in Calculus 1 / AB

30417 Students Helped in Calculus 1 / AB “Explaining topics while I make Numerade videos has helped me deepen my own understanding and come up with new ways to help my students grasp concepts while I'm teaching.” Professor Jonathan Reed Master's in Calculus 1 / AB

Numerade Get step-by-step video solutionfrom top educators Start your free 7-day trial, Sign up now. Continue with Facebook Continue with Apple Continue with Clever or Name Email Password Create Account By creating an account, you agree to the Terms of Service and Privacy Policy Already have an account? Log In A free answerjust for you

Watch the video solution with this free unlock.

View the Answer Numerade

Log in to watch this video ...and 100,000,000 more!

EMAIL

PASSWORD

Log in OR Continue with Facebook Continue with Apple Continue with Clever Don't have an account? Sign Up

Từ khóa » Sinh(ln X)