Tại Sao Sinx 0 Và Cosx Khác 0 Gộp Lại Sao Lại Ra Kpi/2 ạ ?cos A Cos 3x
Có thể bạn quan tâm


Tìm kiếm với hình ảnh
Vui lòng chỉ chọn một câu hỏi
Tìm đáp án
Đăng nhập- |
- Đăng ký


Hoidap247.com Nhanh chóng, chính xác
Hãy đăng nhập hoặc tạo tài khoản miễn phí!
Đăng nhậpĐăng ký

Lưu vào
+
Danh mục mới
- nhatnam2321

- Chưa có nhóm
- Trả lời
15
- Điểm
221
- Cảm ơn
7
- Toán Học
- Lớp 11
- 10 điểm
- nhatnam2321 - 17:19:29 02/07/2021

- Hỏi chi tiết
Báo vi phạm
Hãy luôn nhớ cảm ơn và vote 5* nếu câu trả lời hữu ích nhé!
TRẢ LỜI


- PN2004

- Chưa có nhóm
- Trả lời
3091
- Điểm
41522
- Cảm ơn
2176
- PN2004
- Câu trả lời hay nhất!

- 02/07/2021

Đây là câu trả lời đã được xác thực
Câu trả lời được xác thực chứa thông tin chính xác và đáng tin cậy, được xác nhận hoặc trả lời bởi các chuyên gia, giáo viên hàng đầu của chúng tôi.
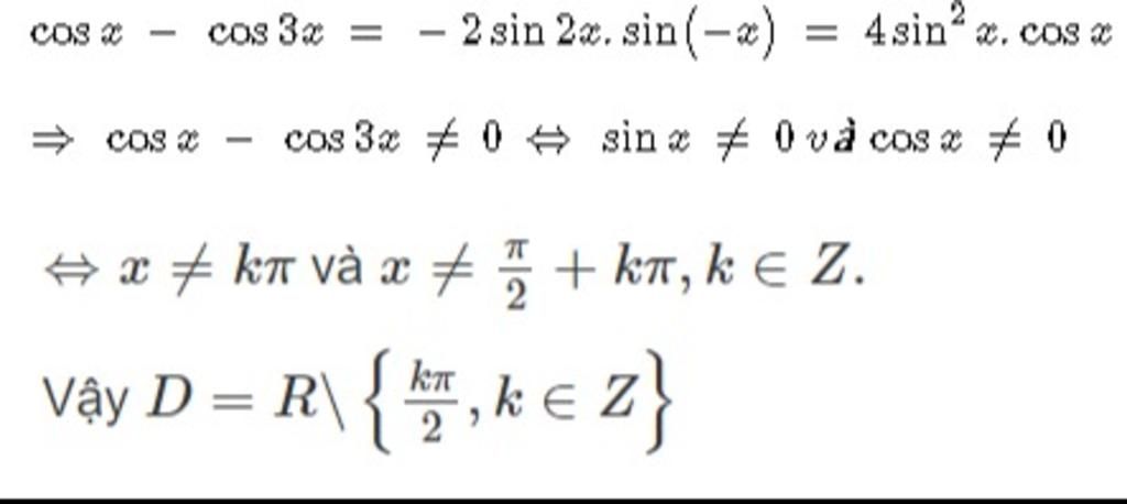
Đáp án:
Giải thích các bước giải:
\(\begin{cases} sin\ x \ne 0 \\ cos\ x \ne 0\end{cases}\)
Ta có: `sin\ x.cos\ x \ne 0`
Nhân 2 vế với 2 ta được
`2sin\ x.cos\ x \ne 0`
`⇔ sin\ 2x \ne 0`
`⇔ 2x \ne k\pi\ (k \in \mathbb{Z})`
`⇔ x \ne k\frac{pi}{2}\ (k \in \mathbb{Z})`
Vậy `D=\mathbb{R} \\ {k\frac{pi}{2}\ (k \in \mathbb{Z})}`
Hãy giúp mọi người biết câu trả lời này thế nào?
![]()
Cảm ơn 7
- vototrinh

- Chưa có nhóm
- Trả lời
0
- Điểm
50
- Cảm ơn
0
Tại sao lại nhân 2 vế cho 2 ạ
- vototrinh


- raichupica

- team IQ vô cực
- Trả lời
4078
- Điểm
14275
- Cảm ơn
3917
- raichupica
- 02/07/2021

Đây là câu trả lời đã được xác thực
Câu trả lời được xác thực chứa thông tin chính xác và đáng tin cậy, được xác nhận hoặc trả lời bởi các chuyên gia, giáo viên hàng đầu của chúng tôi.
`~rai~`
\(\begin{cases}\sin{x}\ne 0\\\cos{x}\ne 0\end{cases}\\\Leftrightarrow \sin{x}\cos{x}\ne 0\\\Leftrightarrow 2\sin{x}\cos{x}\ne 0\\\Leftrightarrow \sin{2x}\ne 0\quad\text{(công thức nhân đôi)}\\\Leftrightarrow 2x\ne k\pi\\\Leftrightarrow x\ne k\dfrac{\pi}{2}.(k\in\mathbb{Z})\\\to D=\mathbb{R}\backslash\left\{k\dfrac{\pi}{2}\Big|k\in\mathbb{Z}\right\}.\)
Hãy giúp mọi người biết câu trả lời này thế nào?
starstarstarstarstarstarstarstarstarstarstarstarstarstarstarstarstarstarstarstarstarstarstarstarstarstarstarstarstarstar5starstarstarstarstar1 voteGửiHủy
Cảm ơn 2
- vototrinh

- Chưa có nhóm
- Trả lời
0
- Điểm
50
- Cảm ơn
0
Tại sao lại nhân 2 vế cho 2 ạ
- vototrinh


- raichupica

- team IQ vô cực
- Trả lời
4078
- Điểm
14275
- Cảm ơn
3917
Để nó trở thành công thức nhân đôi nhé:$\sin2x=2\sin x\cos x$.
- raichupica
Bạn muốn hỏi điều gì?
Group 2K9 Ôn Thi ĐGNL & ĐGTD Miễn Phí

Bảng tin
Bạn muốn hỏi điều gì?
Lý do báo cáo vi phạm?
Gửi yêu cầu Hủy

Cơ quan chủ quản: Công ty Cổ phần Công nghệ Giáo dục Thành Phát
Tải ứng dụng


- Hướng dẫn sử dụng
- Điều khoản sử dụng
- Nội quy hoidap247
- Góp ý
Inbox: m.me/hoidap247online
Trụ sở: Tầng 7, Tòa Intracom, số 82 Dịch Vọng Hậu, Cầu Giấy, Hà Nội.
Từ khóa » Sinx Và Cosx Khác 0
-
Cho Mình Hỏi Là Tại Sao Sinx Và Cosx Khác 0 =》sin2x Khác 0 Vậu ạ.
-
Ai Có Thể Giải Thích Cho Mình Vì Sao {Sinx#0,Cosx#0=>x#k(bi) 2?
-
Top 19 điều Kiện Của Cosx Khác 0 Mới Nhất 2022
-
Toán 11 - Bài Tìm điều Kiện Xác định - HOCMAI Forum
-
Nghiệm Của Các Phương Trình Lượng Giác đặc Biệt - MathVn.Com
-
Cho Mình Hỏi Là: Tại Sao Sinx Khác 0 => X Khác Kπ Vậy? - Lazi
-
Toán 11 - Những Kiến Thức Căn Bản Về Lượng Giác | 7scv
-
Điều Kiện để Phương Trình Bậc Nhất đối Với Sinx Và Cosx Có Nghiệm
-
Cách Tìm Tập Xác định Của Hàm Số Lượng Giác Cực Hay - Toán Lớp 11
-
Rắc Rối điều Kiện Cho Tan X Và Có X? - Toán Học
-
Nghiệm Của Phương Trình (sin s X = 0 ) Là: