The Value Of The Expression C1/C0 + 2C2/C1 + 3C3/C2 ... - Numerade

Verified Human Explanation Solution Provided by a Human Expert Nick Johnson verified Nick Johnson Numerade Educator Created by a real educator, not AI.Step-by-step guidance. View Verified Answer 100% free to try.

Question

The value of the expression C1/C0 + 2C2/C1 + 3C3/C2 + ......... + nCn/Cn - 1 is A. (n + 1)(n + 2)² B. n(n + 1)² C. n(n - 1)² D. n(n + 2)² The value of the expression C1/C0 + 2C2/C1 + 3C3/C2 + ......... + nCn/Cn - 1 is A. (n + 1)(n + 2)² B. n(n + 1)² C. n(n - 1)² D. n(n + 2)²

Added by Julie B.

Elementary and Intermediate Algebra Elementary and Intermediate Algebra Alan S. Tussy, R. David Gustafson 5th Edition

Step 1

........ + nCn/Cn - 1 as n + (n-1) + (n-2) + ... + 1. Show more…

Show all steps

lock

Close

AceChat toggle button Close icon Ace pointing down

Please give Ace some feedback

Your feedback will help us improve your experience

Thumb up icon Thumb down icon Submit Thanks for your feedback! Profile picture The value of the expression C1/C0 + 2C2/C1 + 3C3/C2 + ......... + nCn/Cn - 1 is A. (n + 1)(n + 2)² B. n(n + 1)² C. n(n - 1)² D. n(n + 2)² Close icon Play audio Feedback Upload button Send button Powered by NumerAI Ivan Kochetkov Kathleen Carty Jennifer Stoner verified

Nick Johnson and 101 other subject Algebra educators are ready to help you.

Ask a new question

*

Key Concepts

- Key Concept Premium Feature Explore the core concept behind this problem. View Video Play button View Video Key Concept Premium Feature Explore the core concept behind this problem. Your browser does not support the video tag. Close Try it Now *

Recommended Videos

- the-value-of-2left-mathrmn-c_0rightfrac32left-mathrmn-c_1rightfrac43left-mathrmn-mathrmc_2rightfrac5

The value of $2\left({ }^{\mathrm{n}} C_{0}\right)+\frac{3}{2}\left({ }^{\mathrm{n}} C_{1}\right)+\frac{4}{3}\left({ }^{\mathrm{n}} \mathrm{C}_{2}\right)+\frac{5}{4}\left({ }^{\mathrm{n}} \mathrm{C}_{3}\right) \ldots$.is (A) $\frac{2^{n}(1-n)-1}{n+1}$ (B) $\frac{2^{n}(n+3)-1}{n+1}$ (C) $\frac{2^{n}-1}{n+1}$ (D) $\frac{2^{n}+2}{n-1}$

A Complete Resource Book in Mathematics for JEE Main if-mathrmnmathrmn1-then-the-value-of-sum_lambda0mathrmn-lambdamathrmn-1-mathrmc_mathrmn-1-is-equal-t

If $\mathrm{N}>\mathrm{n}>1$, then the value of $\sum_{\lambda=0}^{\mathrm{N}}{ }^{\lambda+\mathrm{n}-1} \mathrm{C}_{\mathrm{n}-1}$ is equal to (a) 1 (b) ${ }^{\mathrm{N}} \mathrm{C}_{\mathrm{n}+1}$ (c) $\mathrm{N}+\mathrm{n} \mathrm{C}$ (d) ${ }^{N+n-1} C_{n-1}$

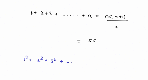
IIT JEE Super Course in Mathematics  ALGEBRA II if-the-value-of-123ldots-ldotsn-is-55-then-the-value-of-132333ldotsn3-is-a-165-b-385-c-3025-d-555

If the value of $1+2+3+\ldots \ldots+n$ is 55 , then the value of $1^{3}+2^{3}+3^{3}+\ldots+n^{3}$ is (a) 165 (b) 385 (c) 3025 (d) 555

IIT-JEE Super Course in Mathematics *

Recommended Textbooks

- Elementary and Intermediate Algebra

Elementary and Intermediate Algebra

Alan S. Tussy, R. David Gustafson 5th Edition achievement 1,994 solutions Algebra and Trigonometry

Algebra and Trigonometry

James Stewart, Lothar Redlin, Saleem Watson 4th Edition achievement 1,816 solutions Elementary and Intermediate Algebra

Elementary and Intermediate Algebra

Marvin L. Bittinger, David J. Ellenbogen,Barbara L. Johnson 4th Edition achievement 1,365 solutions *

Transcript

- 0:00 Hello. 00:01 So here we consider the given function, c1 over c0, plus 2c2 over c1, plus 3c3 over c2 and so on, plus n cn over c2, and so on, plus ncn over c times n minus 1... Need help? Use Ace Ace is your personal tutor. It breaks down any question with clear steps so you can learn. Start Using Ace Ace is your personal tutor for learning Step-by-step explanations Instant summaries Summarize YouTube videos Understand textbook images or PDFs Study tools like quizzes and flashcards Listen to your notes as a podcast

What our educators say

25992 Students Helped in Algebra “Numerade has a great goal - to increase people's educational levels all around the world. Educators do not complete student's personal homework tasks. We create video tutorials that may be used for many years in the future.” Dr. Mei Lin Chen PhD in Algebra

44601 Students Helped in Algebra "The format has forced me to think about what knowledge is needed by the student to solve a problem and present it concisely and understandably within the time constraint of the video." Dr. Emily Green PhD in Algebra

30417 Students Helped in Algebra “Explaining topics while I make Numerade videos has helped me deepen my own understanding and come up with new ways to help my students grasp concepts while I'm teaching.” Professor Jonathan Reed Master's in Algebra

Numerade Get step-by-step video solutionfrom top educators Start your free 7-day trial, Sign up now. Continue with Facebook Continue with Apple Continue with Clever or Name Email Password Create Account By creating an account, you agree to the Terms of Service and Privacy Policy Already have an account? Log In A free answerjust for you

Watch the video solution with this free unlock.

View the Answer Numerade

Log in to watch this video ...and 100,000,000 more!

EMAIL

PASSWORD

Log in OR Continue with Facebook Continue with Apple Continue with Clever Don't have an account? Sign Up

Từ khóa » The Sum C1/c0+2c2/c1