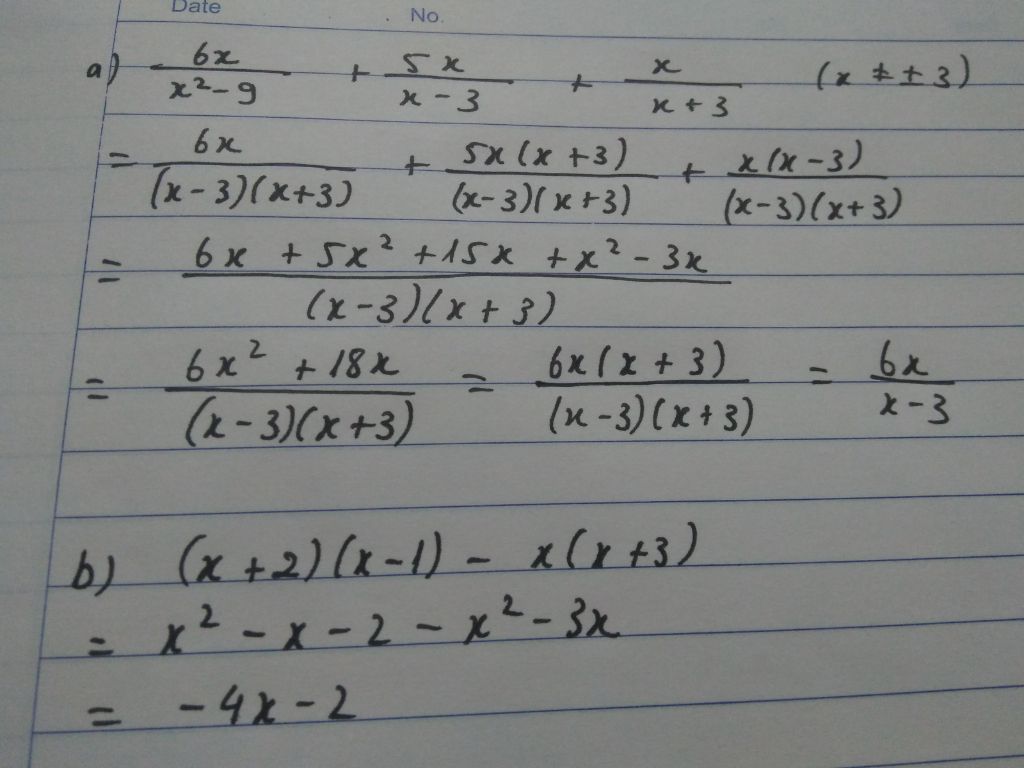
Thực Hiện Phép Tính: A,6x/x^2-9+5x/x-3+x/x+3 B, (x+2)(x-1)
Có thể bạn quan tâm


Tìm kiếm với hình ảnh
Vui lòng chỉ chọn một câu hỏi
Tìm đáp án
Đăng nhập- |
- Đăng ký


Hoidap247.com Nhanh chóng, chính xác
Hãy đăng nhập hoặc tạo tài khoản miễn phí!
Đăng nhậpĐăng ký

Lưu vào
+
Danh mục mới


- linhthuy794

- Chưa có nhóm
- Trả lời
4
- Điểm
849
- Cảm ơn
2
- Toán Học
- Lớp 8
- 10 điểm
- linhthuy794 - 14:01:20 12/03/2020
- Hỏi chi tiết
Báo vi phạm
Hãy luôn nhớ cảm ơn và vote 5* nếu câu trả lời hữu ích nhé!
TRẢ LỜI


- Kurobakaitou

- Chưa có nhóm
- Trả lời
3192
- Điểm
79920
- Cảm ơn
2694
- Kurobakaitou
- Câu trả lời hay nhất!

- 12/03/2020

Đáp án:
CHÚC BẠN HỌC TỐT!!!
Giải thích các bước giải:

Hãy giúp mọi người biết câu trả lời này thế nào?
starstarstarstarstarstarstarstarstarstarstarstarstarstarstarstarstarstarstarstarstarstarstarstarstarstarstarstarstarstar5starstarstarstarstar3 voteGửiHủy
Cảm ơn 2
Báo vi phạm


- linhthuy794

- Chưa có nhóm
- Trả lời
4
- Điểm
849
- Cảm ơn
2
làm hộ mk phần b nx ah
- linhthuy794


- Kurobakaitou

- Chưa có nhóm
- Trả lời
3192
- Điểm
79920
- Cảm ơn
2694
Rồi nhé
- Kurobakaitou


- linhthuy794

- Chưa có nhóm
- Trả lời
4
- Điểm
849
- Cảm ơn
2
cảm mơn nhoa
- linhthuy794


- Kurobakaitou

- Chưa có nhóm
- Trả lời
3192
- Điểm
79920
- Cảm ơn
2694
Kcj
- Kurobakaitou


- dinhhoatrung

- Chưa có nhóm
- Trả lời
56
- Điểm
1806
- Cảm ơn
33
- dinhhoatrung
- 12/03/2020

6x/x^2-9+5x/x-3+x/x+3
=6x/(x-3)(x+3)+5x/x-3+x/x+3
=6x/(x-3)(x+3)+5x(x+3)/(x-3)(x+3)+x(x-3)/(x-3)(x+3)
=(6x+5x^2+15x+x^2-3x)/(x-3)(x+3)
=6x^2+18x/(x-3)(x+3)
=6x(x+3)/(x-3)(x+3)
=6x/x-3
Hãy giúp mọi người biết câu trả lời này thế nào?
starstarstarstarstarstarstarstarstarstarstarstarstarstarstarstarstarstarstarstarstarstarstarstarstarstarstarstarstarstar5starstarstarstarstar2 voteGửiHủy
Cảm ơn 1
Báo vi phạm
Bạn muốn hỏi điều gì?
Tham Gia Group Dành Cho Lớp 8 Chia Sẻ, Trao Đổi Tài Liệu Miễn Phí

Bảng tin
Bạn muốn hỏi điều gì?
Lý do báo cáo vi phạm?
Gửi yêu cầu Hủy

Cơ quan chủ quản: Công ty Cổ phần Công nghệ Giáo dục Thành Phát
Tải ứng dụng


- Hướng dẫn sử dụng
- Điều khoản sử dụng
- Nội quy hoidap247
- Góp ý
Inbox: m.me/hoidap247online
Trụ sở: Tầng 7, Tòa Intracom, số 82 Dịch Vọng Hậu, Cầu Giấy, Hà Nội.
Từ khóa » Thực Hiện Phép Tính 6x/x^2-9+5x/x-3+x/x+3
-
Thực Hiện Phép Tính: 6x/x^2-9+5x/x-3+x/x+3 - Olm
-
Thực Hiện Phép Tính: 6x/x^2-9+5x/x-3+x/x+3 - Hoc24
-
Thực Hiện Phép Tính: 6x/x^2-9 5x/x-3 X/x 3 - Hoc24
-
Rút Gọn A= 6x/x^2-9 - 5x/3-x + X/ X+3 - Hà Trang - HOC247
-
Giúp Mình Với Nhé ! 1) A= 6x/x^2-9 - 5x/3-x + X
-
Thực Hiện Phép Tính. A,(x+2)(x-1)-x(x+3) B,6x/x^2-9+5x/x-3+x/x+3
-
Thực Hiện Phép Tính A) X + 9/x^2 - 9 - 3/x^ + 3x B) 3x + 5/x^2 - 5x + 25
-
Thực Hiện Phép Tính: X^2 + 6x + 9/1
-
[Sách Giải] Đề Kiểm Tra 45 Phút Toán 8 Chương 1 Đại Số (Đề 4)
-
Thực Hiện Phép Tính Sau: 18 / (x-3)(x^2 -9)
-
Tìm Biểu Thức Q, Biết: (((5x))(((x^2) + 2x + 1)) , , Cdot , ,Q