Tìm Căn Bậc Hai Không âm Của Các Số Sau: A,16; 1600;0,16; 162 B,25
Có thể bạn quan tâm


Tìm kiếm với hình ảnh
Vui lòng chỉ chọn một câu hỏi
Tìm đáp án
Đăng nhập- |
- Đăng ký


Hoidap247.com Nhanh chóng, chính xác
Hãy đăng nhập hoặc tạo tài khoản miễn phí!
Đăng nhậpĐăng ký

Lưu vào
+
Danh mục mới


- choemvote

- Chưa có nhóm
- Trả lời
0
- Điểm
14
- Cảm ơn
0
- Toán Học
- Lớp 7
- 10 điểm
- choemvote - 14:12:38 27/09/2020
- Hỏi chi tiết
Báo vi phạm
Hãy luôn nhớ cảm ơn và vote 5* nếu câu trả lời hữu ích nhé!
TRẢ LỜI


- maimai0721

- Chưa có nhóm
- Trả lời
165
- Điểm
931
- Cảm ơn
118
- maimai0721
- Câu trả lời hay nhất!

- 27/09/2020

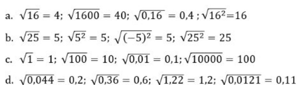
Đáp án:
a, CBH của 16 là 4
CBH của 1600 là 40
CBH của 0,16 là 0,4
CBH của 162 là 9 căn 2 ( xấp xỉ 13 )
b , CBH của 25 là 5
CBH của 52 là 2 căn 13 ( xấp xỉ 7 )
CBH CỦA (-5)^2 LÀ 5
CBH của 252 là 6 căn 7 (xấp xỉ 16 )
c, CBH của 1 là 1
CBH của 100laf 10
CBH của 0,01 là 0,1
CBH của 10000 là 100
d, CBH của 0.04 là 0,2
CBH của 0,36 là 0,6
CBH của 1,44 là 1,2
CBH của 0,0121 là 0,11
Giải thích các bước giải:
Hãy giúp mọi người biết câu trả lời này thế nào?

Cảm ơn 1
Báo vi phạm


- Annihilators2

- Chưa có nhóm
- Trả lời
185
- Điểm
2038
- Cảm ơn
140
- Annihilators2
- 27/09/2020

nhìn vào hình hộ mình nha

Hãy giúp mọi người biết câu trả lời này thế nào?

Cảm ơn 1
Báo vi phạm
Bạn muốn hỏi điều gì?
Tham Gia Group Dành Cho Lớp 7 Chia Sẻ, Trao Đổi Tài Liệu Miễn Phí

Bảng tin
Bạn muốn hỏi điều gì?
Lý do báo cáo vi phạm?
Gửi yêu cầu Hủy

Cơ quan chủ quản: Công ty Cổ phần Công nghệ Giáo dục Thành Phát
Tải ứng dụng


- Hướng dẫn sử dụng
- Điều khoản sử dụng
- Nội quy hoidap247
- Góp ý
Inbox: m.me/hoidap247online
Trụ sở: Tầng 7, Tòa Intracom, số 82 Dịch Vọng Hậu, Cầu Giấy, Hà Nội.
Từ khóa » Căn Bậc 2 Của 162
-
Rút Gọn Căn Bậc Hai Của 162 | Mathway
-
162)/( Căn Bậc Hai Của -81) | Mathway
-
Hãy Tìm Căn Bậc Hai - QANDA
-
Sqrt 162 | Xem Lời Giải Tại QANDA
-
Áp Dụng Quy Tắc Nhân Các Căn Bậc Hai, Hãy Tính: √2.√162.
-
Rút Gọn Căn(2ab^2)/ Căn 162 Với A Lớn Hơn Bằng 0
-
Tính 2 Căn 18 Trừ 7 Căn 2 Cộng Căn 162 - Hoc24
-
Giải 2x^2-162=0 | Ứng Dụng Giải Toán Microsoft Math
-
Thông Báo 162/TB-VPCP 2022 Kết Luận Về Công Tác Tiêm Chủng Vắc ...
-
4 Căn Bậc Hai được Gọi Là Gì?
-
√2×√162
-
Tính : \( \sqrt 2 .\sqrt {162}\)
-
Giải Phương Trình Bậc Hai -2x^2-36x-162=0 Bằng Công Thức Bậc Hai
-
2 Căn 18 -7 Căn 2+căn162 - Olm