Tìm M để Biểu Thức Sau Luôn âm: A) F(x) = Mx² - X - 5 Câu Hỏi 354948
Có thể bạn quan tâm


Tìm kiếm với hình ảnh
Vui lòng chỉ chọn một câu hỏi
Tìm đáp án
Đăng nhập- |
- Đăng ký


Hoidap247.com Nhanh chóng, chính xác
Hãy đăng nhập hoặc tạo tài khoản miễn phí!
Đăng nhậpĐăng ký

Lưu vào
+
Danh mục mới
- honghitu

- Chưa có nhóm
- Trả lời
0
- Điểm
0
- Cảm ơn
0
- Toán Học
- Lớp 10
- 30 điểm
- honghitu - 23:36:05 13/03/2020
- Hỏi chi tiết
Báo vi phạm
Hãy luôn nhớ cảm ơn và vote 5* nếu câu trả lời hữu ích nhé!
TRẢ LỜI


- nganna

- Chưa có nhóm
- Trả lời
3466
- Điểm
47162
- Cảm ơn
5949
- nganna
- 15/05/2020
Đây là một chuyên gia không còn hoạt độngĐây là câu trả lời đã được xác thực
Câu trả lời được xác thực chứa thông tin chính xác và đáng tin cậy, được xác nhận hoặc trả lời bởi các chuyên gia, giáo viên hàng đầu của chúng tôi.
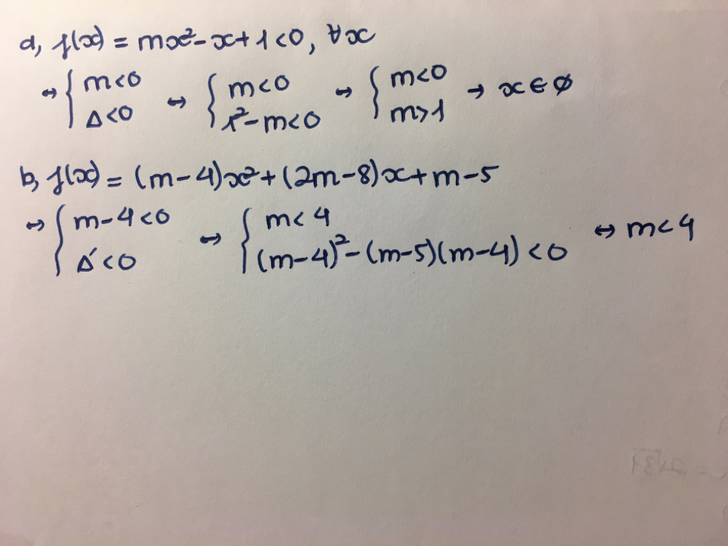
a) $f(x)=mx^2-x-1$
Để biểu thức luôn âm thì:
$\left\{\begin{array}{I}\Delta<0\\m<0\end{array}\right.\Leftrightarrow\left\{\begin{array}{I}1+4m<0\\m<0\end{array}\right .$
$\Leftrightarrow \left\{\begin{array}{I}m<\dfrac{-1}4\\m<0\end{array}\right.\Leftrightarrow m<\dfrac{-1}4$
Vậy với $m<\dfrac{-1}4$ thì biểu thức luôn âm.
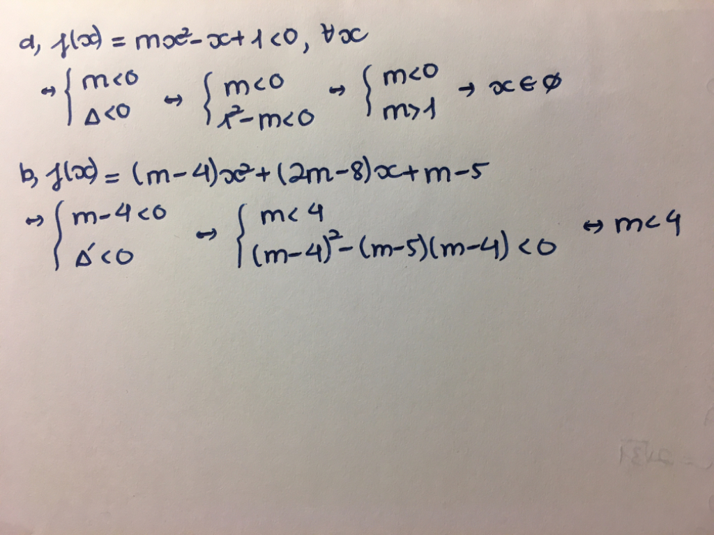
b) $f(x)=(m-4)x^2+(2m-8)x+m-5$
Với $m=4$ thì biểu thức là: f(x)=-1<0
Với $m\ne4$
Để biểu thức luôn âm thì:
$\left\{\begin{array}{I}\Delta'<0\\m-4<0\end{array}\right.\Leftrightarrow\left\{\begin{array}{I}(m-4)^2-(m-4)(m-5)<0\\m-4<0\end{array}\right .$
$\Leftrightarrow \left\{\begin{array}{I}(m-4)(m-4-m+5)<0\\m-4<0\end{array}\right.\Leftrightarrow m<4$
Vậy với $m\le4$ thì biểu thức luôn âm.
Hãy giúp mọi người biết câu trả lời này thế nào?
starstarstarstarstarstarstarstarstarstarstarstarstarstarstarstarstarstarstarstarstarstarstarstarstarstarstarstarstarstar4.4starstarstarstarstar7 voteGửiHủy
Cảm ơn 4


- hominhtu

- Chưa có nhóm
- Trả lời
16
- Điểm
1586
- Cảm ơn
13
Thiếu trường hợp m-4=0 tuy nó vô lý nhưng phải có trong bài
- hominhtu


- nganna

- Chưa có nhóm
- Trả lời
3466
- Điểm
47162
- Cảm ơn
5949
Cảm ơn nhé, mình sửa lại r
- nganna


- thehung0901

- Chưa có nhóm
- Trả lời
2884
- Điểm
56821
- Cảm ơn
2751
- thehung0901
- 13/03/2020

Đáp án:
Giải thích các bước giải:

Hãy giúp mọi người biết câu trả lời này thế nào?
starstarstarstarstarstarstarstarstarstarstarstarstarstarstarstarstarstarstarstarstarstarstarstarstarstarstarstarstarstar3.8starstarstarstarstar4 voteGửiHủy
Cảm ơn 4
Báo vi phạm
- Betapdi

- Chưa có nhóm
- Trả lời
0
- Điểm
125
- Cảm ơn
0
Câu 1 sai đề vs áp dụng denta sai Câu 2 mk khai triển (M-4)^2 - (m-5)(m-4)<0 <=> m^2-8m+16-m^2+4m+5m-20<0 <=>-m-4<0 Kèm đk m<4 suy ra vô nghiệm
- Betapdi
Bạn muốn hỏi điều gì?
PH/HS Tham Gia Nhóm Lớp 10 Để Trao Đổi Tài Liệu, Học Tập Miễn Phí!

Bảng tin
Bạn muốn hỏi điều gì?
Lý do báo cáo vi phạm?
Gửi yêu cầu Hủy

Cơ quan chủ quản: Công ty Cổ phần Công nghệ Giáo dục Thành Phát
Tải ứng dụng


- Hướng dẫn sử dụng
- Điều khoản sử dụng
- Nội quy hoidap247
- Góp ý
Inbox: m.me/hoidap247online
Trụ sở: Tầng 7, Tòa Intracom, số 82 Dịch Vọng Hậu, Cầu Giấy, Hà Nội.
Từ khóa » Tìm M để F(x) Luôn âm
-
TÌM ĐIỀU KIỆN ĐỂ TAM THỨC BẬC HAI LUÔN ... - Tài Liệu 24h
-
Tìm M để F(x) = Mx^2 - 2(m - 1)x + 4m Luôn Luôn âm Với Mọi X
-
Tìm điều Kiện để Tam Thức Bậc Hai Luôn Dương, Luôn âm
-
Tìm Các Giá Trị Của M để Mỗi Biểu Thức Sau Luôn âm.. Bài 51 Trang ...
-
Định M để Biểu Thức Sau Luôn âm Với Mọi X In MathbbR F( X ) = ( 2 - M
-
Định M để Biểu Thức Sau Luôn âm Với Mọi X \(\varepsilon R ... - Hoc24
-
Tìm Các Giá Trị Của M để Biểu Thức Sau Luôn âm: F(x) Bằng Mx Mũ 2
-
TÌM ĐIỀU KIỆN ĐỂ TAM THỨC BẬC HAI LUÔN DƯƠNG, LUÔN ÂM
-
Tìm M để F(x)=-x^2+2(m+1)x-m^2+m-4 Luôn âm Với Mọi X
-
Tìm M để Mỗi Biểu Thức Luôn âm - HOCMAI Forum
-
Tìm Các Giá Trị Của M để Biểu Thức Sau Luôn âm: F(x)=mx2-x-1
-
Tìm Các Giá Trị Của M để Biểu Thức Sau Luôn Dương H(x)
-
Tìm Các Giá Trị Của M để Biểu Thức Sau Luôn âm: F(x) Bằng Mx Mũ 2...
-
Tam Thức F( X ) = (x^2) - ( (m + 2) )x + 8m + 1 Không âm Với Mọi