Tìm Tập Xác định Của Hàm Số Y=sinx/2sinx-1 Câu Hỏi 1056517
Có thể bạn quan tâm


Tìm kiếm với hình ảnh
Vui lòng chỉ chọn một câu hỏi
Tìm đáp án
Đăng nhập- |
- Đăng ký


Hoidap247.com Nhanh chóng, chính xác
Hãy đăng nhập hoặc tạo tài khoản miễn phí!
Đăng nhậpĐăng ký

Lưu vào
+
Danh mục mới
- tuananh352

- Chưa có nhóm
- Trả lời
0
- Điểm
11
- Cảm ơn
0
- Toán Học
- Lớp 11
- 10 điểm
- tuananh352 - 13:14:14 20/08/2020
- Hỏi chi tiết
Báo vi phạm
Hãy luôn nhớ cảm ơn và vote 5* nếu câu trả lời hữu ích nhé!
TRẢ LỜI


- quangcuong347

- Chưa có nhóm
- Trả lời
53468
- Điểm
3081
- Cảm ơn
52924
- quangcuong347
- 20/08/2020
Đây là một chuyên gia không còn hoạt độngĐây là câu trả lời đã được xác thực
Câu trả lời được xác thực chứa thông tin chính xác và đáng tin cậy, được xác nhận hoặc trả lời bởi các chuyên gia, giáo viên hàng đầu của chúng tôi.
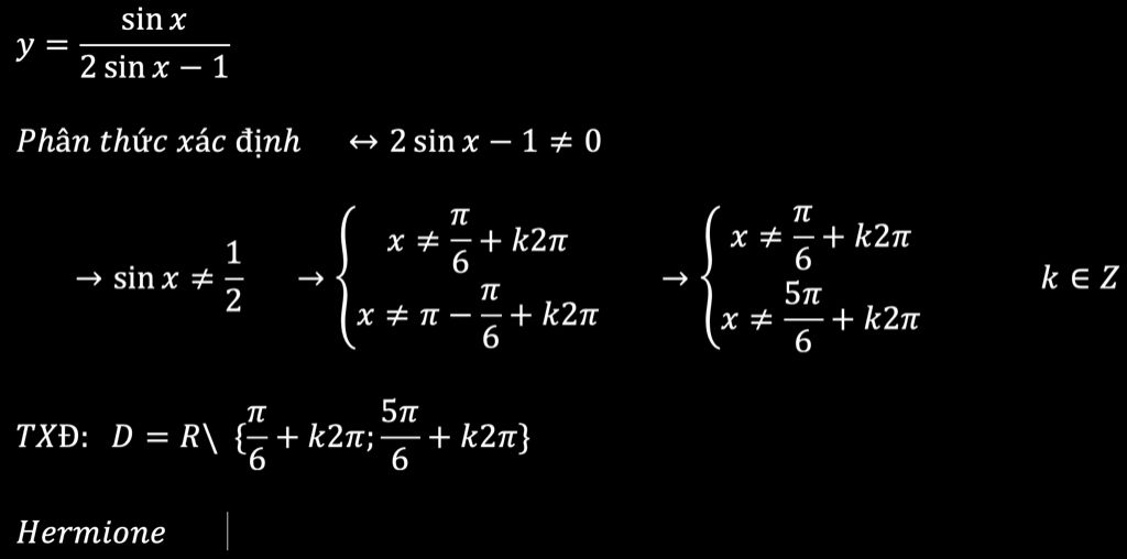
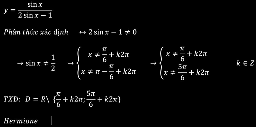
$D=\mathbb{R}$ \ $\{\dfrac{\pi}{6}+k2\pi;\dfrac{5\pi}{6}+k2\pi\}$

Hãy giúp mọi người biết câu trả lời này thế nào?
![]()
Cảm ơn 1


- Hermione

- Chưa có nhóm
- Trả lời
3136
- Điểm
53448
- Cảm ơn
3287
- Hermione
- Câu trả lời hay nhất!

- 20/08/2020
Đây là một chuyên gia không còn hoạt độngBạn tham khảo bài nhé

Hãy giúp mọi người biết câu trả lời này thế nào?
starstarstarstarstarstarstarstarstarstarstarstarstarstarstarstarstarstarstarstarstarstarstarstarstarstarstarstarstarstar5starstarstarstarstar2 voteGửiHủy
Cảm ơn 3
Báo vi phạm
- phuctai

- Chưa có nhóm
- Trả lời
0
- Điểm
50
- Cảm ơn
0
sao lại lấy π-π/6+ k2π vậy
- phuctai
Bạn muốn hỏi điều gì?
Tham Gia Group Dành Cho Lớp 11 Chia Sẻ, Trao Đổi Tài Liệu Miễn Phí

Bảng tin
Bạn muốn hỏi điều gì?
Lý do báo cáo vi phạm?
Gửi yêu cầu Hủy

Cơ quan chủ quản: Công ty Cổ phần Công nghệ Giáo dục Thành Phát
Tải ứng dụng


- Hướng dẫn sử dụng
- Điều khoản sử dụng
- Nội quy hoidap247
- Góp ý
Inbox: m.me/hoidap247online
Trụ sở: Tầng 7, Tòa Intracom, số 82 Dịch Vọng Hậu, Cầu Giấy, Hà Nội.
Từ khóa » Tìm Tập Xác định Y=cosx/2sinx-1
-
Tìm Tập Xác định Của Hàm Số Y = Cosx/(2sinx - 1) - Toán Học Lớp 11
-
Tập Xác định Của Hàm Số Y = Cosx/(2sinx - 1) - Toán Học Lớp 11
-
Tìm Tập Xác định Của Hàm Số Sau Y = Cotx/2sinx-1
-
Tìm Tập Xác định Của Hàm Số Y = Cosx/(2sinx - 1)
-
[LỜI GIẢI] Tìm Tập Xác định Của Hàm Số Y = 2sin X + 1cos X - 1.
-
Hàm Số Y = 2sinx +1 /1-cosx Xác định Khi
-
Tìm Tập Xác định Của Hàm Số Sau Y = Cotx/2sinx-1
-
Tập Xác định Của Hàm Số Y = (2sinx + 1)/(1 - Cosx) Là...
-
Câu 23 Trang 31 Đại Số Và Giải Tích 11 Nâng Cao, Tìm Tập Xác định ...
-
Tập Xác định Của Hàm Số Y=(2sinx+1)/(1-cosx) Là: - Mai Linh - Hoc247
-
Tập Xác định Của Hàm Số (y = 2sin X ) Là
-
Tìm Tập Xác định Của Hàm Số Y=2SinX +1/ 1- CosX. Nam 2022 - Bổ Túc