Tính đạo Hàm Cấp 2 Của Y=sinx/x Câu Hỏi 826410
Có thể bạn quan tâm


Tìm kiếm với hình ảnh
Vui lòng chỉ chọn một câu hỏi
Tìm đáp án
Đăng nhập- |
- Đăng ký


Hoidap247.com Nhanh chóng, chính xác
Hãy đăng nhập hoặc tạo tài khoản miễn phí!
Đăng nhậpĐăng ký

Lưu vào
+
Danh mục mới
- Nhocbuong

- Chưa có nhóm
- Trả lời
0
- Điểm
988
- Cảm ơn
0
- Toán Học
- Lớp 11
- 10 điểm
- Nhocbuong - 06:23:29 02/06/2020
- Hỏi chi tiết
Báo vi phạm
Hãy luôn nhớ cảm ơn và vote 5* nếu câu trả lời hữu ích nhé!
TRẢ LỜI


- nguyenthitra2003

- We are ONE!
- Trả lời
1553
- Điểm
30064
- Cảm ơn
1060
- nguyenthitra2003
- 02/06/2020

Đáp án:
Giải thích các bước giải:

Hãy giúp mọi người biết câu trả lời này thế nào?
starstarstarstarstarstarstarstarstarstarstarstarstarstarstarstarstarstarstarstarstarstarstarstarstarstarstarstarstarstarstarstarstarstarstarGửiHủy
Cảm ơn
Báo vi phạm


- Khoaubqn123

- Chưa có nhóm
- Trả lời
1
- Điểm
5
- Cảm ơn
0
Alo bạn ơi
- Khoaubqn123


- quangcuong347

- Chưa có nhóm
- Trả lời
53468
- Điểm
3081
- Cảm ơn
52915
- quangcuong347
- 23/11/2020
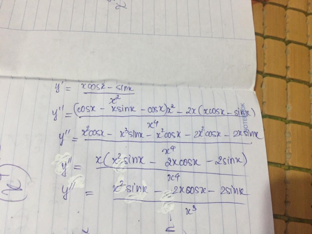
Đây là một chuyên gia không còn hoạt động$y=\dfrac{\sin x}{x}$
$y'=\dfrac{(\sin x)'x-\sin x.(x)'}{x^2}=\dfrac{x\cos x-\sin x}{x^2}$
$y''=\dfrac{(x\cos x-\sin x)'x^2-(x\cos x-\sin x).(x^2)'}{x^4}$
$=\dfrac{[x^2(x\cos x)'-x^2(\sin x)']-2x(x\cos x-\sin x)}{x^4}$
$=\dfrac{x^2.(\cos x+x.\sin x)-x^2.\cos x-2x^2\cos x+2x\sin x}{x^4}$
$=\dfrac{x^3\sin x-2x^2\cos x+2x\sin x}{x^4}$
$=\dfrac{x^2\sin x-2x\cos x+2\sin x}{x^3}$
Hãy giúp mọi người biết câu trả lời này thế nào?
starstarstarstarstarstarstarstarstarstarstarstarstarstarstarstarstarstarstarstarstarstarstarstarstarstarstarstarstarstarstarstarstarstarstarGửiHủy
Cảm ơn
Báo vi phạm
Bạn muốn hỏi điều gì?
Tham Gia Group Dành Cho Lớp 11 Chia Sẻ, Trao Đổi Tài Liệu Miễn Phí

Bảng tin
Bạn muốn hỏi điều gì?
Lý do báo cáo vi phạm?
Gửi yêu cầu Hủy

Cơ quan chủ quản: Công ty Cổ phần Công nghệ Giáo dục Thành Phát
Tải ứng dụng


- Hướng dẫn sử dụng
- Điều khoản sử dụng
- Nội quy hoidap247
- Góp ý
Inbox: m.me/hoidap247online
Trụ sở: Tầng 7, Tòa Intracom, số 82 Dịch Vọng Hậu, Cầu Giấy, Hà Nội.
Từ khóa » đạo Hàm Sinx/x
-
Tìm Đạo Hàm - D/dx Sin(x)^x | Mathway
-
Hàm Số Y=sinx/x Có đạo Hàm Là - Khóa Học
-
[LỜI GIẢI] Hàm Số Y = Sin X + X Có đạo Hàm Là? - Tự Học 365
-
Hàm Số Y=sinx/x Có đạo Hàm Là
-
Hàm Số Y=sinx/x Có đạo Hàm Là...
-
Hàm Số Y=sinx/x Có đạo Hàm Là... - Vietjack.online
-
Hàm Số \(y = \sin X + X\) Có đạo Hàm Là? - HOC247
-
Hàm Số Y= Sin X/x Có đạo Hàm Là:A. Y'=xcosx+ Sin X
-
Hàm Số Y=sinx/x Có đạo Hàm Là
-
Bài 3. Đạo Hàm Của Hàm Số Lượng Giác - Củng Cố Kiến Thức
-
Đạo Hàm Của Các Hàm Lượng Giác – Wikipedia Tiếng Việt