Tính đạo Hàm Của Hàm Số 1. Y = X^6. (x-2) 2. Y = (sin X + Cos X) / X 3 ...
Có thể bạn quan tâm


Tìm kiếm với hình ảnh
Vui lòng chỉ chọn một câu hỏi
Tìm đáp án
Đăng nhập- |
- Đăng ký


Hoidap247.com Nhanh chóng, chính xác
Hãy đăng nhập hoặc tạo tài khoản miễn phí!
Đăng nhậpĐăng ký

Lưu vào
+
Danh mục mới


- huongnguyen0166

- Chưa có nhóm
- Trả lời
44
- Điểm
1284
- Cảm ơn
13
- Toán Học
- Lớp 11
- 10 điểm
- huongnguyen0166 - 11:35:52 11/05/2021
- Hỏi chi tiết
Báo vi phạm
Hãy luôn nhớ cảm ơn và vote 5* nếu câu trả lời hữu ích nhé!
TRẢ LỜI


- quangcuong347

- Chưa có nhóm
- Trả lời
53468
- Điểm
3081
- Cảm ơn
52983
- quangcuong347
- Câu trả lời hay nhất!

- 11/05/2021
Đây là một chuyên gia không còn hoạt động1.
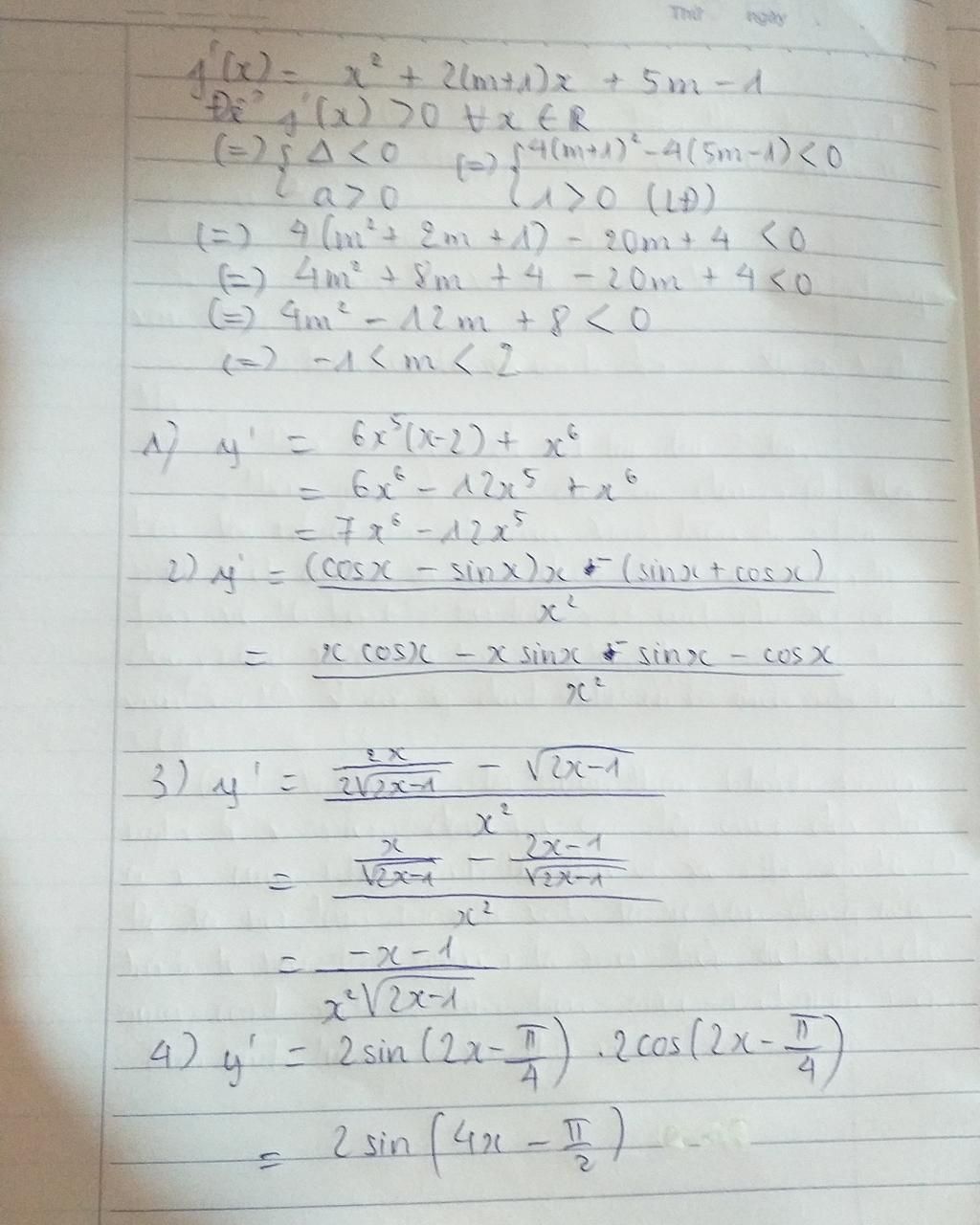
$y'=(x^6)'(x-2)+x^6(x-2)'$
$=6x^5(x-2)+x^6$
$=7x^6-12x^5$
2.
$y'=\dfrac{(\sin x+\cos x)'x-x'(\sin x+\cos x)}{x^2}$
$=\dfrac{(\cos x-\sin x)x-(\sin x+\cos x)}{x^2}$
$=\dfrac{x\cos x-x\sin x-\sin x-\cos x}{x^2}$
3.
$y'=\dfrac{(\sqrt{2x-1})'x-\sqrt{2x-1}}{x^2}$
$=\dfrac{\dfrac{1}{\sqrt{2x-1}}.x-\sqrt{2x-1}}{x^2}$
$=\dfrac{x-(2x-1)}{x^2(\sqrt{2x-1})}$
$=\dfrac{-x+1}{x^2\sqrt{2x-1}}$
4.
$y'=2\sin\Big(2x-\dfrac{\pi}{4}\Big).\Big(\sin\Big(2x-\dfrac{\pi}{4}\Big)\Big)'$
$=2\sin\Big(2x-\dfrac{\pi}{4}\Big).2\cos\Big(2x-\dfrac{\pi}{4}\Big)$
$=2\sin\Big(4x-\dfrac{\pi}{2}\Big)$
$=-2\cos4x$
Hãy giúp mọi người biết câu trả lời này thế nào?

Cảm ơn
Báo vi phạm
- lamphan568

- Chưa có nhóm
- Trả lời
75
- Điểm
1821
- Cảm ơn
45
- lamphan568
- 11/05/2021


Hãy giúp mọi người biết câu trả lời này thế nào?

Cảm ơn 1
Báo vi phạm
Bạn muốn hỏi điều gì?
Group 2K9 Ôn Thi ĐGNL & ĐGTD Miễn Phí

Bảng tin
Bạn muốn hỏi điều gì?
Lý do báo cáo vi phạm?
Gửi yêu cầu Hủy

Cơ quan chủ quản: Công ty Cổ phần Công nghệ Giáo dục Thành Phát
Tải ứng dụng


- Hướng dẫn sử dụng
- Điều khoản sử dụng
- Nội quy hoidap247
- Góp ý
Inbox: m.me/hoidap247online
Trụ sở: Tầng 7, Tòa Intracom, số 82 Dịch Vọng Hậu, Cầu Giấy, Hà Nội.
Từ khóa » Tính đạo Hàm Y=sin Căn 2x^2
-
Tính đạo Hàm Của Hàm Số Sau Y= Sin Căn (2+x^2)
-
Tính đạo Hàm Của Hàm Số Sau Y= Sin Căn (2+x^2)
-
Tính đạo Hàm Của Hàm Số Sau Y= Sin Căn (2+x^2)...
-
Tính đạo Hàm Của Y=sin Căn(x^3-2x+5) - Nguyễn Thị Thanh - Hoc247
-
Đạo Hàm Của Hàm Số $y = \sin \sqrt {2 + {x^2}}$ Là:
-
Giải Tích Các Ví Dụ - Mathway
-
Tìm Đạo Hàm - D/dx Sin( Căn Bậc Hai Của X) | Mathway
-
Tính đạo Hàm Của Hàm Số Y= Sin Căn (x^2+sin (cos X))...
-
[LỜI GIẢI] Đạo Hàm Của Hàm Số Y=2sin Căn X Là: - Tự Học 365
-
Cho Hàm Số Giá Trị Bằng - Vietjack.online
-
Hàm Số (y = Căn (2x + 5) ) Có đạo Hàm Cấp Hai Bằng