Tính đạo Hàm Của Hàm Số Y = (3/x^2)- Căn X

Tất cả Toán học Vật Lý Hóa học Văn học Lịch sử Địa lý Sinh học Giáo dục công dân Tin học Tiếng anh Công nghệ Khoa học Tự nhiên Lịch sử và Địa lý Bình An verified Đã trả lời bởi chuyên gia đã hỏi trong Lớp 11 Toán học · 17:03 31/08/2020 Chương 5: Đạo hàm verified Đã trả lời bởi chuyên gia Theo dõi Báo cáo

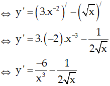
Tính đạo hàm của hàm số sau y = 3x2-x

Trả Lời Hỏi câu khác Lưu câu hỏi Lưu Hỏi chi tiết ...Xem thêm

Quảng cáo

1 câu trả lời 3129

Phương Anh 5 năm trước

Chọn B.

Ta có:

0 bình luận Đăng nhập để hỏi chi tiết

Quảng cáo

Bạn hỏi - Chuyên gia trả lời

Bạn cần hỏi gì?

Gửi câu hỏi
Câu hỏi hot cùng chủ đề
  • verified Đã trả lời bởi chuyên gia

    Tính đạo hàm của hàm số sau: y = cos2x

    A: 2 cosx.sinx

    B: -sin2 x

    C: -sinx

    D: Tất cả sai

    Trả lời (18) Xem đáp án » 135098
  • verified Đã trả lời bởi chuyên gia

    Hàm số có đạo hàm là:

    C. y' = -2(x – 2).

    Trả lời (1) Xem đáp án » 26759
  • verified Đã trả lời bởi chuyên gia

    Cho hàm số y=f(x)có đồ thị y=f'(x)như hình vẽ bên. Đồ thị hàm số g(x)=2f(x)-(x-1)2có tối đa bao nhiêu điểm cực trị?

    A. 3

    B. 5

    C. 6

    D. 7

    Trả lời (8) Xem đáp án » 26652
  • verified Đã trả lời bởi chuyên gia

    Tính đạo hàm của hàm số sau y=x2-x+1x-1

    A.x2-2xx-12

    B.x2+2xx-12

    C.x2+2xx+12

    D.-2x-2x-12

    Trả lời (1) Xem đáp án » 19111
  • verified Đã trả lời bởi chuyên gia

    Tính đạo hàm của hàm số y=x2+1x.

    A.12x2+1x1−1x2

    B.1x2+1x1+1x2

    C.2x2+1xx+1x2

    D.Đáp án khác 

    Trả lời (1) Xem đáp án » 17111
  • verified Đã trả lời bởi chuyên gia

    Tính đạo hàm của hàm số y=1+x1−x

    A.3−x1−x1−x.

    B.2(3−x) 1−x1−x.

    C.3−x21−x1−x.

    D.3−x21−x.

    Trả lời (1) Xem đáp án » 15852
  • verified Đã trả lời bởi chuyên gia

    Đạo hàm của hàm số y=(x5−2x2)2 bằng biểu thức nào sau đây?

    A. 10x9+16x3

    B. 10x9−14x6+16x3

    C. 10x9−28x6+16x3

    D. 10x9−28x6+8x3</p

    Trả lời (1) Xem đáp án » 15462
  • verified Đã trả lời bởi chuyên gia

    Tính đạo hàm của hàm số

    A.

    B.

    C.

    D.

    Trả lời (1) Xem đáp án » 14106
  • verified Đã trả lời bởi chuyên gia

    Có bao nhiêu giá trị nguyên của m để hàm số y=x+2x+5m có đạo hàm dương trên khoảng(-∞;-10) ?

    Trả lời (1) Xem đáp án » 13484
  • verified Đã trả lời bởi chuyên gia

    Tính đạo hàm của hàm số sau y=2x−3x+4

    A. y' =  −5(x+4)2

    B. y' =  −11(x+4)2

    C. y' =  5(x+4)2

    D. y' =  11(x+4)2

    Trả lời (1) Xem đáp án » 13404

Quảng cáo

Thành viên hăng hái nhất trong tuần
  • Kiều Anh 605 điểm
  • phúupervip 555 điểm
  • Hoàng Phi Nguyễn 535 điểm
  • ℂℍ𝕆 𝕋Ô𝕀 ℕ𝔾𝕌 ℍƠℕ ℕỮ𝔸! 525 điểm
  • Đ ĐỨA NÀO BIẾT ĐỌC LÀ GAY 420 điểm
  • Thỏ thích ăn dưa hấu 410 điểm
  • `` 360 điểm
  • 보고 싶어요 320 điểm
  • ୨୧ ʕan_kuriʔ˚ʚ♡ɞ˚|ɔɥɐu ʞnɹᴉ ɐu 300 điểm
  • ✨🎀🐬˚˖𓍢ִ໋hello~kitty✧˚.🐟⋆🐳🎀 295 điểm
  • ''520''<3 255 điểm
  • Hoàng Huy 245 điểm
  • Babymonster FOREVER 200 điểm
  • Lê Nguyễn Lan Anh k13 &Nguyễn Đặng Khánh Vy 190 điểm
  • bipth. 170 điểm
Xem thêm button Rút gọn button Hỏi bài giáo viên
Bài viết mới nhất Lớp 11
  • Phân tích nhân vật Bê-li-cốp trong truyện ngắn Người trong bao của Sê-khốp. 3 năm trước 4193
  • Phân tích tác phẩm Một thời đại trong thi ca của Hoài Thanh. 3 năm trước 3946
  • Cảm nhận vẻ đẹp tình yêu trong sáng trong bài thơ Tôi yêu em của Pu-Skin. 3 năm trước 3902
  • Phân tích tâm trạng của nhân vật trữ tình qua bài thơ Tôi yêu em của Pu-Skin. 3 năm trước 4151
  • Phân tích bài thơ Tôi yêu em của Pu-Skin. 3 năm trước 3785
Xem thêm » Gửi báo cáo thành công!
Thông báo
× Trải nghiệm miễn phí Hỏi đáp với App VietJack ! Tải nội dung trên Google Play Tải nội dung trên AppStore Tiếp tục sử dụng web! Đăng nhập vào hệ thống × Tài khoản Google Lưu mật khẩu Bạn quên mật khẩu? Đăng nhập Bạn chưa có tài khoản? Đăng ký ngay Đăng ký vào hệ thống × Tài khoản Google Đăng ký Bạn đã có tài khoản? Đăng nhập ngay Khôi phục tài khoản × Khôi phục Bạn đã có tài khoản? Đăng nhập ngay Đặt câu hỏi

Từ khóa » đạo Hàm 2/3x Căn X