Tính Nguyên Hàm Cho Dưới đây
Có thể bạn quan tâm


Tìm kiếm với hình ảnh
Vui lòng chỉ chọn một câu hỏi
Tìm đáp án
Đăng nhập- |
- Đăng ký


Hoidap247.com Nhanh chóng, chính xác
Hãy đăng nhập hoặc tạo tài khoản miễn phí!
Đăng nhậpĐăng ký

Lưu vào
+
Danh mục mới
- trinhkhahan

- Chưa có nhóm
- Trả lời
125
- Điểm
300
- Cảm ơn
91
- Toán Học
- Lớp 12
- 10 điểm
- trinhkhahan - 11:13:36 26/12/2021

- Hỏi chi tiết
Báo vi phạm
Hãy luôn nhớ cảm ơn và vote 5* nếu câu trả lời hữu ích nhé!
TRẢ LỜI
trinhkhahan rất mong câu trả lời từ bạn. Viết trả lờiTRẢ LỜI


- duycuong5

- IQ vô cực
- Trả lời
2231
- Điểm
38771
- Cảm ơn
2128
- duycuong5
- 26/12/2021

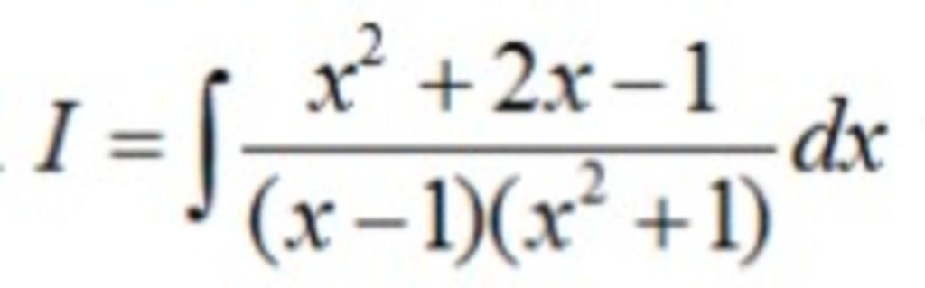
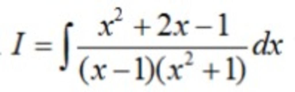
`I=int(x^2+2x-1)/((x-1)(x^2+1))dx`
`= int(2/(x^2 + 1) + 1/(x - 1)) dx`
`=2arctanx+ln|x-1|+C`
Hãy giúp mọi người biết câu trả lời này thế nào?
starstarstarstarstarstarstarstarstarstarstarstarstarstarstarstarstarstarstarstarstarstarstarstarstarstarstarstarstarstarstarstarstarstarstarGửiHủy
Cảm ơn
Báo vi phạm
Bạn muốn hỏi điều gì?
Group 2K8 ôn Thi ĐGNL & ĐGTD Miễn Phí

Bảng tin
Bạn muốn hỏi điều gì?
Lý do báo cáo vi phạm?
Gửi yêu cầu Hủy

Cơ quan chủ quản: Công ty Cổ phần Công nghệ Giáo dục Thành Phát
Tải ứng dụng


- Hướng dẫn sử dụng
- Điều khoản sử dụng
- Nội quy hoidap247
- Góp ý
Inbox: m.me/hoidap247online
Trụ sở: Tầng 7, Tòa Intracom, số 82 Dịch Vọng Hậu, Cầu Giấy, Hà Nội.
Từ khóa » Nguyên Hàm Dx/x^2+x+1
-
Tìm Nguyên Hàm Của 1/(x^2+x+1) - Trang Trang - HOC247
-
Tích Phân Từ 0 đến 1 Của Dx/x^2+x+1 Là Bao Nhiêu
-
Tìm Nguyên Hàm 1/(x-x^2) | Mathway
-
Tìm Nguyên Hàm 1/(x^2)dx | Mathway
-
Họ Nguyên Hàm Của Hàm Số F(x)=1/(x^2+x-2) Là
-
Họ Nguyên Hàm Của Hàm Số Tích Phân Của 2x+3/2.x^2-x-1 Dx Là Chọn ...
-
Biết Nguyên Hàm F(x)dx =x^2+C Tính Nguyên Hàm F(x)dx...
-
Nguyên Hàm Của 1/(x^2+1)
-
Nguyên Hàm X(1-x^2)^10 | Leo-đè
-
Tìm Nguyên Hàm Của Hàm Số Sau: ∫dx/(x+2)(x+3)(x+4) - Selfomy
-
Họ Nguyên Hàm Của Hàm Số Y=((2x^2+x)lnx+1)/x Là
-
Biết F(x)=e^x−2x^2 Là Một Nguyên Hàm Của Hàm Số F(x) Trên R. Khi ...
-
Biến đổi Và đổi Biến Hàm Tích Phân Bậc 2 - SlideShare