Tính PH Của Dung Dịch H2SO4 0,05M Câu Hỏi 9842
Có thể bạn quan tâm


Tìm kiếm với hình ảnh
Vui lòng chỉ chọn một câu hỏi
Tìm đáp án
Đăng nhập- |
- Đăng ký


Hoidap247.com Nhanh chóng, chính xác
Hãy đăng nhập hoặc tạo tài khoản miễn phí!
Đăng nhậpĐăng ký

Lưu vào
+
Danh mục mới
- yennhi314

- Chưa có nhóm
- Trả lời
0
- Điểm
40
- Cảm ơn
0
- Hóa Học
- Lớp 11
- 10 điểm
- yennhi314 - 21:57:21 09/09/2019
- Hỏi chi tiết
Báo vi phạm
Hãy luôn nhớ cảm ơn và vote 5* nếu câu trả lời hữu ích nhé!
TRẢ LỜI


- lhangl

- Chưa có nhóm
- Trả lời
2
- Điểm
899
- Cảm ơn
2
- lhangl
- 09/09/2019

Đây là câu trả lời đã được xác thực
Câu trả lời được xác thực chứa thông tin chính xác và đáng tin cậy, được xác nhận hoặc trả lời bởi các chuyên gia, giáo viên hàng đầu của chúng tôi.
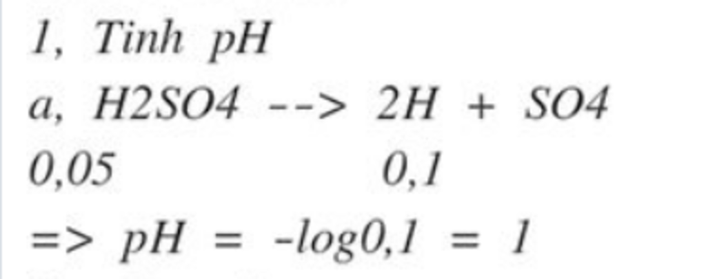
Đáp án:
pH = 1
Giải thích các bước giải:
$\begin{gathered} {H_2}S{O_4} \to 2{H^ + } + SO_4^{2 - } \hfill \\ \,\,\,\,\,\,\,\,\,\,\,0,05\,\,\,\, \to \,\,\,\,\,\,\,\,\,0,1\,\,\,\,\,\,\,\,\,\,\,\,\,\,\,\,\,\,\,\,\,\,\,\,\,\,\,\,\,\,\,M \hfill \\ \to pH = - \log [{H^ + }{\text{]}} = - \log 0,1 = 1 \hfill \\ \end{gathered} $
Hãy giúp mọi người biết câu trả lời này thế nào?
starstarstarstarstarstarstarstarstarstarstarstarstarstarstarstarstarstarstarstarstarstarstarstarstarstarstarstarstarstar4starstarstarstarstar1 voteGửiHủy
Cảm ơn 1


- mathematics

- Chưa có nhóm
- Trả lời
923
- Điểm
9673
- Cảm ơn
1176
- mathematics
- 09/09/2019

Tham khảo nhé !

Hãy giúp mọi người biết câu trả lời này thế nào?
starstarstarstarstarstarstarstarstarstarstarstarstarstarstarstarstarstarstarstarstarstarstarstarstarstarstarstarstarstar5starstarstarstarstar1 voteGửiHủy
Cảm ơn 1
Báo vi phạm


- mathematics

- Chưa có nhóm
- Trả lời
923
- Điểm
9673
- Cảm ơn
1176
:))
- mathematics


- mathematics

- Chưa có nhóm
- Trả lời
923
- Điểm
9673
- Cảm ơn
1176
suỵt :))
- mathematics


- phathocchi

- Devil Game
- Trả lời
285
- Điểm
2837
- Cảm ơn
209
:v
- phathocchi


- mathematics

- Chưa có nhóm
- Trả lời
923
- Điểm
9673
- Cảm ơn
1176
mình đã kêu tham khảo rồi mà bạn :))
- mathematics


- phathocchi

- Devil Game
- Trả lời
285
- Điểm
2837
- Cảm ơn
209
yes
- phathocchi


- phathocchi

- Devil Game
- Trả lời
285
- Điểm
2837
- Cảm ơn
209
tham khảo
- phathocchi


- phathocchi

- Devil Game
- Trả lời
285
- Điểm
2837
- Cảm ơn
209
bạn làm đúng r đó
- phathocchi


- mathematics

- Chưa có nhóm
- Trả lời
923
- Điểm
9673
- Cảm ơn
1176
haha
- mathematics
Bạn muốn hỏi điều gì?
Group 2K9 Ôn Thi ĐGNL & ĐGTD Miễn Phí

Bảng tin
Bạn muốn hỏi điều gì?
Lý do báo cáo vi phạm?
Gửi yêu cầu Hủy

Cơ quan chủ quản: Công ty Cổ phần Công nghệ Giáo dục Thành Phát
Tải ứng dụng


- Hướng dẫn sử dụng
- Điều khoản sử dụng
- Nội quy hoidap247
- Góp ý
Inbox: m.me/hoidap247online
Trụ sở: Tầng 7, Tòa Intracom, số 82 Dịch Vọng Hậu, Cầu Giấy, Hà Nội.
Từ khóa » Tính độ Ph Của Dung Dịch H2so4 0 05m
-
Tính PH Của Dung Dịch Sau: A) Dung Dịch H2SO4 0,05M. B ...
-
Dung Dịch H2 So4 0,05m Có Ph Bằng
-
Tính Ph Của Dung Dịch H2so4 0 01m + Hcl 0 05m - Xây Nhà
-
PH Của Dung Dịch H2SO4 0,0005 M Và PH Của Dung Dịch ...
-
Tính Nồng độ H+, OH-, PH Của Dd Sau: Dd H2So4 0,05M (giả Sử điện ...
-
Tính PH Của Các Dung Dịch HNO3 0.05M, H2SO4 0.005M - HOC247
-
Tính PH Thu được Khi Cho 400ml H2SO4 0,05M Và HNO3 0,1M Vào ...
-
Tính Ph Của Dd H2so4 0 005m - Toàn Thua
-
Giá Trị PH Của Dung Dịch H2SO4 0 0,05M Là
-
Tính PH Của Dung Dịch Có Chứa H2SO4 0,01M Và HCl 0,05M
-
Dung Dịch H2SO4 0 0,05M Có PH Bằng - LuTrader
-
Giá Trị Ph Của Dung Dịch H2so4 0 005m Là A. 2. B. 12. C. 10. D. 4
-
Top 15 Giá Trị Ph Của Dung Dịch H2so4 0 005m Là 2022