Tơ Capron Thuộc Loại - Điều Chế Tơ Capron
Có thể bạn quan tâm
Tơ capron: Tơ nylon 6
- 1. Tơ capron là gì?
- Tơ capron thuộc loại poliamit được tổng hợp từ e-amino caproic.
- 2. Công thức tơ capron
- 3. Điều chế tơ capron (Nilon -6)
- 4. Phân loại một số tơ
- 5. Bài tập vận dụng tơ nilon 6
Tơ capron thuộc loại- Điều chế Tơ capron được VnDoc tổng hợp biên soạn. Mời các bạn cùng theo dõi bài viết dưới đây nhé.
>> Mời các bạn tham khảo thêm một số nội dung liên quan
- Tổng ôn Polymer Hóa 12: Lý thuyết, Bài tập
- Polymer nào sau đây có chứa nguyên tố nitrogen?
- Tơ lapsan thuộc loại nào? Điều chế tơ Lapsan
- Dãy gồm các chất được dùng để tổng hợp cao su buna S là
- Polime nào sau đây được tổng hợp bằng phản ứng trùng ngưng
1. Tơ capron là gì?
Tơ capron thuộc loại Polyamide được tổng hợp từ ε-caprolactam.
Đây là phản ứng tự trùng ngưng của amino axit tương tự như ở tơ enang. Sản phẩm tạo thành là polymer có mắc xích có 6 nguyên tử C nên còn gọi là Nilong-6.
Các loại tơ Polyamide như tơ enang và tơ capron trên đây đều là những hơp chất bền, dai nên được dùng là vải may mặc tốt, hay làm võng nằm, lưới bắt cá, chỉ khâu, các sợi dây thừng,..Cả 2 loại tơ enang và tơ capron đều bền ở nhiệt độ thường.
Tuy nhiên khi đốt cháy ở nhiệt độ cao thì tạo thành sản phẩm khí có mùi khai của NH3, các sản phẩm khí khác và chất rắn màu đen mịn là mụi than Carbon.
2. Công thức tơ capron
Công thức một đoạn mạch của tơ nylon-6 là -(-HN-[CH2]5-CO-)-n
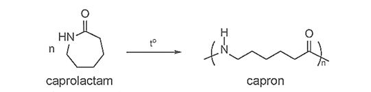
3. Điều chế tơ capron (Nilon -6)
Tơ Capron (nilon - 6): được điều chế theo phản ứng trùng ngưng (H2N-[CH2]5-COOH) hoặc trùng hợp [(CH2)5CONH], có cấu trúc mạch thẳng
H2N-[CH2]5-COOH
(− NH-[CH2]5-CO)−n + nH2O
Tơ capron: Tơ capron thường được tổng hợp từ phản ứng trùng hợp mở vòng ε-caprolactam:

4. Phân loại một số tơ
Dựa vào nguồn gốc và quy trình chế tạo, tơ thường được phân loại như sau:
| Loại tơ | Nguồn gốc/ quy trình chế tạo | Ví dụ | |
| Tơ tự nhiên | Có sẵn trong thiên nhiên và được sử dụng trực tiếp. | Bông, sợi lanh, len lông cừu, tơ tằm … | |
| Tơ hóa học | Tơ tổng hợp | Là tơ được chế tạo từ polymer tổng hợp. | Tơ polyamide, tơ vinylic… |
| Tơ bán tổng hợp hay nhân tạo | Là tơ xuất phát từ nguồn thiên nhiên nhưng được chế biến thêm bằng phương pháp hoá học. | Tơ visco, tơ cellulose acetate… | |
5. Bài tập vận dụng
Câu 1. Poly(methyl methacrylate) và Nylon-7 được tạo thành từ các monomer tương ứng là
A. CH2=CH-COOCH3 và H2N(CH2)6COOH
B. CH2=C(CH3)-COOCH3 và H2N-[CH2]6-COOH.
C. CH3-COO-CH=CH2 và H2N-[CH2]5-COOH.
D. CH2=C(CH3)-COOCH3 và H2N(CH2)6COOH.
Xem đáp án Đáp án DPoly(methyl methacrylate) được tạo thành từ các monomer là CH2=C(CH3)-COOCH3
còn và Nylon-7 được tạo thành từ các monomer H2N(CH2)6COOH.
Câu 2. Cho các phát biểu sau:
(1) Tơ enang được điều chế bằng cách trùng ngưng H2N-(CH2)6-COOH.
(2) Tơ là những vật liệu polymer hình sợi dài, mảnh với độ bền nhất định.
(3) Hầu hết các polymer là những chất rắn, không hơi, có nhiệt độ nóng chảy xác định.
(4) Tơ capron không phải là tơ thiên nhiên.
(5) Tơ capron là tơ Polyamide và còn được gọi là tơ nylon-6.
Số phát biểu đúng là:
A. 3
B. 4
C. 2
D. 5
Xem đáp án Đáp án B(1) Đúng,
(2) Đúng
(3) Sai, polymer có nhiệt độ nóng chảy không xác định
(4) Đúng vì Tơ capron không phải là tơ tổng hợp
(5) Đúng
Câu 3. Nhận định nào sau đây không đúng:
A. Tơ capron thuộc loại Polyamide được tổng hợp từ ε-caprolactam
B. Tơ visco và tơ acetate là tơ tổng hợp.
C. Tơ tằm, len lông cừu, bông là polymer thiên nhiên.
D. Tơ capron Được tạo ra từ phản ứng trùng hợp và trùng ngưng.
Xem đáp án Đáp án BTơ visco và tơ acetate là tơ bán tổng hợp hay nhân tạo
Câu 4. Trong số các loại to sau: tơ tằm, tơ visco, tơ nylon -6,6, tơ acetate, tơ capron, tơ enang; Số loại tơ thuộc loại tơ tổng là:
A. 3
B. 2
C. 4
D. 5
Xem đáp án Đáp án BSố loại tơ thuộc loại tơ tổng là: tơ nylon -6,6, tơ capron
Câu 5. Quá trình điều chế tơ nào dưới đây là quá trình trùng hợp?
A. tơ nitron (tơ olon) từ poliacrionitrin.
B. tơ capron từ axit -ε-caprolactam.
C. tơ nylon-6,6 từ Hexamethylenediamine và Adipic acid.
D. tơ lapsan từ ethylene glycol và Terephthalic acid
Xem đáp án Đáp án ATrùng hợp là quá trình kết hợp nhiều phân tử nhỏ (monomer), giống nhau hay tương tự nhau thành phân tử rất lớn (polymer).
Điều chế tơ nitron (tơ olon) từ Acrylonitrile là quá trình trùng hợp
Câu 6. Tơ enang được tổng hợp từ nguyên liệu nào sau đây?
A. H2N-(CH2)3-COOH
B. H2N-(CH2)4-COOH
C. H2N-(CH2)5-COOH
D. H2N-(CH2)6-COOH
Xem đáp án Đáp án DNylon-7 được điều chế bằng cách trùng ngưng 7-aminoheptanoic acid.
nH2N-(CH2)6-COOH →(−NH[CH2]5CO−)n + nH2O
Câu 7. Hai tơ nào sau đây đều là tơ tổng hợp?
A. tơ nylon-6,6 và bông.
B. tơ nylon-6,6 và tơ nitron.
C. tơ tằm và bông.
D. tơ visco và tơ acetate.
Xem đáp án Đáp án BCâu 8. Tơ visco không thuộc loại
A. tơ hóa học
B. tơ tổng hợp.
C. tơ bán tổng hợp.
D. tơ nhân tạo.
Xem đáp án Đáp án BTơ visco không thuộc loại tơ tổng hợp.
Câu 9. Tơ nilon-6,6 được tổng hợp từ phản ứng
A. trùng hợp giữa adipic acid và Hexamethylenediamine
B. trùng ngưng giữa adipic acid và Hexamethylenediamine
C. trùng hợp từ Caprolactam
D. trùng ngưng từ Caprolactam
Xem đáp án Đáp án BTơ nylon-6,6 được điều chế bằng phản ứng trùng ngưng của Hexamethylenediamine và Adipic acid(Hexanoic acid).
nH2N-(CH2)6-NH2 + nHOOC-(CH2)4-COOH → (-NH[CH2]6-NH-CO-[CH2]4-CO-)n.
Chi tiết bộ câu hỏi đáp án nằm trong FILE TẢI VỀ
--------------------------
Từ khóa » Tơ Enang Thuộc Loại Tơ Gì
-
Tơ Enang Thuộc Loạitơ Axetat. Tơ Poliamit. Tơ Tằm. Tơ Polieste.
-
[CHUẨN NHẤT] Tơ Enang Thuộc Loại? - TopLoigiai
-
[CHUẨN NHẤT] Tơ Enang Thuộc Loại Tơ Nào? - TopLoigiai
-
Tơ Lapsan, Enang, Visco, Capron, Polieste Thuộc Loại Nào, Các Loại Tơ ...
-
Trong Các Loại Tơ Sau: Tơ Tằm, Tơ Visco, Tơ Nilon-6,6, Tơ Axetat, Tơ ...
-
Tơ Enang Nilon-7 Thuộc Loại Tơ Poliamit được điều Chế T - Tự Học 365
-
[CHUẨN NHẤT] Tơ Enang Thuộc Loại? - TopLoigiai - MarvelVietnam
-
Tơ Nào Thuộc Loại Tơ Nhân Tạo? - Hoc247
-
Cho Các Loại Tơ Sau: Tơ Enang, Tơ Visco, Tơ Axetat, Tơ Nilon-6, Tơ Olon ...
-
Trong Số Các Loại Tơ Sau: Tơ Tằm, Tơ Visco, Tơ Nilon-6,6, Tơ Axetat, Tơ ...
-
Tơ Capron Thuộc Loại Gì - Trường THPT Trịnh Hoài Đức
-
Trong Số Các Loại Tơ Sau : Tơ Tằm, Tơ Visco, Tơ Nilon- 6,6, Tơ Ax