Tổng Hợp Các Dạng Bài Tập Về Con Lắc Lò Xo Có Lời Giải - SPBook
Có thể bạn quan tâm
Chuyên đề con lắc lò xo là một nội dung quan trọng trong chương trình Vật lí thi THPT QG, trong phạm vi bài viết này SPBook sẽ chia sẻ với các em hệ thống kiến thức lý thuyết và bài tập về con lắc lò xo có lời giải chi tiết. Đừng quên lưu lại để ôn luyện cho thật tốt các em nhé.

Kiến thức cơ bản về con lắc lò xo
Định nghĩa
Con lắc lò xo là một hệ thống gồm một lò xo có độ cứng k, khối lượng không đáng kể (lí tưởng) một đầu cố định và một đầu gắn vật nặng có khối lượng m (kích thước không đáng kể).
Phương trình động lực học của vật dao động điều hoà trong con lắc lò xo
| x’’ + ω2x = 0 (*) |
Trong toán học phương trình (*) được gọi là phương trình vi phân bậc 2 có nghiệm: x = A.cos(ωt +φ)
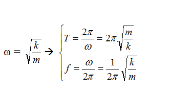
Tần số góc, chu kỳ dao động, tần số dao động

* Trong khoảng thời gian ∆t vật thực hiện được N dao động thì 
* Khi tăng khối lượng vật nặng n lần thì chu kỳ tăng
lần, tần số giảm 
* Khi mắc vật có khối lượng m1 vào lò xo có độ cứng k thì hệ dao động với chu kỳ

Tải ngay 237 bài tập về con lắc lò xo có lời giải chi tiết |
* Khi mắc vật có khối lượng m2 vào lò xo có độ cứng k thì hệ dao động với chu kỳ

* Khi mắc vật có khối lượng m = (m1 + m2) vào lò xo có độ cứng k thì hệ dao động với chu kỳ

* Khi mắc vật có khối lượng m = (m1 – m2) vào lò xo có độ cứng k thì hệ dao động với chu kỳ

(Hiệu ứng sóng con lắc vô cùng đẹp mắt được tạo ra dựa vào những tính toán về con lắc lò xo)
Các dạng bài tập về con lắc lò xo có lời giải chi tiết
Các dạng bài được trích từ sách Bí quyết 6.0 chinh phục môn Vật lý tập 1
Dạng 1: Đại cương về con lắc lò xo.

Dạng 2: Viết phương trình dao động điều hòa con lắc lò xo

Dạng 3: Bài toán thời gian trong dao động của con lắc lò xo


Dạng 4: Lực đàn hồi, phục hồi và năng lượng của con lắc lò xo

Dạng 5: Một số bài toán đặc biệt trong con lắc lò xo.

Tải ngay 237 bài tập về con lắc lò xo có lời giải chi tiết |
Từ khóa » Hệ Thống Bài Tập Con Lắc Lò Xo
-
Các Dạng Bài Tập Con Lắc Lò Xo Có Lời Giải - Vật Lí Lớp 12
-
Bài Tập Con Lắc Lò Xo, Các Dạng Toán Và Cách Giải - Vật Lý 12 Chuyên đề
-
Bài Tập Dao động điều Hòa Của Con Lắc Lò Xo, Bài Toán Chiều Dài Lò Xo
-
Lý Thuyết Và Bài Tập Con Lắc Lò Xo Lý 12 đầy đủ Và Chi Tiết - Marathon
-
“Xử đẹp” 237 Bài Tập Về Con Lắc Lò Xo Lớp 12 Chỉ Với 1 Cú Click
-
Các Dạng Bài Tập Chuyên đề Con Lắc Lò Xo
-
Bài Tập Về Con Lắc Lò Xo, Trắc Nghiệm Vật Lý Lớp 12 - Baitap123
-
Hệ Thống Bài Tập Con Lắc Lò Xo - Tài Liệu Text - 123doc
-
HỆ THỐNG BÀI TẬP CON LẮC LÒ XO - Tài Liệu Text - 123doc
-
Công Thức Tính Nhanh Bài Tập Con Lắc Lò Xo
-
Bài Tập Con Lắc Lò Xo
-
Phân Dạng Bài Tập Con Lắc Lò Xo Có Đáp Án - Thư Viện Học Liệu
-
"Ngỡ Ngàng" Với Bộ Kiến Thức Lý Thuyết Và Bài Tập Con Lắc Lò Xo Nằm ...
-
14 Dạng Bài Tập Con Lắc Lò Xo Dao động điều Hòa | 7scv
Tải ngay 237 bài tập về con lắc lò xo có lời giải chi tiết