Trắc Nghiệm Chương 7: Tốc độ Phản ứng Và Cân Bằng Hóa Học Phần 2
Có thể bạn quan tâm
Nâng cấp gói Pro để trải nghiệm website VnDoc.com KHÔNG quảng cáo, và tải file cực nhanh không chờ đợi.
Tìm hiểu thêm » Mua ngay Từ 79.000đ Hỗ trợ ZaloChuyên đề Hóa học lớp 10: Trắc nghiệm chương 7: Tốc độ phản ứng và cân bằng hóa học phần 2 được VnDoc sưu tầm và giới thiệu tới các bạn học sinh cùng quý thầy cô tham khảo. Nội dung tài liệu sẽ giúp các bạn học sinh học tốt môn Hóa học lớp 10 hiệu quả hơn. Mời các bạn tham khảo.
Bài tập trắc nghiệm chương 7
Bài 1: Cho phương trình hoá học của phản ứng tổng hợp amoniac.
N2(k) + 3H2(k)
2NH3(k)
Khi tăng nồng độ của hiđro lên 2 lần, tốc độ phản ứng thuận.
A. giảm đi 2 lần.
B. tăng lên 2 lần.
C. tăng lên 8 lần.
D. tăng lên 6 lần.
Hướng dẫn giải
Đáp án C.
vt = k. [N2].[H2]3 (k là hằng số tốc độ phản ứng được xác định bằng thực nghiệm)
→ Khi tăng nồng độ của hiđro lên 2 lần thì vt’= k. [N2].[2H2]3 = 8vt
→ Tốc độ phản ứng tăng lên 8 lần
Bài 2: Xét cân bằng. N2O4 (k) ⇌ 2NO2 (k) ở 25oC. Khi chuyển dịch sang một trạng thái cân bằng mới nếu tăng nồng độ của N2O4 lên 9 lần thì nồng độ của NO2
A. tăng 9 lần.
B. tăng 3 lần.
C. tăng 4,5 lần.
D. giảm 3 lần
Hướng dẫn giải
Đáp án B.
Vt = k[N2O4], Vn = k[NO2]2
ở trạng thái cân bằng. Vt = Vn
Nên khi tăng nồng độ của N2O4 lên 9 lần thì nồng độ của NO2 tăng 3 lần
Bài 3: Thực hiện phản ứng sau trong bình kín. H2(k) + Br2(k) → 2HBr (k)
Lúc đầu nồng độ hơi Br2 là 0,072 mol/l. Sau 2 phút, nồng độ hơi Br2 còn lại là 0,048 mol/l. Tốc độ trung bình của phản ứng tính theo Br2 trong khoảng thời gian trên là.
A. 8.10-4 mol/(l.s)
B. 6.10-4 mol/(l.s)
C. 4.10-4 mol/(l.s)
D. 2.10-4 mol/(l.s)
Hướng dẫn giải
Đáp án D.
Tốc độ phản ứng là độ biến thiên nồng độ của một trong các chất phản ứng hoặc sản phẩm trong một đơn vị thời gian.
t= 2 phút = 120 giây; CM bđ (Br2) = 0,072 mol/l; CM sau(Br2) = 0,048 mol/l
→ CM pứ (Br2) = 0,072 - 0,048 = 0,024 mol/s; Vtb =0,024/120 = 2.10-4 mol/(l.s)
Bài 4: Cho ba mẫu đá vôi (100% CaCO3) có cùng khối lượng. mẫu 1 dạng khối, mẫu 2 dạng viên nhỏ, mẫu 3 dạng bột mịn vào ba cốc đựng cùng thể tích dung dịch HCl (dư, cùng nồng độ, ở điều kiện thường). Thời gian để đá vôi tan hết trong ba cốc tương ứng là t1, t2, t3 giây. So sánh nào sau đây đúng?
A. t3<t2<t1 B. t1<t2<t1
C. t1=t2=t3 D. t2<t1<t3
Hướng dẫn giải
Đáp án A.
Sử dụng yếu tố diện tích tiếp xúc, diện tích tiếp xúc càng lớn, thời gian càng nhỏ.
Bài 5: Cho các cân bằng.
(1) H2 (k) + I2 (k) ⇌ 2HI (k)
(2) 2NO (k) + O2 (k) ⇌ 2NO2 (k)
(3) CO(k) + Cl2(k) ⇌ COCl2 (k)
(4) CaCO3 (r) ⇌ CaO (r) + CO2 (k)
(5) 3Fe (r) + 4H2O (k) ⇌ Fe3O4 (r) + 4H2 (k)
Các cân bằng chuyển dịch theo chiều thuận khi tăng áp suất là .
A. (1), (4).
B. (1), (5).
C. (2), (3), (5).
D. (2), (3).
Hướng dẫn giải
Đáp án D.
Cân bằng chuyển dịch theo chiều thuận khi tổng số mol phân tử khí của chất tham gia phản ứng lớn hơn tổng số mol phân tử khí của sản phẩm.
(2) 2NO (k) + O2 (k) ⇌ 2NO2 (k)
3 mol phân tử khí 2 mol phân tử khí
(3) CO(k) + Cl2(k) ⇌ COCl2 (k)
2 mol phân tử khí 1 mol phân tử khí
Bài 6: Cho các phản ứng.
(1) H2 (k) + I2 (k) ⇌ 2HI (k)
(2) 2SO2 (k) + O2 (k) ⇌ 2SO3 (k)
(3) 3H2 (k) + N2 (k) ⇌ 2NH3 (k)
(4) N2O4 (k)⇌ 2NO2 (k)
Các phản ứng chuyển dịch theo chiều nghịch khi ta giảm áp suất của hệ là .
A. (2), (3).
B. (2), (4).
C. (3), (4).
D. (1), (2).Hướng dẫn giải
Đáp án A.
Giảm áp suất, cân bằng chuyển dịch theo chiều nghịch khi tổng số mol chất phân tử khí của chất tham gia phản ứng lớn hơn tổng số mol phân tử khí của sản phẩm.
(2) 2SO2 (k) + O2 (k) ⇌ 2SO3 (k)
3 mol phân tử khí 2 mol phân tử khí
(3) 3H2 (k) + N2 (k) ⇌ 2NH3 (k)
4 mol phân tử khí 2 mol phân tử khí
Bài 7: Phản ứng . 2SO2 + O2 ⇌ 2SO3 ΔH < 0. Khi giảm nhiệt độ và khi giảm áp suất thì cân bằng của phản ứng trên chuyển dịch tương ứng là .
A. Thuận và thuận.
B. Thuận và nghịch.
C. Nghịch và nghịch.
D. Nghịch và thuận.
Đáp án B.
Phản ứng tỏa nhiệt, giảm nhiệt độ, cân bằng chuyển dịch theo chiều thuận.
Giảm áp suất, cân bằng chuyển dịch theo chiều làm tăng số mol phân tử khí (chiều nghịch).
Bài 8: Cho cân bằng hóa học. 2SO2 (k) + O2 (k) ⇌ 2SO3 (k); phản ứng thuận là phản ứng tỏa nhiệt. Phát biểu đúng là.
A. Cân bằng chuyển dịch theo chiều thuận khi tăng nhiệt độ.
B. Cân bằng chuyển dịch theo chiều nghịch khi giảm nồng độ O2.
C. Cân bằng chuyển dịch theo chiều thuận khi giảm áp suất hệ phản ứng.
D. Cân bằng chuyển dịch theo chiều nghịch khi giảm nồng độ SO3.
Đáp án B.
Phản ứng tỏa nhiệt, nên khi tăng nhiệt độ, cân bằng chuyển dịch theo chiều nghịch.
Khi giảm áp suất, Cân bằng chuyển dịch theo chiều làm tăng số mol phân tử khí (chiều nghịch).
Giảm nồng độ SO3, cân bằng chuyển dịch theo chiều làm tăng nồng độ SO3 (chiều thuận).
Bài 9: Cho phản ứng thuận nghịch ở trạng thái cân bằng .
4NH3 (k) + 3O2 (k) ⇌ 2N2 (k) + 6H2O (h) ΔH < 0
Cân bằng sẽ chuyển dịch theo chiều thuận khi .
A. Tăng nhiệt độ.
B. Thêm chất xúc tác.
C. Tăng áp suất.
D. Loại bỏ hơi nước.
Đáp án D.
Phản ứng tỏa nhiệt, nên khi tăng nhiệt độ, cân bằng chuyển dịch theo chiều nghịch.
Chất xúc tác không làm chuyển dịch cân bằng.
Khi tăng áp suất, cân bằng chuyển dịch theo chiều làm tăng số mol phân tử khí (chiều nghịch).
Bài 10: Cho phương trình hoá học .
N2 (k) + O2 (k) ⇌ 2NO (k) ΔH > 0
Hãy cho biết cặp yếu tố nào sau đây đều ảnh hưởng đến sự chuyển dịch cân bằng hoá học trên?
A. Nhiệt độ và nồng độ.
B. Áp suất và nồng độ.
C. Nồng độ và chất xúc tác.
D. Chất xúc tác và nhiệt độ.
Đáp án A.
Chất xúc tác và áp suất không ảnh hưởng đến chuyển dịch cân bằng (do số mol phân tử khí ở hai vế là bằng nhau).
Bài 11 :Cho 5 gam kẽm viên vào cốc đựng 50 ml dung dịch H2SO4 4M ở nhiệt độ thường (25oC). Trường hợp nào tốc độ phản ứng không đổi?
A. Thay 5 gam kẽm viên bằng 5 gam kẽm bột.
B. Thay dung dịch H2SO4 4M bằng dung dịch H2SO4 2M.
C. Tăng nhiệt độ phản ứng từ 25oC đến 50oC.
D. Thêm chất xúc tác.
Đáp án D.Bài 12: Cho các phát biểu sau .
(1) Phản ứng thuận nghịch là phản ứng xảy ra theo 2 chiều ngược nhau.
(2) Chất xúc tác có tác dụng làm tăng tốc độ phản ứng thuận và nghịch.
(3) Cân bằng hóa học là trạng thái mà phản ứng đã xảy ra hoàn toàn.
(4) Khi phản ứng thuận nghịch đạt trạng thái cân bằng hóa học, lượng các chất sẽ không đổi.
(5) Khi phản ứng thuận nghịch đạt trạng thái cân bằng hóa học, phản ứng dừng lại.
(6) Sự chuyển dịch cân bằng của phản ứng thuận nghịch 2NO2 ⇌ N2O4 không phụ thuộc sự thay đổi áp suất.
Số phát biểu sai là
A. 1. B. 2. C. 3. D. 4.
Hướng dẫn giải
Đáp án C.
Các phát biểu sai. 1, 2, 4.
Bài 13: Cho cân bằng (trong bình kín) sau .
CO (k) + H2O (k)⇌ CO2 (k) + H2 (k) ΔH < 0
Trong các yếu tố. (1) tăng nhiệt độ; (2) thêm một lượng hơi nước; (3) thêm một lượng H2; (4) tăng áp suất chung của hệ; (5) dùng chất xúc tác. Dãy gồm các yếu tố đều làm thay đổi cân bằng của hệ là .
A. (1), (4), (5).
B. (1), (2), (3).
C. (2), (3), (4).
D. (1), (2), (4).
Đáp án B.
Tổng số mol phân tử khí ở hai vế là bằng nhau, nên áp suất không ảnh hưởng tới cân bằng.
Chất xúc tác không làm chuyển dịch cân bằng hóa học.
Bài 14: Cho Fe (hạt) phản ứng với dung dịch HCl 1M. Thay đổi các yếu tố sau.
(1) Thêm vào hệ một lượng nhỏ dung dịch CuSO4.
(2) Thêm dung dịch HCl 1M lên thể tích gấp đôi.
(3) Nghiền nhỏ hạt sắt thành bột sắt.
(4) Pha loãng dung dịch HCl bằng nước cất lên thể tích gấp đôi.
Có bao nhiêu cách thay đổi tốc độ phản ứng?
A. 1. B. 4. C. 3. D. 2.
Đáp án C.
Các yếu tố 1, 3, 4.
Bài 15: Khi phản ứng . N2 (k) + 3H2 (k) ⇌ 2NH3 (k) đạt đến trạng thái cân bằng thì hỗn hợp khí thu được có thành phần. 1,5 mol NH3, 2 mol N2 và 3 mol H2. Vậy số mol ban đầu của H2 là.
A. 3 mol B. 4 mol C. 5,25 mol D. 4,5 mol
Đáp án C.
N2 (k) + 3H2 (k)
2NH3 (k)
Cân bằng 2 3 1,5 (mol)
phản ứng 0,75 2,25 1,5
ban đầu 2,75 5,25 0
Bài 16: Cho phương trình hoá học của phản ứng tổng hợp amoniac
N2 (k) + 3H2 (k)
2NH3 (k)
Khi tăng nồng độ của hidro lên 3 lần, tốc độ phản ứng thuận
A. tăng lên 9 lần.
B. giảm đi 3 lần.
C. tăng lên 27 lần.
D. giảm đi 27 lần
Đáp án C.
Vt = k.[N2].[H2]3
Khi tăng nồng độ H2 lên 3 lần v = k.[N2].[3H2]3= 27vt
Bài 17: Hệ cân bằng sau được thực hiện trong bình kín.
CO (k) + H2O (k) ⇌ CO2 (k) + H2 (k) ΔH < 0
Cân bằng trên chuyển dịch theo chiều thuận khi
A. thêm khí H2 vào hệ.
B. tăng áp suất chung của hệ.
C. cho chất xúc tác vào hệ.
D. giảm nhiệt độ của hệ.
Đáp án D.
Thêm H2, cân bằng chuyển dịch theo chiều nghịch.
Tăng áp suất, cân bằng không chuyển dịch (do số mol phân tử khí ở hai vế là như nhau).
Chất xúc tác không làm chuyển dịch cân bằng.
Bài 18: Cho cân bằng hoá học .
PCl5(k) ⇌ PCl3(k)+Cl2(k) ΔH > 0
Cân bằng chuyển dịch theo chiều thuận khi
A. thêm PCl3 vào hệ phản ứng.
B. tăng nhiệt độ của hệ phản ứng.
C. thêm Cl2 vào hệ phản ứng.
D. tăng áp suất của hệ phản ứng.
Đáp án B.
Thêm PCl3, cân bằng chuyển dịch theo chiều nghịch.
Thêm Cl2, cân bằng chuyển dịch theo chiều nghịch.
Tăng áp suất, cân bằng chuyển dịch theo chiều làm giảm số mol phân tử khí (chiều nghịch)
PCl5(k) ⇌ PCl3(k)+Cl2(k) ΔH > 0
1 mol phân tử khí 2 mol phân tử khí
Bài 19: Cho cân bằng hoá học sau. 2SO2 (k) + O2 (k) ⇌ 2SO3 (k); ΔH < 0. Cho các biện pháp. (1) tăng nhiệt độ, (2) tăng áp suất chung của hệ phản ứng, (3) hạ nhiệt độ, (4) dùng thêm chất xúc tác V2O5, (5) giảm nồng độ SO3, (6) giảm áp suất chung của hệ phản ứng. Những biện pháp nào làm cân bằng trên chuyển dịch theo chiều thuận?
A. (2), (3), (4), (6).
B. (1), (2), (4).
C. (1), (2), (4), (5).
D. (2), (3), (5).
Đáp án D.
Tăng nhiệt độ, cân bằng chuyển dịch theo chiều nghịch (do phản ứng tỏa nhiệt).
Chất xúc tác không làm chuyển dịch cân bằng hóa học.
Sử dụng thông tin trả lời cầu hỏi 20, 21
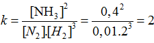
Ở một nhiệt độ nhất định, phản ứng thuận nghịch N2(k)+3H2(k)⇌ 2NH3(k) đạt trạng thái cân bằng khi nồng độ của các chất như sau. [H2] = 2,0 mol/lít. [N2] = 0,01 mol/lít. [NH3] = 0,4 mol/lít.
Bài 20: Hằng số cân bằng ở nhiệt độ đó là?
A. 2. B. 3 C. 5 D. 7
Đáp án A.
Bài 21: Nồng độ ban đầu của H2 là.
A. 2,6 M. B. 1,3 M. C. 3,6 M D. 5,6 M.
Hiển thị đáp ánĐáp án A.

N2 (k) + 3H2 (k)
2NH3 (k)
Cân bằng 0,01 2 0,4 (M)
phản ứng 0,2 0,6 0,4
ban đầu 0,21 2,6 0
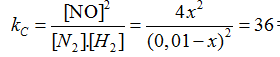
Bài 22: Cho phản ứng . N2 + O2⇌ 2 NO có KC= 36. Biết rằng nồng độ ban đầu của N2 và O2 đều bằng 0,01 mol/l.Hiệu suất của phản ứng tạo NO là .
A. 75% B. 80% C. 50% D. 40%
Đáp án A.
N2 + O2 ⇌ 2 NO
Ban đầu 0,01 0,01 (M)
Phản ứng x x 2x
Cân bằng 0,01-x 0,01-x 2x
⇒ x = 0,0075
H% = ![]()
Bài 23: Cho các cân bằng sau .
(1) 2HI (k)⇌ H2 (k) + I2 (k)
(2) CaCO3 (r) ⇌ CaO (r) + CO2 (k)
(3) FeO (r) + CO (k) ⇌ Fe (r) + CO2 (k)
(4) 2SO2 (k) + O2 (k) ⇌ 2SO3 (k)
Khi tăng áp suất của hệ, số cân bằng bị chuyển dịch theo chiều nghịch là .
A. 4. B. 3. C. 1. D. 2.
Đáp án C.
Khi tăng áp suất, cân bằng chuyển dịch theo chiều nghịch khi tổng số mol phân tử khí của sản phẩm lớn hơn tổng số mol phân tử khí của các chất tham gia.
Cân bằng. 2.
Bài 24: Phản ứng N2 + 3H2 ⇌ 2NH3, ΔH< 0. Cho một số yếu tố . (1) tăng áp suất, (2) tăng nhiệt độ, (3) tăng nồng độ N2 và H2, (4) tăng nồng độ NH3, (5) tăng lượng xúc tác. Các yếu tố làm tăng hiệu suất của phản ứng nói trên là
A. (2), (4).
B. (1), (3).
C. (2), (5).
D. (3), (5).
Đáp án B
Tăng áp suất và tăng nồng độ H2, N2 làm cân bằng chuyển dịch theo chiều thuận, làm tăng hiệu suất của phản ứng.
Bài 25: Cho cân bằng . 2SO2 (k) + O2 (k) ⇌ 2SO3 (k). Khi tăng nhiệt độ thì tỉ khối của hỗn hợp khí so với H2 giảm đi. Phát biểu đúng khi nói về cân bằng này là .
A. Phản ứng nghịch toả nhiệt, cân bằng dịch chuyển theo chiều thuận khi tăng nhiệt độ.
B. Phản ứng thuận toả nhiệt, cân bằng dịch chuyển theo chiều nghịch khi tăng nhiệt độ.
C. Phản ứng nghịch thu nhiệt, cân bằng dịch chuyển theo chiều thuận khi tăng nhiệt độ.
D. Phản ứng thuận thu nhiệt, cân bằng dịch chuyển theo chiều nghịch khi tăng nhiệt độ.
Đáp án B.
Tỉ khối so với H2 giảm ⇒ M trung bình giảm, tổng số mol khí tăng ⇒ Cân bằng chuyển dịch theo chiều nghịch. Khi tăng nhiệt độ cân bằng chuyển dịch theo chiều nghịch ⇒ chiều thuận là phản ứng tỏa nhiệt.
Trên đây VnDoc đã giới thiệu tới các bạn lý thuyết Hóa học 10: Trắc nghiệm chương 7: Tốc độ phản ứng và cân bằng hóa học phần 2. Để có kết quả cao hơn trong học tập, VnDoc xin giới thiệu tới các bạn học sinh tài liệu Chuyên đề Hóa học 10, Giải bài tập Hóa học lớp 10, Giải bài tập Vật Lí 10, Tài liệu học tập lớp 10 mà VnDoc tổng hợp và giới thiệu tới các bạn đọc.
Từ khóa » Chương 7 Tốc độ Phản ứng
-
CHƯƠNG 7. TỐC ĐỘ PHẢN ỨNG VÀ CÂN BẰNG HÓA HỌC
-
Ôn Tập Hóa Học 10 Chương 7 Tốc Độ Phản Ứng Và Cân ... - Hoc247
-
Lý Thuyết Hóa Học 10 Chương 7: Tốc độ Phản ứng Và Cân ... - 123doc
-
Lý Thuyết Chương 7: Tốc độ Phản ứng - Cân Bằng Hóa Học
-
Chương 7 : TỐC ĐỘ PHẢN ỨNG – CÂN BẰNG HOÁ HỌC
-
Giải Hóa 10 Chương 7: Tốc độ Phản ứng Và Cân Bằng Hóa Học
-
CHƯƠNG 7 TỐC ĐỘ PHẢN ỨNG VÀ CÂN BẰNG HÓA HỌC | Sách ...
-
CHƯƠNG 7. TỐC ĐỘ PHẢN ỨNG VÀ CÂN BẰNG HÓA HỌC - SBT ...
-
Chương 7: Tốc Độ Phản Ứng Và Cân Bằng Hóa Học - YouTube
-
Chương 7. Tốc độ Phản ứng & Cân Bằng Hóa Học
-
Chương 7 : TỐC ĐỘ PHẢN ỨNG – CÂN BẰNG HOÁ HỌC
-
Hóa Học 10 - Lý Thuyết Và Bài Tập Chương 7 - Thư Viện Đề Thi
-
Chương 7. Tốc độ Phản ứng Và Cân Bằng Hóa Học - Top Lời Giải
-
Trắc Nghiệm Hóa 10 Chương VII: Tốc độ Phản ứng Và Cân Bằng Hóa ...