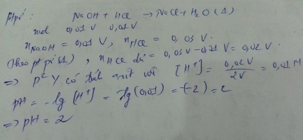
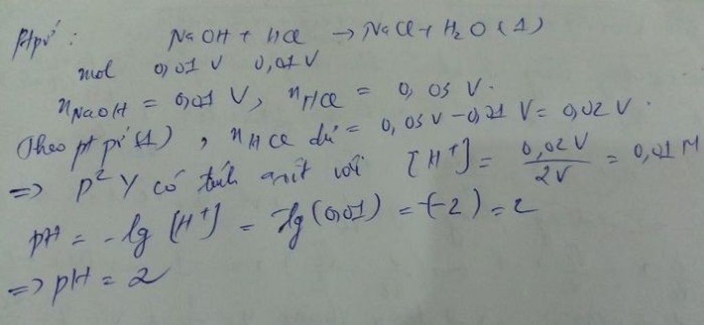
Trộn Lẫn V Ml Dd NaOH 0.01M Với V Ml Dd HCl 0.03M được 2V Ml Dd ...
Có thể bạn quan tâm


Tìm kiếm với hình ảnh
Vui lòng chỉ chọn một câu hỏi
Tìm đáp án
Đăng nhập- |
- Đăng ký


Hoidap247.com Nhanh chóng, chính xác
Hãy đăng nhập hoặc tạo tài khoản miễn phí!
Đăng nhậpĐăng ký

Lưu vào
+
Danh mục mới
- linhlinh8

- Chưa có nhóm
- Trả lời
0
- Điểm
84
- Cảm ơn
0
- Hóa Học
- Lớp 11
- 10 điểm
- linhlinh8 - 21:38:52 04/10/2019
- Hỏi chi tiết
Báo vi phạm
Hãy luôn nhớ cảm ơn và vote 5* nếu câu trả lời hữu ích nhé!
TRẢ LỜI
linhlinh8 rất mong câu trả lời từ bạn. Viết trả lờiTRẢ LỜI


- nguyenhongduyen

- Chưa có nhóm
- Trả lời
199
- Điểm
2490
- Cảm ơn
202
- nguyenhongduyen
- 04/10/2019

Đáp án:
Giải thích các bước giải:

Hãy giúp mọi người biết câu trả lời này thế nào?
starstarstarstarstarstarstarstarstarstarstarstarstarstarstarstarstarstarstarstarstarstarstarstarstarstarstarstarstarstar5starstarstarstarstar2 voteGửiHủy
Cảm ơn 3
Báo vi phạm
- linhnguyen1905

- Chưa có nhóm
- Trả lời
0
- Điểm
175
- Cảm ơn
0
Tại sao 200ml không đổi thàng lít
- linhnguyen1905
Bạn muốn hỏi điều gì?
Tham Gia Group Dành Cho Lớp 11 Chia Sẻ, Trao Đổi Tài Liệu Miễn Phí

Bảng tin
Bạn muốn hỏi điều gì?
Lý do báo cáo vi phạm?
Gửi yêu cầu Hủy

Cơ quan chủ quản: Công ty Cổ phần Công nghệ Giáo dục Thành Phát
Tải ứng dụng


- Hướng dẫn sử dụng
- Điều khoản sử dụng
- Nội quy hoidap247
- Góp ý
Inbox: m.me/hoidap247online
Trụ sở: Tầng 7, Tòa Intracom, số 82 Dịch Vọng Hậu, Cầu Giấy, Hà Nội.
Từ khóa » Trộn Lẫn V Ml Dd Naoh 0.01m
-
Trộn Lẫn V Ml Dung Dịch NaOH 0,01M Với ... - Khóa Học
-
Trộn Lẫn V Ml Dung Dịch NaOH 0,01M Với V Ml Dung Dịch HCl 0,03 M
-
[LỜI GIẢI] Trộn Lẫn V Ml Dung Dịch NaOH 0,01M Với V ... - Tự Học 365
-
Trộn Lẫn V Ml Dung Dịch NaOH 0,01M Với V Ml ... - Học Hóa Online
-
Môn Hóa Học Lớp 11 Trộn Lẫn V Ml Dd NaOH 0.01M ... - By TopList24h
-
Trộn Lẫn V Ml Dung Dịch NaOH 0,01M Với V Ml Dung Dịch HCl 0,03 M ...
-
Trộn Lẫn V Ml Dung Dịch NaOH 0,01M Với V Ml Dd HCl 0,03 M được ...
-
Trộn Lẫn V Ml Dung Dịch NaOH 0,01M Với V Ml Dung Dịch HCl 0,03M ...
-
Trộn V Ml Dd NaOH 0,01M Với V Ml Dd HCl 0,03M Thu đựoc ... - Hoc24
-
Trộn Lẫn V (ml) Dd NaOH 0,03M Với V(ml) Dd HCl 0,01M Thu được 2V ...
-
Hỏi đáp 24/7 – Giải Bài Tập Cùng Thủ Khoa
-
Trộn Lẫn V Ml Dung Dịch NaOH 0,01M Với V Ml Dd HCl ...