Tuyển Chọn 100 Bài Phương Trình Và Hệ Phương Trình
Có thể bạn quan tâm
-
-
-
Mầm non
-
Lớp 1
-
Lớp 2
-
Lớp 3
-
Lớp 4
-
Lớp 5
-
Lớp 6
-
Lớp 7
-
Lớp 8
-
Lớp 9
-
Lớp 10
-
Lớp 11
-
Lớp 12
-
Thi vào lớp 6
-
Thi vào lớp 10
-
Thi Tốt Nghiệp THPT
-
Đánh Giá Năng Lực
-
Khóa Học Trực Tuyến
-
Hỏi bài
-
Trắc nghiệm Online
-
Tiếng Anh
-
Thư viện Học liệu
-
Bài tập Cuối tuần
-
Bài tập Hàng ngày
-
Thư viện Đề thi
-
Giáo án - Bài giảng
-
Tất cả danh mục
-
- Mầm non
- Lớp 1
- Lớp 2
- Lớp 3
- Lớp 4
- Lớp 5
- Lớp 6
- Lớp 7
- Lớp 8
- Lớp 9
- Lớp 10
- Lớp 11
- Lớp 12
- Thi Chuyển Cấp
-
- Hôm nay +3
- Ngày 2 +3
- Ngày 3 +3
- Ngày 4 +3
- Ngày 5 +3
- Ngày 6 +3
- Ngày 7 +5
Nâng cấp gói Pro để trải nghiệm website VnDoc.com KHÔNG quảng cáo, và tải file cực nhanh không chờ đợi.
Tìm hiểu thêm » Mua ngay Từ 79.000đ Hỗ trợ Zalo
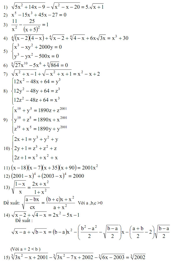
Tuyn chn 100 bài phương trình, h pt hay & khó lp 101 TUYN CHN 100 BÀI PHƯƠNG TRÌNH & H PHƯƠNG TRÌNH www.vndoc.com
Tuyn chn 100 bài phương trình, h pt hay & khó lp 102 GI%I PHƯƠNG TRÌNH & H. PHƯƠNG TRÌNH +=−−−−+=−+−()=+−()()+=+−+−+−−=−−=+−=+−+−=++−+−+=+−=+−=+−+=++=++=+++=+++=+++=+()()()()=++−−()()=−+−++=−()+++=−−−=−+−()−−+−−−−−−=−+− !=−−+−−+−www.vndoc.com
Tuyn chn 100 bài phương trình, h pt hay & khó lp 103 −=+()()()()()()()()()()()()=−−−−+−−−−+−−−−"#$%&'())*+,%+-.*+,*+/%&()−−=()=−=++++=−−+−++−−=−−=−()()[]−+=−−+−+−−−−=−+−()()=++++−−−"011'23+45%�%+()()()1=++−(%&+613+7%6)))+819%−=+++=+−=+−=+−"01%&+61:45%&;3+45%�%+=−−−−=−−−−=−+()=++=++()−−=−+=−++www.vndoc.com 100 BÀI PHƯƠNG TRÌNH VÀ HỆ PHƯƠNG TRÌNH LỚP 10 HAY VÀ KHÓ
Tuyển chọn 100 bài phương trình và hệ phương trình lớp 10 tổng hợp một số bài toán về phương trình và hệ phương trình hay và khó gặp ở chương trình học môn Toán lớp 10. Tài liệu này giúp các bạn học sinh có thể tự ôn luyện kiến thức, đồng thời cũng thích hợp cho giáo viên dùng trong việc bồi dưỡng học sinh giỏi môn toán.
Chuyên đề Toán lớp 10: GIẢI PHƯƠNG TRÌNH VÀ HỆ PHƯƠNG TRÌNH

Trên đây các bạn đã tham khảo Tuyển chọn 100 bài phương trình và hệ phương trình, mời các bạn tham khảo các tài liệu chất lượng khác tại VnDoc giúp học tập tốt chương trình học lớp 10 trên lớp không chỉ môn Toán mà còn các môn Vật lí lớp 10, học tốt Ngữ văn 10, chắc kiến thức lớp 10 môn Hóa, ....
- 12 cách cân bằng phương trình hóa học
- Một số phương pháp giải phương trình có ẩn dưới dấu căn ở Đại số lớp 10
- Trắc nghiệm Vật lý 10 chương 5: Phương trình trạng thái của khí lí tưởng
Chúc các bạn học tốt và đạt nhiều kết quả cao trong học tập!
Tải về Chọn file muốn tải về:Tuyển chọn 100 bài phương trình và hệ phương trình
586,5 KB Đóng Chỉ thành viên VnDoc PRO/PROPLUS tải được nội dung này! Đóng 79.000 / tháng Mua ngay Đặc quyền các gói Thành viên PRO Phổ biến nhất PRO+ Tải tài liệu Cao cấp 1 Lớp 30 lượt tải tài liệu Xem nội dung bài viết Trải nghiệm Không quảng cáo Làm bài trắc nghiệm không giới hạn Tìm hiểu thêm Mua cả năm Tiết kiệm tới 48%- Chia sẻ bởi:
Vũ Thị thái Lan
Có thể bạn quan tâm
Xác thực tài khoản!Theo Nghị định 147/2024/ND-CP, bạn cần xác thực tài khoản trước khi sử dụng tính năng này. Chúng tôi sẽ gửi mã xác thực qua SMS hoặc Zalo tới số điện thoại mà bạn nhập dưới đây:
Số điện thoại chưa đúng định dạng! Xác thực ngay Số điện thoại này đã được xác thực! Bạn có thể dùng Sđt này đăng nhập tại đây! Lỗi gửi SMS, liên hệ Admin Sắp xếp theo Mặc định Mới nhất Cũ nhấtTham khảo thêm
-
Viết bài luận thuyết phục người khác từ bỏ thói vứt rác bừa bãi
-
Truyện An Dương Vương và Mị Châu - Trọng Thủy
-
Đề thi học sinh giỏi thành phố Đà Nẵng môn Toán lớp 10 năm học 2010 - 2011 (Có đáp án)
-
Đề kiểm tra Học kỳ II lớp 10 năm 2012 - 2013, THPT Lê Thánh Tông tỉnh Gia Lai
-
Viết bài luận thuyết phục người khác từ bỏ thói quen kì thị người khuyết tật
-
Cách cân bằng phương trình Hóa học 10
-
Luyện thi vào lớp 10 chuyên đề rút gọn tính toán
-
Cân bằng phương trình Hoá học bằng máy tính cầm tay
-
Nghị luận xã hội về lối sống của giới trẻ hiện nay
-
Đề cương ôn thi giữa kì 2 tiếng Anh 10 Global Success
-
Lớp 10
Lớp 10
-
Truyện An Dương Vương và Mị Châu - Trọng Thủy
-
Cân bằng phương trình Hoá học bằng máy tính cầm tay
-
Viết bài luận thuyết phục người khác từ bỏ thói vứt rác bừa bãi
-
Viết bài luận thuyết phục người khác từ bỏ thói quen kì thị người khuyết tật
-
Đề cương ôn thi giữa kì 2 tiếng Anh 10 Global Success
-
Cách cân bằng phương trình Hóa học 10
Gợi ý cho bạn
-
Lý thuyết và bài tập Vật lý 10 - Động học chất điểm
-
Đề cương ôn tập học kì 1 môn Lịch sử lớp 10
-
Lịch sử 10 bài 19: Những cuộc kháng chiến chống ngoại xâm ở các thế kỉ X - XV
-
Bài tập cuối tuần Tiếng Việt lớp 4 Kết nối tri thức Tuần 21 Nâng cao
-
Bài tập câu điều kiện có đáp án
-
Tóm tắt Truyện Kiều của Nguyễn Du
-
Đề cương và bài tập ôn luyện Tiếng Anh học kì 1 lớp 10
-
Tuyển chọn 5 Bài Thuyết minh về Nguyễn Trãi và Bình Ngô Đại Cáo CỰC HAY
-
Bộ đề kiểm tra cuối tuần Tiếng Việt lớp 4 Kết nối tri thức Tuần 21
-
Chúc đầu tuần bằng tiếng Anh hay nhất
Từ khóa » Giải Phương Trình Lớp 10 Khó
-
Tuyển Chọn 100 Bài Phương Trình, Hệ Phương Trình Nâng Cao Lớp 10
-
Giải Phương Trình Nâng Cao Lớp 10 - 123doc
-
Dạng Bài Tập Về Áp Dụng Công Thức Giải Bất Phương Trình Lớp ...
-
Các Dạng Toán Giải Phương Trình, Hệ Phương Trình Và Bài Tập Có Lời Giải
-
Giải Phương Trình Nâng Cao Lớp 10 - Gia Sư Thành Được
-
Bài Tập Giải Phương Trình, Hệ Phương Trình Môn Toán Lớp 10
-
Giải Phương Trình Lớp 10 Nâng Cao Có đáp An - Học Tốt
-
Các Dạng Bài Tập Chương Phương Trình, Hệ Phương Trình
-
59 Bài Tập Giải Hệ Phương Trình Hay Và Khó (có Lời Giải)
-
Toán 10 - Bài Khó Về Giải Phương Trình Chứa Căn Bậc Hai - YouTube
-
Một Số Phương Pháp Giải Phương Trình Vô Tỉ (hay Và Khó) Toán 10
-
Tuyển Tập Những Bài Toán Phương Trình Hay Và Khó Môn Toán Lớp 10
-
Tuyển Chọn 100 Bài Phương Trình, Hệ Pt Hay & Khó Lớp 10.pdf
-
Lý Thuyết, Các Dạng Toán Và Bài Tập Phương Trình Và Hệ Phương Trình