Ứng Dụng đồng Dư Thức Trong Giải Toán Số Học

Tài liệu gồm 32 trang, được trích đoạn từ cuốn sách Phân dạng và phương pháp giải toán số học và tổ hợp của tác giả Nguyễn Quốc Bảo, hướng dẫn ứng dụng đồng dư thức trong giải toán số học, giúp học sinh ôn tập thi học sinh giỏi Toán bậc THCS và luyện thi vào lớp 10 môn Toán.

A. KIẾN THỨC CẦN NHỚ I. Định nghĩa II. Tính chất 1. Tính chất phản xạ. 2. Tính chất đối xứng. 3. Tính chất bắc cầu. 4. Cộng hay trừ từng vế của đồng dư thức có cùng môđun. 5a. Nhân hai vế của đồng dư thức với một số nguyên. 5b. Nhân hai vế và môđun của đồng dư thức với một số nguyên dương. 6. Nhân từng vế của nhiều đồng dư thức có cùng môđun. 7. Nâng hai vế của một đồng dư thức lên cùng một lũy thừa. 8. Nếu hai số đồng dư với nhau theo nhiều môđun thì chúng đồng dư với nhau theo môđun là BCNN của các môđun ấy. 9. Nếu a ≡ b (mod m) thì tập hợp các ước chung của a và m bằng tập hợp các ước chung của b và m. 10. Chia hai vế và môđun của một đồng dư cho một ước dương chung của chúng. B. CÁC DẠNG TOÁN THƯỜNG GẶP + Dạng 1: Sử dụng đồng dư thức trong các bài toán chứng minh chia hết. + Dạng 2: Sử dụng đồng dư thức tìm số dư. + Dạng 3: Tìm điều kiện của biến để chia hết. + Dạng 4: Tìm một chữ số tận cùng. + Dạng 5: Tìm hai chữ số tận cùng. + Dạng 6: Sử dụng đồng dư thức trong các bài toán về số chính phương. + Dạng 7: Sử dụng đồng dư thức trong các bài toán về số nguyên tố, hợp số. + Dạng 8: Sử dụng đồng dư thức trong các bài toán giải phương trình nghiệm nguyên. + Dạng 9: Sử dụng các định lý (ta thừa nhận không chứng minh). C. BÀI TẬP ÁP DỤNG D. HƯỚNG DẪN GIẢI – ĐÁP SỐ

Tải tài liệu
  • Tài Liệu Toán Ôn Thi Vào Lớp 10
Ghi chú: Quý thầy, cô giáo và bạn đọc có thể chia sẻ tài liệu trên TOANMATH.com bằng cách gửi về: Facebook: TOÁN MATH Email: [email protected]

TÀI LIỆU LIÊN QUAN

Tài Liệu Toán Ôn Thi Vào Lớp 10

Các bài toán thực tế kết hợp bất đẳng thức trong các đề thi môn Toán THCS

21/08/2025 Tài Liệu Toán Ôn Thi Vào Lớp 10
Tài Liệu Toán Ôn Thi Vào Lớp 10

13 chuyên đề ôn thi tuyển sinh vào lớp 10 môn Toán

13/07/2025 Tài Liệu Toán Ôn Thi Vào Lớp 10
Tài Liệu Toán Ôn Thi Vào Lớp 10

Chuyên đề các bài toán thực tế có liên quan đến cực trị ôn thi vào lớp 10

13/07/2025 Tài Liệu Toán Ôn Thi Vào Lớp 10
Tài Liệu Toán Ôn Thi Vào Lớp 10

Chuyên đề bất đẳng thức và các bài toán cực trị ôn thi vào lớp 10

13/07/2025 Tài Liệu Toán Ôn Thi Vào Lớp 10
Tài Liệu Toán Ôn Thi Vào Lớp 10

Chuyên đề các mô hình thường gặp và các bài toán tổng hợp hình học ôn thi vào lớp 10

10/07/2025 Tài Liệu Toán Ôn Thi Vào Lớp 10
Tài Liệu Toán Ôn Thi Vào Lớp 10

Chuyên đề nón – trụ – cầu và hình khối ôn thi vào lớp 10

10/07/2025 Tài Liệu Toán Ôn Thi Vào Lớp 10
Tài Liệu Toán Ôn Thi Vào Lớp 10

Chuyên đề một số yếu tố xác suất ôn thi vào lớp 10

10/07/2025 Tài Liệu Toán Ôn Thi Vào Lớp 10
Tài Liệu Toán Ôn Thi Vào Lớp 10

Chuyên đề một số yếu tố thống kê ôn thi vào lớp 10

10/07/2025 Tài Liệu Toán Ôn Thi Vào Lớp 10
Tài Liệu Toán Ôn Thi Vào Lớp 10

Chuyên đề hệ thức lượng trong tam giác vuông và ứng dụng tỉ số lượng giác

10/07/2025 Tài Liệu Toán Ôn Thi Vào Lớp 10
Tài Liệu Toán Ôn Thi Vào Lớp 10

Chuyên đề rút gọn biểu thức và bài toán liên quan ôn thi vào lớp 10

09/07/2025 Tài Liệu Toán Ôn Thi Vào Lớp 10

TÌM KIẾM THEO TỪ KHÓA

Tìm kiếm cho:

TÀI LIỆU MỚI NHẤT

  • Đề khảo sát Toán 9 tháng 1 năm 2026 trường THCS Suối Hoa – Bắc Ninh 25/01/2026
  • Đề khảo sát Toán 9 vòng 2 đợt 1 năm 2025 – 2026 trường chuyên KHTN – Hà Nội 25/01/2026
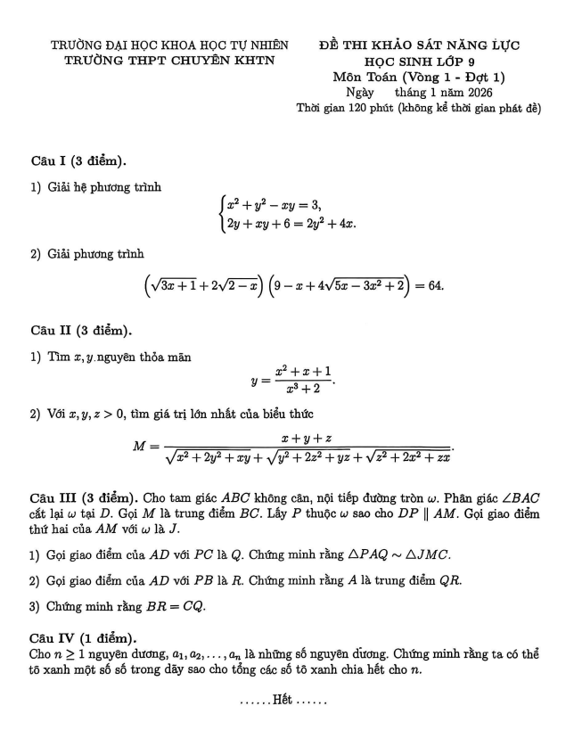
  • Đề khảo sát Toán 9 vòng 1 đợt 1 năm 2025 – 2026 trường chuyên KHTN – Hà Nội 25/01/2026
  • Đề chọn học sinh giỏi cấp tỉnh Toán THCS năm 2026 sở GD&ĐT Quảng Ninh 23/01/2026
  • Đề khảo sát Toán 9 tháng 1 năm 2026 trường THCS Đống Đa – Hà Nội 23/01/2026
  • Đề thi thử vào lớp 10 môn Toán lần 2 năm 2026 trường THCS Thọ Lộc – Hà Nội 23/01/2026

Copyright © 2026 | THCS.TOANMATH.com

Từ khóa » Số Dồng Dư