Vận Tốc - Bài Tập Nâng Cao Vật Lý 8 Phần Vận Tốc
Có thể bạn quan tâm
Nâng cấp gói Pro để trải nghiệm website VnDoc.com KHÔNG quảng cáo, và tải file cực nhanh không chờ đợi.
Tìm hiểu thêm » Mua ngay Từ 79.000đ Hỗ trợ ZaloVnDoc xin giới thiệu tới quý thầy cô cùng các bạn học sinh Chuyên đề Vật lý lớp 8: Vận tốc. Nội dung tài liệu sẽ giúp các bạn học sinh học tốt môn Vật lý lớp 8 hơn. Mời các bạn tham khảo.
Lý thuyết: Vận tốc
- A. Lý thuyết Vật lý 8
- 1. Vận tốc là gì?
- 2. Công thức tính vận tốc
- 3. Đơn vị của vận tốc
- 4. Phương pháp giải
- B. Trắc nghiệm Vật lý 8
A. Lý thuyết Vật lý 8
1. Vận tốc là gì?
Vận tốc là đại lượng vật lí đặc trưng cho mức độ nhanh hay chậm của chuyển động và độ lớn của vận tốc được xác định bằng độ dài quãng đường đi được trong một đơn vị thời gian.
Chú ý: Dựa vào vận tốc có thể so sánh chuyển động của các vật nhanh hay chậm.
+ Vật có vận tốc càng lớn thì chuyển động càng nhanh.
+ Vật có vận tốc càng nhỏ thì chuyển động càng chậm.
2. Công thức tính vận tốc
Công thức: 
Trong đó:
s là độ dài quãng đường đi được
v là vận tốc
t là thời gian để đi hết quãng đường
3. Đơn vị của vận tốc
- Đơn vị của vận tốc phụ thuộc vào đơn vị độ dài và đơn vị thời gian.
- Đơn vị hợp pháp của vận tốc là mét trên giây (m/s) và kilômét trên giờ (km/h)
- Mối liên hệ giữa m/s và km/h:
\(1 \mathrm{m} / \mathrm{s}=\frac{0,001}{\frac{1}{3600}}=3,6 \mathrm{km} / \mathrm{h}\) |
- Độ lớn của vận tốc được đo bằng dụng cụ gọi là tốc kế (hay đồng hồ vận tốc). Tốc kế thường gắn trên xe ô tô, xe máy để đo vận tốc chuyển động của xe.
- Độ lớn của vận tốc được đo bằng dụng cụ gọi là tốc kế (hay đồng hồ vận tốc). Tốc kế thường gắn trên xe ô tô, xe máy để đo vận tốc chuyển động của xe.
Lưu ý:
+ Trong hàng hải người ta thường dùng “nút” làm đơn vị đo vận tốc:
1 nút = 1 hải lý/h = 1,852 km/h = 0,514 m/s hay 1m/s = nút.
+ Vận tốc ánh sáng: 300.000 km/s.
• Đơn vị độ dài người ta còn dùng là “năm ánh sáng”.
• Năm ánh sáng là quãng đường ánh sáng truyền đi trong thời gian một năm.
• Năm ánh sáng = 9,4608 . 1012 km ≈ 1016m.
Ví dụ: Khoảng cách từ ngôi sao gần nhất đến Trái Đất là 4,3 năm ánh sáng (gần bằng 43 triệu tỉ mét).
4. Phương pháp giải
a. Công thức vận tốc
- Công thức vận tốc: 
- Tính quãng đường đi được khi biết vận tốc và thời gian: s = v.t
- Tính thời gian khi biết vận tốc và quãng đường đi được: 
b. So sánh chuyển động nhanh hay chậm
- Căn cứ vào vận tốc của các chuyển động trong cùng một đơn vị: Nếu vật nào có vận tốc lớn hơn thì chuyển động nhanh hơn, vật nào có vận tốc nhỏ hơn thì chuyển động chậm hơn.
Ví dụ: v1 = 3 km/h, v2 = 6 km/h thì v1 < v2
- Nếu đề bài hỏi vận tốc của vật này lớn gấp mấy lần vận tốc của vật kia thì ta lập tỉ số giữa hai vận tốc.
- Vật A chuyển động, vật B cũng chuyển động. Tìm vận tốc của vật A so với vật B.
+ Khi hai vật chuyển động cùng chiều:
v = vA – vB (vA > vB) ⇒ Vật A lại gần vật B
v = vB – vA (vA < vB) ⇒ Vật B đi xa hơn vật A
+ Khi hai vật chuyển động ngược chiều:
Nếu hai vật chuyển động ngược chiều thì ta cộng vận tốc của chúng lại với nhau (v = vA + vB)
c. Bài toán hai vật chuyển động gặp nhau
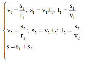
a) Hai vật chuyển động ngược chiều
- Nếu hai vật chuyển động ngược chiều, khi gặp nhau, tổng quãng đường đã đi bằng khoảng cách của hai vật.

Hai vật A và B chuyển động ngược chiều, gặp nhau tại G
Trong đó: S1 là quãng đường vật A đi tới G
S2 là quãng đường vật B đi tới G
AB là tổng quãng đường hai vật đã đi: AB = S = S1 + S2
Chú ý: Nếu hai vật xuất phát cùng một lúc thì thời gian chuyển động của hai vật cho đến khi gặp nhau thì bằng nhau: t = t1 = t2
- Tổng quát:

(S là tổng quãng đường các vật đã đi cũng là khoảng cách ban đầu của hai vật)
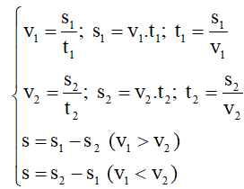
b) Hai vật chuyển động cùng chiều
- Nếu hai vật chuyển động cùng chiều, khi gặp nhau, hiệu quãng đường các vật đã đi bằng khoảng cách ban đầu giữa hai vật.

Hai vật A và B chuyển động cùng chiều tới chỗ gặp G
Trong đó: S1 là quãng đường vật A đi tới chỗ gặp G
S2 là quãng đường vật B đi tới chỗ gặp G
S3 là hiệu quãng đường của các vật đã đi và cũng là khoảng cách ban đầu của hai vật.
- Tổng quát:

Chú ý:
+ Nếu hai vật xuất phát cùng một lúc thì thời gian chuyển động của hai vật cho đến khi gặp nhau thì bằng nhau: t = t1 = t2
+ Nếu không chuyển động cùng một lúc thì ta tìm t1, t2 dựa vào thời điểm xuất phát và lúc gặp nhau.
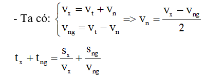
d. Bài toán chuyển động của thuyền khi xuôi dòng hay ngược dòng trên hai bến sông
- Gọi vx, tx, sx lần lượt là vận tốc, thời gian và quãng đường khi xuôi dòng.
vng, tng, sng là vận tốc, thời gian, quãng đường khi ngược dòng.
vn là vận tốc của dòng nước.
vt là vận tốc thực của thuyền khi dòng nước yên lặng.

B. Trắc nghiệm Vật lý 8
Bài 1: Dụng cụ để xác định sự nhanh chậm của chuyển động của một vật gọi là
A. vôn kế
B. nhiệt kế
C. tốc kế
D. ampe kế
Tốc kế là dụng cụ để xác định tốc độ tức là sự nhanh chậm của chuyển động của một vật
⇒ Đáp án C
Bài 2: Độ lớn của vận tốc có thể cung cấp cho ta thông tin gì về chuyển động của vật?
A. Cho biết hướng chuyển động của vật.
B. Cho biết vật chuyển động theo quỹ đạo nào.
C. Cho biết vật chuyển động nhanh hay chậm.
D. Cho biết nguyên nhân vì sao vật lại chuyển động được.
Độ lớn của vận tốc cho ta biết vật chuyển động nhanh hay chậm
⇒ Đáp án C
Bài 3: Chuyển động của phân tử hiđro ở 0oC có vận tốc 1692 m/s, của vệ tinh nhân tạo của Trái Đất có vận tốc 28800 km/h. Hỏi chuyển động nào nhanh hơn?
A. Chuyển động của phân tử hiđro nhanh hơn.
B. Chuyển động của vệ tinh nhân tạo của Trái Đất nhanh hơn.
C. Hai chuyển động bằng nhau.
D. Tất cả đều sai.
VH = 1692 m/s
⇒ VH < VD
⇒ Chuyển động của vệ tinh nhân tạo nhanh hơn
⇒ Đáp án B
Bài 4: Đơn vị của vận tốc phụ thuộc vào
A. đơn vị chiều dài
B. đơn vị thời gian
C. đơn vị chiều dài và đơn vị thời gian.
D. các yếu tố khác.
Đơn vị của vận tốc phụ thuộc vào đơn vị chiều dài và đơn vị thời gian
⇒ Đáp án C
Bài 5: Trái Đất quay quanh Mặt Trời một vòng trong thời gian một năm (trung bình là 365 ngày). Biết vận tốc quay của Trái Đất bằng 108000 km/h. Lấy π ≈ 3,14 thì giá trị trung bình bán kính quỹ đạo của Trái Đất quanh Mặt Trời là:
A. 145 000 000 km
B. 150 000 000 km
C. 150 649 682 km
D. 149 300 000 km
Trong một năm Trái Đất quay: s = v.t = 365.24.108000 = 946080000 km
Bán kính Trái Đất: 
⇒ Đáp án C
Bài 6: Trong đêm tối từ lúc thấy tia chớp lóe sáng đến khi nghe thấy tiếng bom nổ khoảng 15 giây. Hỏi chỗ bom nổ cách người quan sát bao xa? Biết vận tốc truyền âm trong không khí bằng 340 m/s.
A. 5100 m
B. 5000 m
C. 5200 m
D. 5300 m
Bom nổ cách người quan sát: s = v.t = 340.15 = 5100 m
⇒ Đáp án A
Bài 7: Một máy bay bay với vận tốc 800 km/h từ Hà Nội đến Thành phố Hồ Chí Minh. Nếu đường bay Hà Nội – Hồ Chí Minh dài 1400 km thì máy bay phải bay trong bao nhiêu lâu?
A. 1 giờ 20 phút
B. 1 giờ 30 phút
C. 1 giờ 45 phút
D. 2 giờ
= 1,75 giờ = 1 giờ 45 phút
⇒ Đáp án C
Bài 8: Một người đi xe máy xuất phát tại A lúc 7 giờ 20 phút và đến B lúc 8 giờ 5 phút. Tính vận tốc của người đó theo km/h và m/s. Biết quãng đường từ A đến B là 24,3 km.
Thời gian người đó đi từ A đến B là:
t = 8h5’ – 7h20’ = 45’ = 2700s
Quãng đường từ A đến B dài: s = 24,3 km = 24300 m
Vận tốc của người đó:
Bài 9: Lúc 8 giờ một người đi xe đạp khởi hành từ A về B với vận tốc 5 m/s. Lúc 10 giờ một người đi xe máy cũng đi từ A về B với vận tốc 36 km/h. Hỏi hai người gặp nhau lúc mấy giờ? Nơi gặp nhau cách A bao nhiêu km?
- Gọi t là thời gian của người đi xe đạp kể từ khi xuất phát cho đến khi gặp nhau.
- Thời gian của người đi xe máy kể từ khi xuất phát cho đến khi gặp nhau là t -1.
Quãng đường người đi xe đạp đi được:
sĐ = vĐ.t = 5.3,6.t = 18t (1)
Quãng đường người đi xe máy đi được:
sM = vM.t = 36.(t - 1) = 36t – 36 (2)
- Khi gặp nhau thì: sĐ = sM (3)
- Từ (1), (2) và (3) ta có: 18t = 36t – 36 ⇒ t = 2 giờ
Vậy sau 9 + 2 = 11 giờ hai người gặp nhau.
Nơi gặp nhau: sĐ = 18.2 = 36 (km)
Bài 10: Một người đến ga tàu thì bị chậm mất 30 phút sau khi tàu đã rời khỏi nhà ga A. Để được đi tàu, người đó bèn đi taxi đuổi theo để kịp lên tàu ở nhà ga B kế tiếp. Khi đi được 3/4 quãng đường từ A đến B thì taxi đuổi kịp tàu. Hỏi người này phải đợi tàu ở nhà ga B trong bao lâu? Coi taxi và tàu chuyển động với vận tốc không đổi theo thời gian.
- Gọi G là địa điểm taxi đuổi kịp tàu
- Gọi t là thời gian xe taxi đi từ A đến khi gặp nhau tại G và vì taxi và tàu chuyển động với vận tốc không đổi theo thời gian
⇒ thời gian xe taxi và tàu đi từ G đến B là: 
- Vì chậm mất 30 phút = 1/2 giờ nên thời gian tàu đi từ nhà ga A đến G và từ G đến B lần lượt là:
Vậy thời gian người đó phải đợi tại nhà ga B là:
C. Bài tập tự luyện:
Bài 1: Một người công nhân đạp xe đều trong 20 phút đi được 3 km.
a) Tính vận tốc của người đó ra m/s và km/h
b) Biết quãng đường từ nhà đến xí nghiệp là 3600m. Hỏi người đó đi từ nhà đến xí nghiệp hết bao nhiêu phút?
c) Nếu đạp xe liền trong 2 giờ thì người này từ nhà về tới quê mình. Tính quãng đường từ nhà đến quê?
Bài 2: Để đo khoảng cách từ Trái Đất đến Mặt Trăng người ta phóng một tia laze. Sau 2,66 giây máy thu nhận được tia laze phản hồi về mặt đất (Tia laze bật trở lại sau khi đập vào Mặt Trăng). Biết vận tốc của tia laze là 300000 km/s. Tính khoảng cách từ Trái Đất đến Mặt Trăng.
Bài 3: Hai vật xuất phát từ A đến B, chuyển động cùng chiều theo hướng A đến B. Vật thứ nhất chuyển động từ A với vận tốc 36km/h, vật thứ 2 chuyển động đều từ B với vận tốc 18km/h. Sau bao lâu hai vật gặp nhau? Chỗ gặp nhau cách A bao nhiêu km?
Bài 4: Cùng một lúc 2 xe xuất phát từ 2 địa điểm A và B cách nhau 60km, chúng chuyển động thẳng đều và cùng chiều từ A đến B. Xe thứ nhất đi từ A với vận tốc 30km/h, xe thứ hai đi từ B với vận tốc 40km/h.
a, Tìm khoảng cách giữa 2 xe sau 30 phút kể từ lúc xuất phát
b, Hai xe có gặp nhau không? Tại sao?
c, Sau khi xuất phát 1h. Xe thứ nhất ( Đi từ A) tăng tốc và đạt tới vận tốc 50km/h. Hãy xác định thời điểm 2 xe gặp nhauvà vị trí chúng gặp nhau?
Bài 5: Một người đi xe máy và một người đi xe đạp từ A và B cách nhau 20 km cùng khởi hành một lúc để đi về phía C. Sau 1 giờ 20 phút thì người đi xe máy và người đi xe đạp cùng đến C. Tìm vận tốc mỗi người biết rằng người đi xe máy đi nhanh gấp 3 lần người đi xe đạp.
Với chuyên đề: Vận tốc trên đây chúng ta có thể hiểu rõ về khái niệm, đơn vị tính của vận tốc, cách so sánh vận tốc giữa các vật với nhau.- Bài C5 trang 9 SGK Vật Lý 8
- Bài C6 trang 9 SGK Vật Lý 8
- Bài C7 trang 9 SGK Vật Lý 8
- Bài C8 trang 9 SGK Vật Lý 8
- Bài C1 trang 12 SGK Vật Lý 8
- Bài C2 trang 12 SGK Vật Lý 8
- Bài C3 trang 12 SGK Vật Lý 8
- Bài C4 trang 12 SGK Vật Lý 8
- Bài C5 trang 13 SGK Vật Lý 8
Ngoài Vận tốc, các bạn có thể tham khảo thêm đề thi học học kì 1 lớp 8, đề thi học học kì 2 lớp 8 mà chúng tôi đã sưu tầm và chọn lọc. Với đề thi học kì 2 lớp 8 này giúp các bạn rèn luyện thêm kỹ năng giải đề và làm bài tốt hơn. Chúc các bạn học tốt
Tham khảo thêm
-
Chuyển động cơ học
Từ khóa » Bài Tập Lý Lớp 8 Về Vận Tốc
-
Bài Tập Có đáp án Chi Tiết Về Vận Tốc Môn Vật Lý Lớp 8 - Ôn Luyện
-
Bài Tập Có đáp án Chi Tiết Về Vận Tốc Môn Vật Lý Lớp 8 - Thư Viện Đề
-
Giải SBT Vật Lí 8 Bài 2: Vận Tốc
-
Lý Thuyết Và Bài Tập Về Vận Tốc - Vật Lý 8
-
Phương Pháp Giải Một Số Dạng Bài Tập Về Vận Tốc | SGK Vật Lí Lớp 8
-
Bài Tập Tính Vận Tốc Trung Bình
-
Giải Bài Tập Vật Lí 8 - Bài 2: Vận Tốc
-
BÀI TẬP LỚP 8 NÂNG CAO | Vật Lý
-
Bài Tập Vật Lý Lớp 8 Về Vận Tốc - 123doc
-
Chuyên đề Vật Lý 8: Chuyển động Thẳng đều - Vận Tốc - Tech12h
-
Chuyên đề Vật Lý 8: Chuyển động Không đều - Vận Tốc Trung Bình
-
Bài Tập Chuyển động Cơ Học (lớp 8) Có Lời Giải
-
Lý Thuyết Vật Lý 8 Bài 2. Vận Tốc - TopLoigiai
\(1 \mathrm{m} / \mathrm{s}=\frac{0,001}{\frac{1}{3600}}=3,6 \mathrm{km} / \mathrm{h}\)