Viết Phương Trình đường Thẳng Song Song Với D1, Và Cắt Cả Hai ...
Có thể bạn quan tâm


Tìm kiếm với hình ảnh
Vui lòng chỉ chọn một câu hỏi
Tìm đáp án
Đăng nhập- |
- Đăng ký


Hoidap247.com Nhanh chóng, chính xác
Hãy đăng nhập hoặc tạo tài khoản miễn phí!
Đăng nhậpĐăng ký

Lưu vào
+
Danh mục mới


- loveenglish247

- Chưa có nhóm
- Trả lời
4
- Điểm
19
- Cảm ơn
3
- Toán Học
- Lớp 12
- 60 điểm
- loveenglish247 - 06:58:51 10/04/2021

- Hỏi chi tiết
Báo vi phạm
Hãy luôn nhớ cảm ơn và vote 5* nếu câu trả lời hữu ích nhé!
TRẢ LỜI
loveenglish247 rất mong câu trả lời từ bạn. Viết trả lờiTRẢ LỜI


- quy247

- Chưa có nhóm
- Trả lời
40
- Điểm
650
- Cảm ơn
46
- quy247
- Câu trả lời hay nhất!

- 10/04/2021

Giải thích các bước giải:
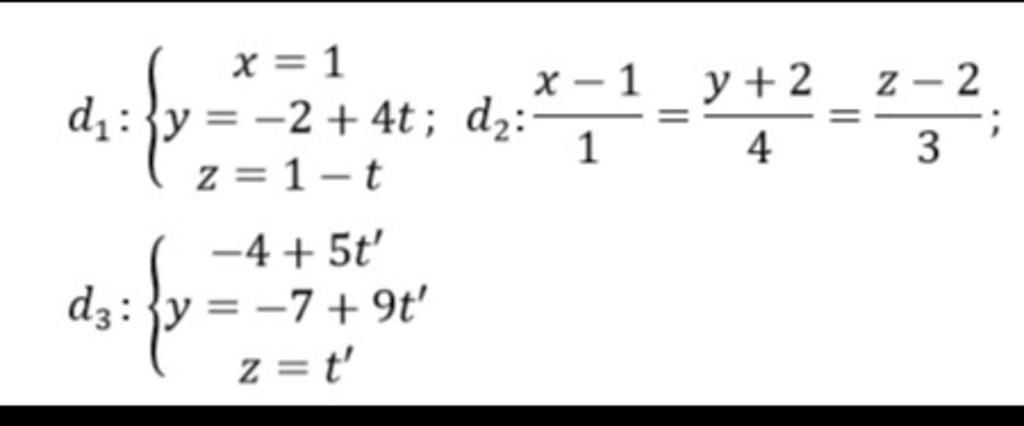
Gọi Δ là đường cần tìm, thì Δ=(P)∩(Q);
Trong đó (P) là mặt phẳng chứa d2và (P) // d1
(Q) là mặt phẳng chứa d3và (Q) // d1
d1,d2,d3lần lượt có các vectơ chỉ phương là:u1→=(0,4,-1),u2 →=(1,4,3),u3 →=(5,9,1)
Ta viết được phương trình mp(P) là: 16x-y-4z-10=0
Phương trình mp(Q) là: 13x-5y-20z+17=0
Vậy phương trình của Δ là:
$\left \{ {{16x-y-4z-10=0} \atop {13x-5y-20z+17=0}} \right.$
hay Δ có phương trình tham số là:

Hãy giúp mọi người biết câu trả lời này thế nào?

Cảm ơn 1
Báo vi phạm


- loveenglish247

- Chưa có nhóm
- Trả lời
4
- Điểm
19
- Cảm ơn
3
thank
- loveenglish247


- loveenglish247

- Chưa có nhóm
- Trả lời
4
- Điểm
19
- Cảm ơn
3
giúp mình với một câu nữa nha
- loveenglish247
Bạn muốn hỏi điều gì?
Group 2K8 ôn Thi ĐGNL & ĐGTD Miễn Phí

Bảng tin
Bạn muốn hỏi điều gì?
Lý do báo cáo vi phạm?
Gửi yêu cầu Hủy

Cơ quan chủ quản: Công ty Cổ phần Công nghệ Giáo dục Thành Phát
Tải ứng dụng


- Hướng dẫn sử dụng
- Điều khoản sử dụng
- Nội quy hoidap247
- Góp ý
Inbox: m.me/hoidap247online
Trụ sở: Tầng 7, Tòa Intracom, số 82 Dịch Vọng Hậu, Cầu Giấy, Hà Nội.
Từ khóa » đường Thẳng Song Song D3 Cắt D1 D2
-
Viết Phương Trình đường Thẳng D Song Song Với ...
-
Viết Phương Trình đường Thẳng Song Song Với đường Thẳng Và Cắt 2 ...
-
Viết Phương Trình đường Thẳng Song Song D1 Cắt D2 D3
-
Cách Viết Phương Trình đường Thẳng Cắt D1 Và D2 đồng Thời Song ...
-
Viết Phương Trình đường Thẳng Song Song Với D Và Cắt D1 D2 Trong ...
-
Phương Trình đường Thẳng Song Song Với D1 đồng Thời Cắt D2 Và D3
-
Cho đường Thẳng D Cắt Hai đường Thẳng Song Song D1 Và D2 Lần ...
-
Viết Phương Trình Đường Thẳng Song Song D1 Cắt D2 D3
-
Đường Thẳng Song Song Và đường Thẳng Cắt Nhau. Tìm Tọa độ Giao ...
-
Cách Viết Phương Trình Đường Thẳng Song Song D1 Cắt D2 D3
-
Viết Phương Trình đường Thẳng Song Song D1 Cắt D2 D3 - X
-
Viết Phương Trình đường Thẳng Song Song Với D1, Và ... - DocumenTV