Y=( Căn X+1)(1/căn X - 1) Hộ Mk Tính đạo Hàm Bằng Công Thức Với ạ
Có thể bạn quan tâm


Tìm kiếm với hình ảnh
Vui lòng chỉ chọn một câu hỏi
Tìm đáp án
Đăng nhập- |
- Đăng ký


Hoidap247.com Nhanh chóng, chính xác
Hãy đăng nhập hoặc tạo tài khoản miễn phí!
Đăng nhậpĐăng ký

Lưu vào
+
Danh mục mới


- buithanhlam161

- Chưa có nhóm
- Trả lời
4
- Điểm
12
- Cảm ơn
4
- Toán Học
- Lớp 11
- 10 điểm
- buithanhlam161 - 08:15:07 19/05/2020

- Hỏi chi tiết
Báo vi phạm
Hãy luôn nhớ cảm ơn và vote 5* nếu câu trả lời hữu ích nhé!
TRẢ LỜI


- namtran1997

- Chưa có nhóm
- Trả lời
6365
- Điểm
64653
- Cảm ơn
4377
- namtran1997
- 19/05/2020
Đây là một chuyên gia không còn hoạt độngĐây là câu trả lời đã được xác thực
Câu trả lời được xác thực chứa thông tin chính xác và đáng tin cậy, được xác nhận hoặc trả lời bởi các chuyên gia, giáo viên hàng đầu của chúng tôi.
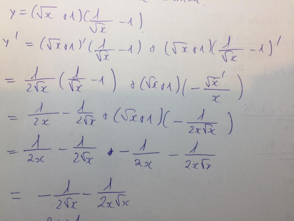
Ta có
$y = (\sqrt{x} + 1) \left( \dfrac{1}{\sqrt{x}} - 1 \right)$
$= 1 - \sqrt{x} + \dfrac{1}{\sqrt{x}} - 1$
$= x^{-\frac{1}{2}} - x^{\frac{1}{2}}$
Suy ra
$y' = -\dfrac{1}{2} x^{-\frac{3}{2}} - \dfrac{1}{2} x^{-\frac{1}{2}}$
$= -\dfrac{1}{2} \dfrac{1}{x\sqrt{x}} - \dfrac{1}{2} \dfrac{1}{\sqrt{x}}$
$= -\dfrac{1}{2x\sqrt{x}} - \dfrac{1}{2\sqrt{x}}$
Vậy
$y' = -\dfrac{1}{2x\sqrt{x}} - \dfrac{1}{2\sqrt{x}}$
Hãy giúp mọi người biết câu trả lời này thế nào?
starstarstarstarstarstarstarstarstarstarstarstarstarstarstarstarstarstarstarstarstarstarstarstarstarstarstarstarstarstarstarstarstarstarstarGửiHủy
Cảm ơn
- Winvills2

- Active Activity
- Trả lời
6299
- Điểm
24143
- Cảm ơn
7279
- Winvills2
- 17/01/2021

Đáp án + giải thích các bước giải:

Hãy giúp mọi người biết câu trả lời này thế nào?
starstarstarstarstarstarstarstarstarstarstarstarstarstarstarstarstarstarstarstarstarstarstarstarstarstarstarstarstarstarstarstarstarstarstarGửiHủy
Cảm ơn
Báo vi phạm
Bạn muốn hỏi điều gì?
Tham Gia Group Dành Cho Lớp 11 Chia Sẻ, Trao Đổi Tài Liệu Miễn Phí

Bảng tin
Bạn muốn hỏi điều gì?
Lý do báo cáo vi phạm?
Gửi yêu cầu Hủy

Cơ quan chủ quản: Công ty Cổ phần Công nghệ Giáo dục Thành Phát
Tải ứng dụng


- Hướng dẫn sử dụng
- Điều khoản sử dụng
- Nội quy hoidap247
- Góp ý
Inbox: m.me/hoidap247online
Trụ sở: Tầng 7, Tòa Intracom, số 82 Dịch Vọng Hậu, Cầu Giấy, Hà Nội.
Từ khóa » đạo Hàm 1 Căn X+1 Căn X+1
-
Đạo Hàm Của Hàm Số Y=1/ Căn (x+1)
-
Giải Tích Ví Dụ - Mathway
-
Tìm đạo Hàm Của Hàm Số F(x)=(căn X-1/căn X)^2 - Vũ
-
Đạo Hàm Của Hàm Số $y = \frac{1}{{\sqrt {x + 1} + \sqrt {x
-
Đạo Hàm Của Hàm Số Y = 1 / Căn Bậc Hai Của X+1
-
Tính đạo Hàm Hàm Số (y = Ln ( (1 + Căn (x + 1) ) ) ).
-
[LỜI GIẢI] Đạo Hàm Của Hàm Số Y = 1 X Căn X Là: - Tự Học 365
-
Tính đạo Hàm Hàm Số Y=ln(1+ Căn (x+1))
-
Top 14 Căn X^2-x+1 đạo Hàm 2022
-
Dao Ham 1/can X | Bán-vé-số.vn - Năm 2022, 2023
-
Tìm đạo Hàm Của Y = (1 + X)/ Căn(1 - X) - Toán Học Lớp 11