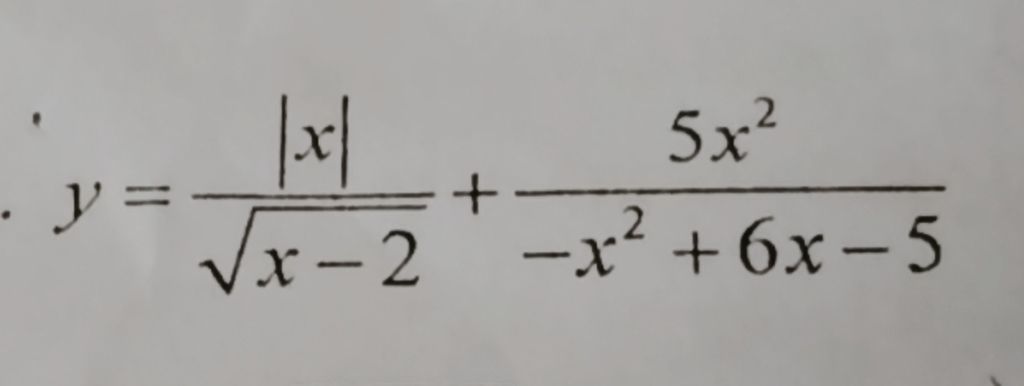
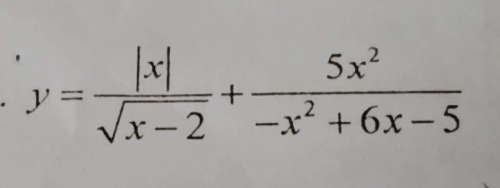
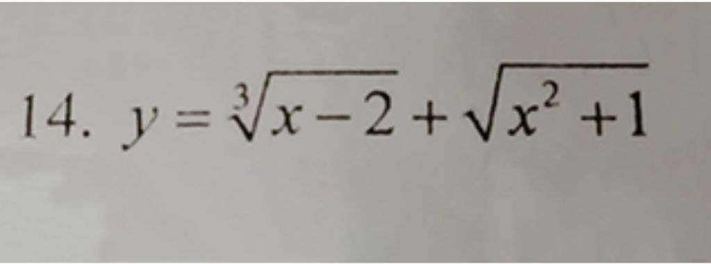
Y = |x|/ Căn X-2 + 5x^2/ -x^2 +6x-5 Y= 3 Căn X-2 + ...
Có thể bạn quan tâm


Tìm kiếm với hình ảnh
Vui lòng chỉ chọn một câu hỏi
Tìm đáp án
Đăng nhập- |
- Đăng ký


Hoidap247.com Nhanh chóng, chính xác
Hãy đăng nhập hoặc tạo tài khoản miễn phí!
Đăng nhậpĐăng ký

Lưu vào
+
Danh mục mới


- nguyennhattruongan

- Chưa có nhóm
- Trả lời
1
- Điểm
77
- Cảm ơn
1
- Toán Học
- Lớp 10
- 10 điểm
- nguyennhattruongan - 15:14:05 21/12/2019




- Hỏi chi tiết
Báo vi phạm
Hãy luôn nhớ cảm ơn và vote 5* nếu câu trả lời hữu ích nhé!
TRẢ LỜI
- phanthiyenquynh

- Chưa có nhóm
- Trả lời
30
- Điểm
47
- Cảm ơn
13
- phanthiyenquynh
- 21/12/2019

Đáp án:
Giải thích các bước giải:
A) TXĐ:D=(2;+vô cùng) \{5, 1}
B) TXĐ:D=R
C) TXĐ:D=R\{3/2}

Hãy giúp mọi người biết câu trả lời này thế nào?
starstarstarstarstarstarstarstarstarstarstarstarstarstarstarstarstarstarstarstarstarstarstarstarstarstarstarstarstarstar5starstarstarstarstar1 voteGửiHủy
Cảm ơn
Báo vi phạm


- nguyennhattruongan

- Chưa có nhóm
- Trả lời
1
- Điểm
77
- Cảm ơn
1
Bạn giúp mình giải chi tiết ra với được không!!
- nguyennhattruongan
- phanthiyenquynh

- Chưa có nhóm
- Trả lời
30
- Điểm
47
- Cảm ơn
13
Đc bạn
- phanthiyenquynh


- nguyennhattruongan

- Chưa có nhóm
- Trả lời
1
- Điểm
77
- Cảm ơn
1
Cảm ơn bạn nhiều nha
- nguyennhattruongan


- whatthe

- Chưa có nhóm
- Trả lời
2
- Điểm
14
- Cảm ơn
1
- whatthe
- 21/12/2019

Đáp án:
Giải thích các bước giải:
Hãy giúp mọi người biết câu trả lời này thế nào?
starstarstarstarstarstarstarstarstarstarstarstarstarstarstarstarstarstarstarstarstarstarstarstarstarstarstarstarstarstarstarstarstarstarstarGửiHủy
Cảm ơn
Báo vi phạm
Bạn muốn hỏi điều gì?
PH/HS Tham Gia Nhóm Lớp 10 Để Trao Đổi Tài Liệu, Học Tập Miễn Phí!

Bảng tin
Bạn muốn hỏi điều gì?
Lý do báo cáo vi phạm?
Gửi yêu cầu Hủy

Cơ quan chủ quản: Công ty Cổ phần Công nghệ Giáo dục Thành Phát
Tải ứng dụng


- Hướng dẫn sử dụng
- Điều khoản sử dụng
- Nội quy hoidap247
- Góp ý
Inbox: m.me/hoidap247online
Trụ sở: Tầng 7, Tòa Intracom, số 82 Dịch Vọng Hậu, Cầu Giấy, Hà Nội.
Từ khóa » Căn X2-6x+5
-
Cho Hàm Số Y= Căn X^2-6x+5. Mệnh đề Nào Sau đây Là đúng?
-
Cho Hàm Số Y=căn (x^2-6x+5). Mệnh đề Nào Sau đây Là ... - Khóa Học
-
Cho Hàm Số \(y = \sqrt {{x^2} - 6x + 5} \). Mệnh đề Nào Sau đây đúng?
-
Cho Hàm Số \(y=\sqrt{{{x}^{2}}-6x+5}.\) Mệnh đề Nào Sau đây Là đúng?
-
Bất Phương Trình: (căn ( - (x^2) + 6x - 5) > 8 - 2x ) Có Nghiệm
-
Cho Hàm Y=căn ( X^2-6x+5) Mệnh đề Nào Sau ...
-
Cho Hàm Y=căn ( X^2-6x+5) Mệnh đề Nào Sau đây ...
-
X2 -6x-5 = 0 | Xem Lời Giải Tại QANDA
-
Căn X2-6x+9=5 - Olm
-
Cho Hàm Số $y = \sqrt {{x^2} - 6x + 5} .$ Mệnh đề Nào Sau đây Là ...
-
Tìm Đạo Hàm - D/dx Căn Bậc Hai Của X^2-6x+1 | Mathway
-
Tìm GTNN Của Biểu Thức - A)\(A=\sqrt{2x^2+6x+5}\)
-
Giải Phương Trình: 2x^2 - 6x - 5(x - 2).√(x + 1) + 10 = 0 - Lazi