8x- 5) Căn X^2+1 Giải Hộ Em Câu Này Với ạ!


Tìm kiếm với hình ảnh
Vui lòng chỉ chọn một câu hỏi
Tìm đáp án
Đăng nhập- |
- Đăng ký


Hoidap247.com Nhanh chóng, chính xác
Hãy đăng nhập hoặc tạo tài khoản miễn phí!
Đăng nhậpĐăng ký

Lưu vào
+
Danh mục mới


- oanhhml

- Chưa có nhóm
- Trả lời
0
- Điểm
869
- Cảm ơn
0
- Toán Học
- Lớp 10
- 10 điểm
- oanhhml - 13:01:11 31/12/2019

- Hỏi chi tiết
Báo vi phạm
Hãy luôn nhớ cảm ơn và vote 5* nếu câu trả lời hữu ích nhé!
TRẢ LỜI
oanhhml rất mong câu trả lời từ bạn. Viết trả lờiTRẢ LỜI


- nguyenhoa7

- Chưa có nhóm
- Trả lời
9
- Điểm
115
- Cảm ơn
3
- nguyenhoa7
- 31/12/2019

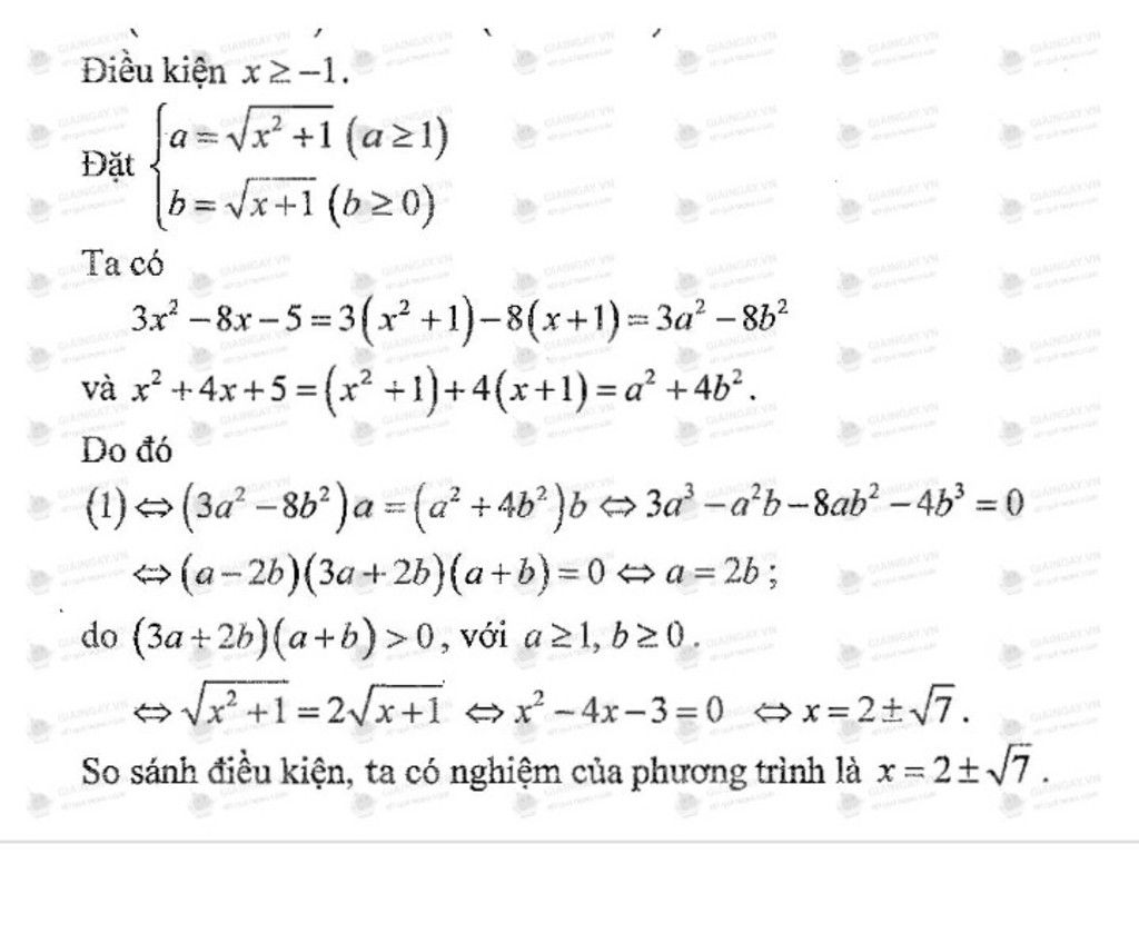
Đáp án:
Giải thích các bước giải:

Hãy giúp mọi người biết câu trả lời này thế nào?
starstarstarstarstarstarstarstarstarstarstarstarstarstarstarstarstarstarstarstarstarstarstarstarstarstarstarstarstarstarstarstarstarstarstarGửiHủy
Cảm ơn
Báo vi phạm
Bạn muốn hỏi điều gì?
PH/HS Tham Gia Nhóm Lớp 10 Để Trao Đổi Tài Liệu, Học Tập Miễn Phí!

Bảng tin
Bạn muốn hỏi điều gì?
Lý do báo cáo vi phạm?
Gửi yêu cầu Hủy

Cơ quan chủ quản: Công ty Cổ phần Công nghệ Giáo dục Thành Phát
Tải ứng dụng


- Hướng dẫn sử dụng
- Điều khoản sử dụng
- Nội quy hoidap247
- Góp ý
Inbox: m.me/hoidap247online
Trụ sở: Tầng 7, Tòa Intracom, số 82 Dịch Vọng Hậu, Cầu Giấy, Hà Nội.
Từ khóa » Căn(x+1)=x^2+4x+5
-
Giải Phương Trình: Căn Bậc Hai Của (x^2 - 4x + 5) = Căn ... - Khóa Học
-
Tìm Tập Xác Định Căn Bậc Hai Của X^2-4x-5 | Mathway
-
Giải Phương Trình Căn(x^2 − 4x − 1) =2 - Khanh Nguyen
-
Giải Phương Trình 2căn(2x+3)=x^2+4x+5 - Dương Minh Tuấn
-
Giải Phương Trình Căn(x^2-4x+5)+ Căn(x^2-4x+8)+ Căn(x ...
-
Giải Phương Trình Căn(x^2-4x+5)+căn(x^2-4x+8)+căn(x^2 ...
-
Giải Phương Trình (căn (2(x^2) - 4x + 5) = X - 2 ) Ta được Nghiệm Là
-
Cho Hàm Y = Căn X^2 - 4x - 5 . Mệnh đề Nào Sau đây Là đúng?
-
Đồ Thị Hàm Số Y=căn X-1+1x^2-4x-5 Có Tổng Số Bao Nhiêu Tiệm Cận ...
-
1.Tìm X Biết:A=x^2 4x 5 = 2*căn(x 3)jup Tôi Cấy Nhanh Nhé - Olm
-
Giải Phương Trình, Bất Phương Trình:a) 16x2 -5 = 0b) 2/ Căn Của X
-
Giải Phương Trình: $x^2-4x-3=\sqrt{x+5} - Diễn đàn Toán Học