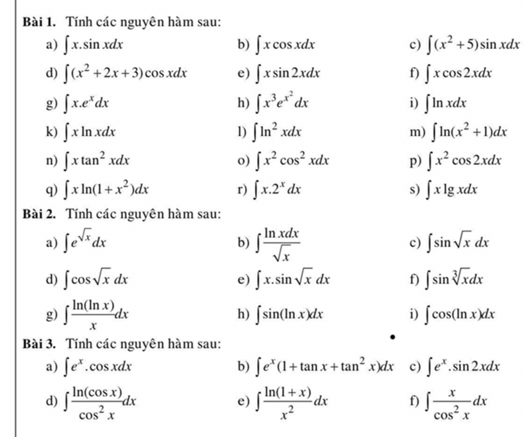
Bài 1. Tính Các Nguyên Hàm Sau: C) [(x² +5)sin Xdx ) Fxcos 2xdx I) FIn ...
Có thể bạn quan tâm


Tìm kiếm với hình ảnh
Vui lòng chỉ chọn một câu hỏi
Tìm đáp án
Đăng nhập- |
- Đăng ký


Hoidap247.com Nhanh chóng, chính xác
Hãy đăng nhập hoặc tạo tài khoản miễn phí!
Đăng nhậpĐăng ký

Lưu vào
+
Danh mục mới
- Concon

- Chưa có nhóm
- Trả lời
0
- Điểm
235
- Cảm ơn
0
- Toán Học
- Lớp 12
- 10 điểm
- Concon - 09:01:38 12/01/2020

- Hỏi chi tiết
Báo vi phạm
Hãy luôn nhớ cảm ơn và vote 5* nếu câu trả lời hữu ích nhé!
TRẢ LỜI
Concon rất mong câu trả lời từ bạn. Viết trả lờiTRẢ LỜI


- maitran15

- Hội nuôi cá
- Trả lời
27405
- Điểm
340364
- Cảm ơn
15838
- maitran15
- 13/01/2020
Đây là một chuyên gia không còn hoạt độngĐáp án:
$\begin{array}{l}k)\int {x.\ln xdx} \\\left\{ \begin{array}{l}u = \ln x \Rightarrow du = \frac{{dx}}{x}\\dv = xdx \Rightarrow v = \frac{{{x^2}}}{2}\end{array} \right.\\ \Rightarrow I = u.v - \int {v.du} \\ = {\mathop{\rm lnx}\nolimits} .\frac{{{x^2}}}{2} - \int {\frac{1}{x}.\frac{{{x^2}}}{2}dx} \\ = \ln x.\frac{{{x^2}}}{2} - \frac{{{x^2}}}{4} + C\\r)\int {x{{.2}^x}dx} \\ = \frac{{{2^x}}}{{\ln 2}}.x - \int {\frac{{{2^x}}}{{\ln 2}}dx} \\ = \frac{{{2^x}}}{{\ln 2}}.x - \frac{{{2^x}}}{{{{\left( {\ln 2} \right)}^2}}} + C\\i)\int {\ln xdx} \\ = x.\ln x - \int {x.\frac{1}{x}dx} \\ = x.\ln x - x + C\end{array}$
Hãy giúp mọi người biết câu trả lời này thế nào?
starstarstarstarstarstarstarstarstarstarstarstarstarstarstarstarstarstarstarstarstarstarstarstarstarstarstarstarstarstarstarstarstarstarstarGửiHủy
Cảm ơn 1
Báo vi phạm
- Concon

- Chưa có nhóm
- Trả lời
0
- Điểm
235
- Cảm ơn
0
E cảm ơn cj ạ.
- Concon
Bạn muốn hỏi điều gì?
Group 2K8 ôn Thi ĐGNL & ĐGTD Miễn Phí

Xem thêm
Bảng tin
Bạn muốn hỏi điều gì?
Lý do báo cáo vi phạm?
Gửi yêu cầu Hủy

Cơ quan chủ quản: Công ty Cổ phần Công nghệ Giáo dục Thành Phát
Tải ứng dụng


- Hướng dẫn sử dụng
- Điều khoản sử dụng
- Nội quy hoidap247
- Góp ý
Inbox: m.me/hoidap247online
Trụ sở: Tầng 7, Tòa Intracom, số 82 Dịch Vọng Hậu, Cầu Giấy, Hà Nội.
Từ khóa » Nguyên Hàm (x^2+5)sin Xdx
-
Tìm Nguyên Hàm 5sin(x)^2 | Mathway
-
Tìm Nguyên Hàm 5sin(x) | Mathway
-
Tính: Nguyên Hàm (2-x).sinxdx
-
Tìm Họ Nguyên Hàm Của Hàm Số Sau X / (x^2 + 5) Dx
-
Bài 1 Tính Các Nguyên Hàm Sau A) Fx... | Xem Lời Giải Tại QANDA
-
Tìm Nguyên Hàm Sau: \(I=\int (x-\frac{2}{x}+3\sin X)dx\) - HOC247
-
Bài Tập Nguyên Hàm Tích Phân - SlideShare
-
Họ Nguyên Hàm Của Hàm Số F(x)=sinx+2e^x-5x Là
-
(PDF) NGUYÊN HÀM TỪNG PHẦN | Vinh San Nguyen
-
[PDF] PHIẾU 1. NGUYÊN HÀM