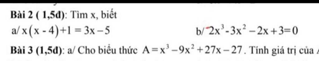
Bài 2 ( 1,5đ): Tìm X, Biết A/ X (x - 4)+1 = 3x – 5 B
Có thể bạn quan tâm


Tìm kiếm với hình ảnh
Vui lòng chỉ chọn một câu hỏi
Tìm đáp án
Đăng nhập- |
- Đăng ký


Hoidap247.com Nhanh chóng, chính xác
Hãy đăng nhập hoặc tạo tài khoản miễn phí!
Đăng nhậpĐăng ký

Lưu vào
+
Danh mục mới


- nguyenhoangthienmonz

- Chưa có nhóm
- Trả lời
26
- Điểm
1057
- Cảm ơn
16
- Toán Học
- Lớp 8
- 10 điểm
- nguyenhoangthienmonz - 19:48:09 11/09/2021

- Hỏi chi tiết
Báo vi phạm
Hãy luôn nhớ cảm ơn và vote 5* nếu câu trả lời hữu ích nhé!
TRẢ LỜI
- Haihung2k7

- We re champions
- Trả lời
1181
- Điểm
18
- Cảm ơn
1052
- Haihung2k7
- Câu trả lời hay nhất!

- 11/09/2021

Đáp án + Giải thích các bước giải:
Xin hay nhất



Hãy giúp mọi người biết câu trả lời này thế nào?

Cảm ơn 1
Báo vi phạm


- nguyenhoangthienmonz

- Chưa có nhóm
- Trả lời
26
- Điểm
1057
- Cảm ơn
16
Đợi b kia giải soq đã:)
- nguyenhoangthienmonz


- Haihung2k7

- We re champions
- Trả lời
1181
- Điểm
18
- Cảm ơn
1052
nhớ nha cộng điểm cho nhóm ạ
- Haihung2k7


- hoanggiang126k8

- Chưa có nhóm
- Trả lời
859
- Điểm
18560
- Cảm ơn
1166
- hoanggiang126k8
- 11/09/2021

Giải thích các bước giải:
a) x( x - 4 ) + 1 = 3x - 5
x² - 4x + 1 = 3x - 5
x² - 4x - 3x + 1 + 5 = 0
x² - 7x + 6 = 0
x² - x - 6x + 6 = 0
x( x - 1 ) - 6( x - 1 ) = 0
( x - 6 )( x - 1 ) = 0
<=> \(\left[ \begin{array}{l}x-6=0\\x-1=0\end{array} \right.\)
<=> \(\left[ \begin{array}{l}x=6\\x=1\end{array} \right.\)
Vậy x ∈ { 6 ; 1 }
b) 2x³ - 3x² - 2x + 3 = 0
x²( 2x - 3 ) - ( 2x - 3 ) = 0
( x² - 1 )( 2x - 3 ) = 0
<=> \(\left[ \begin{array}{l}x²-1=0\\2x-3=0\end{array} \right.\)
<=> \(\left[ \begin{array}{l}x²=1\\2x=3\end{array} \right.\)
<=> \(\left[ \begin{array}{l}x∈{1;-1}\\x=\frac{3}{2}\end{array} \right.\)
Vậy x ∈ { -1 ; 1 ; $\frac{3}{2}$ }
Chúc bạn học tốt!!
Hãy giúp mọi người biết câu trả lời này thế nào?

Cảm ơn 1
Báo vi phạm
Bạn muốn hỏi điều gì?
Tham Gia Group Dành Cho Lớp 8 Chia Sẻ, Trao Đổi Tài Liệu Miễn Phí

Bảng tin
Bạn muốn hỏi điều gì?
Lý do báo cáo vi phạm?
Gửi yêu cầu Hủy

Cơ quan chủ quản: Công ty Cổ phần Công nghệ Giáo dục Thành Phát
Tải ứng dụng


- Hướng dẫn sử dụng
- Điều khoản sử dụng
- Nội quy hoidap247
- Góp ý
Inbox: m.me/hoidap247online
Trụ sở: Tầng 7, Tòa Intracom, số 82 Dịch Vọng Hậu, Cầu Giấy, Hà Nội.
Từ khóa » Giải Bài Toán X/4-1+2/1-x+x/x-1
-
1/1*2 1/2*3 1/3*4 ..... 1/x(x 1) =499/500Hãy Tìm X - Olm
-
1/1x2 1/2x3 ...... 1/x X(x 1)=996/997 - Olm
-
2.990 Lượt Xem - Lazi
-
2 + 1/√x + 2 Với X ≥ 0; X Khác 4. Rút Gọn Biểu Thức P. Tìm X để P - Lazi
-
Tính 1/1-x+/1+x+2/1+x^2+4/1+x^4+8/1+x^8+16/1+x^16 - HOC247
-
Giải Các Phương Trình: A) 2x - 1/x - 1 + 1 = 1/x -1 B) 5x/2x + 2 + 1
-
Tìm X Biết (x-1)^4=(x-1)^2(x-1)4=(x-1)2
-
Tìm X :biết 1 / 1 X 2 + 1 / 2 X 3 + 1 / 3 X 4 +……+ 1 / ( X – 1) . X = 15 / 16
-
Tìm X : Biết 1 / 1 X 2 + 1 / 2 X 3 + 1 / 3 X 4 +……+ 1 / ( X – 1) . X = 15 / 16
-
MỘT SỐ BÀI TOÁN VỀ GIẢI BẤT PHƯƠNG TRÌNH - Vinastudy
-
Tổng Hợp Một Số Dạng Toán Tìm X Lớp 6
-
Toán Lớp 3 Chuyên đề Tìm X Cần Lưu ý