Bảng Công Thức Lượng Giác đầy đủ, Chi Tiết, Dễ Hiểu
Có thể bạn quan tâm
- Trang chủ
- Kiến thức Sức Khoẻ
- Sức Khoẻ Mẹ Và Bé
- Thảo Dược Spa
- Kiến Thức Đinh Lăng
- Tin Tức
- Sản Phẩm Túi Chườm Thảo Dược
- Chứng nhận
- Chứng Nhận Chất Lượng
- Qui Trình Chất Lượng Lá Đinh Lăng
- Chứng Nhận Vải Gối An Toàn
- Liên hệ
- Bao bì an toàn môi trường
Toggle navigation 0 - Trang chủ
- Kiến thức Sức Khoẻ
- Sức Khoẻ Mẹ Và Bé
- Thảo Dược Spa
- Kiến Thức Đinh Lăng
- Tin Tức
- Sản Phẩm Túi Chườm Thảo Dược
- Chứng nhận
- Chứng Nhận Chất Lượng
- Qui Trình Chất Lượng Lá Đinh Lăng
- Chứng Nhận Vải Gối An Toàn
- Liên hệ
- Bao bì an toàn môi trường
- Trang chủ /
- Blog - Tin tức
- Bảng công thức lượng giác đầy đủ, chi tiết, dễ hiểu
- 19/04/2021
- Tin tức
Công thức lượng giác rất phổ biến trong các kỳ thi trung học phổ thông, cũng như trong các kỳ thi đại học. Chính vì vậy học thuộc lòng công thức lượng giác là bài học bắt buộc cho các bạn muốn dự các kỳ thi này. Dưới đây là các công thức lượng giác mà phucngocan.com đã tổng hợp từ cơ bản đến nâng cao và cách học thuộc lòng nhanh nhất cho các bạn nhé.
1. Kiến thức cơ bản về lượng giác
Lượng giác là một nhánh của toán học, dùng để tìm hiểu về hình tam giác và sự liên hệ giữa các cạnh và góc của hình tam giác. Hàm số lượng giác diễn tả các mối liên kết và được áp dụng để nghiên cứu tam giác và những hiện tượng có chu kỳ, chẳng hạn như như sóng âm.Đường tròn lượng giác là 1 đường tròn sẽ như hình bên dưới
Trong đó, trục Oy là trục sin, trục Ox là trục cos, trục tang là đường thẳng tiếp giáp với đường tròn và song song với trục Oy, trục cotang là đường thẳng tiếp giáp với đường tròn và song song với trục Ox.
Bán kính hình tròn là OM, có giá trị bằng 1, cách xác định sin α và cos α như sau:

Mối liên quan giữa tan α và cot α với sin α và cos α

2. Bảng công thức lượng giác và các cung liên quan đặc biệt đầy đủ nhất
2.1. Lượng giác cơ bản

2.2. Các cung có liên quan đặc biệt
Cung đối nhau:
Cung bù nhau: x và π-x:

Cung phụ nhau: x và π⁄2 – x:

Cung hơn kém nhau π : x và π + x:

Cung hơn kém nhau π⁄2 : x và x + π⁄2

2.3. Công thức cộng

2.4. Công thức nhân đôi

2.5. Công thức hạ bậc

2.6. Công thức tính sin x, cos x, tan x theo t=tan x/2

2.7. Công thức nhân ba

2.8. Công thức biến đổi tổng thành tích

2.9. Công thức biến đổi tích thành tổng

3. Các công thức lượng giác nâng cao
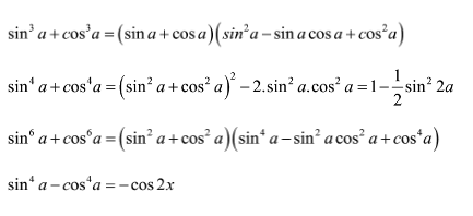
3.1. Các công thức kết hợp với các hằng đẳng thức đại số

3.2. Công thức hạ bậc

3.3. Công thức liên quan đến tổng và hiệu các giá trị lượng giác


Xem thêm:
- Cách sử dụng, ghi nhớ bảng tuần hoàn hóa học
- Tổng hợp 7 hằng đẳng thức đáng nhớ - Cách nhớ lâu cách hằng đẳng thức
4. Cách học thuộc công thức lượng giác nhanh nhất
4.1. Bài thơ về công thức cộng lượng giác
Cos + cos = 2 cos cosCos trừ cos = trừ 2 sin sinSin + sin = 2 sin cosSin trừ sin = 2 cos sinSin thì sin cos cos sin Cos thì cos cos sin sin “coi chừng” (dấu trừ).Tang tổng thì lấy tổng tang Chia một trừ với tích tang4.2. Cách học thuộc giá trị lượng giác cung đặc biệt
Cos đối, sin bù, phụ chéo, khác pi tan
Cosin của 2 góc đối bằng nhau; sin của 2 góc bù nhau thì bằng nhau; phụ chéo là 2 góc phụ nhau thì sin góc này = cos góc kia, tan góc này = cot góc kia; tan của 2 góc hơn kém pi thì bằng nhau.
4.3. Cách học thuộc công thức lượng giác nhân ba
Nhân ba một góc bất kỳSin thì ba bốn, cos thì bốn baDấu trừ đặt giữa 2 ta, lập phương chỗ bốn4.4. Công thức gấp đôi
Sin gấp đôi = 2 sin cosCos gấp đôi = bình cos trừ bình sin = trừ 1 + 2 lần bình cos = + 1 trừ 2 lần bình sinTang gấp đôi Tang đôi ta lấy đôi tang (2 tang)Chia 1 trừ lại bình tang, ra liền4.5. Cách học thuộc công thức lượng giác biến đổi tổng thành tích nhanh nhất
Sin tổng lập tổng sin côCô tổng lập hiệu đôi cô đôi chàngCòn tan tử + đôi tan (hoặc là: tan tổng lập tổng 2 tan)Một trừ tan tích mẫu mang thương sầuGặp hiệu ta chớ lo âuĐổi trừ thành + ghi sâu vào lòng4.6. Cách nhớ công thức lượng giác biến đổi tích thành tổng dễ nhất
Cos cos nửa cos-+, + cos-trừSin sin nửa cos-trừ trừ cos-+Sin cos nửa sin-+ + sin-trừ Trên đây là các công thức lượng giác toán cơ bản và nâng cao mà phucngocan.com đã tổng hợp. Để có thể làm tốt các bài tập rút gọn biểu thức hay chứng minh biểu thức lượng giác các bạn cần phải học thuộc lòng các công thức lượng giác trên. Hy vọng các bạn học thuộc các công thức này thành công và đạt điểm tốt trong các bài kiểm tra lượng giác.Xem thêm các bài viết sau:- Không Muốn Viêm Xoang Nặng Thêm Tránh Ngay Những Thực Phẩm Này
- Cách Nhận Biết Ngay Triệu Chứng Viêm Xoang
- Viêm Mũi Dị Ứng Ở Trẻ Em Và Cách Chữa Thảo Dược Cực Hay
Danh mục blog
Bài viết mới nhất
4 giai đoạn phát triển của trẻ sơ sinh trong năm đầu tiên 23/05/2021
Cách dùng thuốc Elevit cho phụ nữ mang thai hiệu quả và tác dụng lưu ý 22/05/2021
Cẩm nang làm mẹ: Kinh nghiệm và những điều cần biết khi làm mẹ 21/05/2021 Bạn có sản phẩm trong giỏ hàng
| Tên sản phẩm | Số lượng | Giá tiền |
|---|
Từ khóa » Công Thức Cung Hơn Kém Pi Chia 2
-
Công Thức Cung Hơn Kém Nhau Pi/2 - CungHocVui
-
Các Công Thức Lượng Giác Toán 10 Đầy Đủ Nhất - Kiến Guru
-
Công Thức Cung Hơn Kém Nhau Pi/2
-
Công Thức Lượng Giác Của Các Góc Liên Quan đặc Biệt Lớp 10
-
Giá Trị Lượng Giác Của Cung Hơn Kém Pi 2 Hay Nhất 2022, Công ...
-
Tuyển Tập Công Thức Lượng Giác Dễ Hiểu Nhất - NB Concept
-
Bảng Công Thức Lượng Giác đầy đủ
-
Tổng Hợp Bảng Các Công Thức Lượng Giác đầy đủ, Chi Tiết, Dễ Hiểu
-
Bảng Công Thức Lượng Giác đầy đủ,chi Tiết,dễ Hiểu - DeThiThu.Net
-
CÔNG THỨC LƯỢNG GIÁC
-
Tìm Hiểu Tổng Hợp Bảng Các Công Thức Lượng Giác đầy đủ, Chi Tiết ...
-
CongThucLuongGiac: Bảng Công Thức Lượng Giác Và Cách Học ...
-
Bài Thơ Ghi Nhớ Toàn Bộ Công Thức Lượng Giác - OnLuyen