Căn Thức Bậc Hai Và Hằng đẳng Thức - Chuyên đề Môn Toán Lớp 9
Có thể bạn quan tâm
Nâng cấp gói Pro để trải nghiệm website VnDoc.com KHÔNG quảng cáo, và tải file cực nhanh không chờ đợi.
Tìm hiểu thêm » Mua ngay Từ 79.000đ Hỗ trợ ZaloChuyên đề Toán học lớp 9: Căn thức bậc hai và hằng đẳng thức được VnDoc sưu tầm và giới thiệu tới các bạn học sinh cùng quý thầy cô tham khảo. Nội dung tài liệu sẽ giúp các bạn học sinh học tốt môn Toán học lớp 9 hiệu quả hơn. Mời các bạn tham khảo.
Chuyên đề: Căn thức bậc hai và hằng đẳng thức
- A. Lý thuyết
- B. Trắc nghiệm & Tự luận
A. Lý thuyết
I. CĂN THỨC BẬC HAI
1. Định nghĩa
Với A là một biểu thức đại số, người ta gọi √A là căn thức bậc hai của A, còn A là biểu thức lấy căn hay còn gọi là biểu thức dưới dấu căn.
2. Điều kiện có nghĩa (hay có nghĩa) của một căn thức bậc hai
√A xác định (có nghĩa) ⇔ A ≥ 0
3. Ví dụ cụ thể
-
\(\sqrt{3x}\) xác định ⇔ 3x ≥ 0 ⇔ x ≥ 0.
-
\(\sqrt{3-7x}\) xác định ⇔ 3 - 7x ≥ 0 ⇔ x ≤ 3/7.
-
\(\sqrt{2-3x}\) xác định ⇔ 2 - 3x ≥ 0 ⇔ x ≤ 2/3.
-
\(\sqrt{x\ -6}\) xác định ⇔ x - 6 ≥ 0 ⇔ x ≥ 6.
-
\(\sqrt{18-9x}\) xác định ⇔ 18 - 9x ≥ 0 ⇔ x ≤ 2.
II. HẰNG ĐẲNG THỨC
Muốn khai căn một biểu thức, ta dùng hằng đẳng thức √(A2) = |A|.
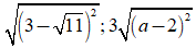
Ví dụ 1: Rút gọn biểu thức
với a < 2
Giải:
Ta có:
= |3 - √(11)| = √(11) - 3 vì √(11) > 3
Ta có:
= |a - 2| = 2 - a vì a < 2
Khi đó: 3
= 3(2 - a) = 6 - 3a
Ví dụ 2: Tìm x biết √(x2) = |-7|; √(9x2) = |-12|
Giải:
Ta có: √(x2) = |-7| = 7 ⇔ x2 = 49 ⇔ x = ±7
Ta có: √(9x2) = |-12| = 12 ⇔ 9x2 = 144 ⇔ x2 = 16 ⇔ x = ±4
III. MỘT SỐ KIẾN THỨC CẦN NHỚ
1. Giá trị tuyệt đối
• Định nghĩa 
• Hệ quả
|A| ≥ 0, ∀ A
|A| = |-A|

|A| = A ⇔ A ≥ 0; |A| = -A ⇔ A ≤ 0; |A| = 0 ⇔ A = 0
2. Dấu của một tích, một thương

IV. PHƯƠNG PHÁP GIẢI TOÁN
DẠNG 1: Tìm điều kiện để một để một căn thức bậc hai xác định.
• √A xác định (hay có nghĩa) ⇔ A ≥ 0
• Giải bất phương trình A ≥ 0
• Kết luận.
DẠNG 2: Khai căn một biểu thức – Tính giá trị một biểu thức chứa căn
• Khai căn nhờ hằng đẳng thức √(A2) = |A|
• Rút gọn
DẠNG 3: Phân tích thành nhân tử
• Viết A ≥ 0 thành (√A)2
• Sử dụng A2 - B2 = (A - B)(A + B)
• Sử dụng A2 ± 2AB + B2 = (A ± B)2
• Thêm, bớt tạo thành hằng đẳng thức
DẠNG 4: Giải phương trình
• Khai căn một biểu thức
• Giải phương trình chứa dấu giá trị tuyệt đối
B. Trắc nghiệm & Tự luận
I. Bài tập trắc nghiệm
Câu 1: Điều kiện xác định của biểu thức là ?
A. x = 7/4. B. x ≥ 7/4. C. x ≤ 4/7. D. x > 4/7.
xác định ⇔ 7x - 4 ≥ 0 ⇔ x ≥ 4/7.
Chọn đáp án B.
Câu 2: Điều kiện xác định của biểu thức
là?
A. x = 0. B. x ≠ 2. C. 0 < x < 2. D. 0 ≤ x ≤ 2.

Chọn đáp án C.
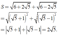
Câu 3: Giá trị của biểu thức
là?
A. S = 12. B. S = 2. C. S = √5. D. S = 2√5
Ta có

Chọn đáp án D.
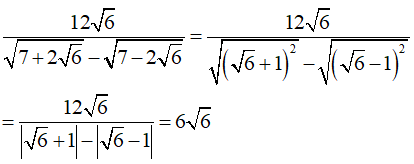
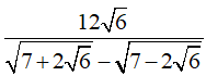
Câu 4: Giá trị của phép toán
là?
A. 6. B. 6√6. C. 4√6. D. 4.
Ta có

Chọn đáp án B.
Câu 5: Phân tích biểu thức x2 - 2√3.x + 3 thành nhân tử?
A. (x - √3)2. B. (√x - 3)2. C. (x + √3)2. D. (x - √3)(x + √3).
Ta có: x2 - 2√3.x + 3 = (x)2 - 2x(√3) + (√3)2 = (x - √3)2
Chọn đáp án A.
Câu 6: Rút ngọn biểu thức: A =√144a2 − 9a với a > 0
A. −9a
B. −3a
C. 3a
D. 9a
Đáp án: C
Câu 7: Tìm điều kiện xác định của √125−5x
A. x≤15
B. x≥25
C. x≤25
D. x≥0
Đáp án: C
Câu 8: Nghiệm của phương trình
\(\sqrt{2x^{2} +31}\) = x + 4
A. x = 2
B. x = 5
C. x = 3
D. c = 3; x = 5
Đáp án: D
II. Bài tập tự luận
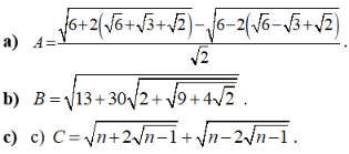
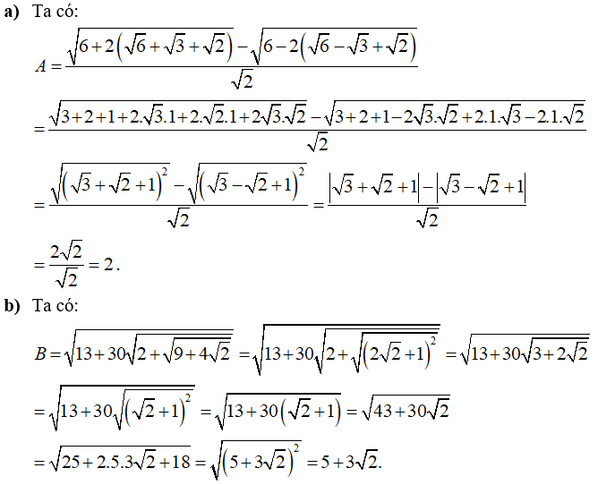
Câu 1: Rút gọn các biểu thức sau:



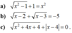
Câu 2: Giải các phương trình sau



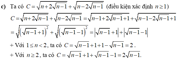
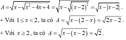
Câu 3: Cho biểu thức: ![]()
a) Tìm tập xác định của biểu thức.
b) Rút gọn biểu thức A.
Đáp ána) Điều kiện xác định:

Vậy tập xác định là D = [1; +∞].
b) Ta có: .

Trên đây VnDoc đã giới thiệu tới các bạn lý thuyết môn Toán học 9: Căn thức bậc hai và hằng đẳng thức. Với bài Căn thức bậc hai và hằng đẳng thức các bạn học sinh cần nắm vững kiến thức về định nghĩa, điều kiện có nghĩa của căn thức bậc hai, và vận dụng làm bài tập thường xuyên để ghi nhớ kiến thức.
Để có kết quả cao hơn trong học tập, VnDoc xin giới thiệu tới các bạn học sinh tài liệu Chuyên đề Toán học 9, Giải bài tập Toán lớp 9 mà VnDoc tổng hợp và giới thiệu tới các bạn đọc
Từ khóa » Khai Căn Biểu Thức Lớp 9
-
Các Dạng Toán Về Căn Bậc 2, Căn Bậc 3 Và Cách Giải - Toán Lớp 9
-
Các Công Thức Biến đổi Căn Thức Bậc Hai Và Bài Tập Vận Dụng
-
Toán 9 - Căn Thức Bậc Hai Và Hằng đẳng Thức - Blog Lớp Học Tích Cực
-
Rút Gọn Biểu Thức Chứa Căn Toán 9
-
Cách Tính Giá Trị Của Biểu Thức Chứa Căn - Trường Quốc Học
-
Lý Thuyết Về Rút Gọn Biểu Thức Chứa Căn Bậc Hai
-
Khai Phương Một Tích, Một Thương - Nhân Chia Các Căn Thức Bậc Hai
-
Dạng Bài Tập Tính Giá Trị Biểu Thức Cực Hay Có Giải Chi Tiết
-
Câu 62 Trang 15 SBT Toán Lớp 9 Tập 1: Khai Triển Và Rút Gọn Các ...
-
Định Nghĩa, Công Thức Khai Căn Bậc 2, Bậc 3, Bậc N - TopLoigiai
-
Rút Gọn Biểu Thức Chứa Căn Bậc Hai
-
Rút Gọn Biểu Thức Lớp 9 Căn Thức Bậc 2 Và Bài Tập Vận Dụng
-
Lý Thuyết Căn Thức Bậc Hai Và Hằng đẳng Thức Hay, Chi Tiết | Toán Lớp 9
-
AloWings - Toán Cấp 2