Chng 3 Ni Suy 1 Ni Suy A

Chương 3 : Nội suy 1. Nội suy đa thức 2. Nội suy Spline 1. Nội suy đa thức : A. Theo phương pháp Lagrange B. Theo phương A) 3 n+1 ẩn số n+1 ph trình 4 5 6 Bước 2: thiết lập đa thức P(x) 7 Sai soá taïi x 8 Tính giá trị của bảng tại x = 0. 7 x -1 0 1 10 11 12 2. Nô i suy theo Newton 13 2. 1 14 15 16 17 18 19 BT đa thức là ? 20 2. Nội suy Spline bậc 3 ( hàm ghép trơn bậc 3 ) *) Nô i ca c điê m (xi , yi) la i vơ i nhau 23 xj hj xj+1 24 Chỉ tìm các hệ số cj 25 Các hệ số cj tìm từ hệ phương trình A B 26 27 a 0 = b 0 = c 0 = d 0 = a 1 29 a 0 = b 0 =0 c 0 =0 d 0 =1 a 1 S(1. 5) = ? S(1. 5) =1+3(1. 5 -1)2 -3(1. 5 -1)3 =2. 875 1 32 33 34 Tìm a, b, c, d để S(x) là hàm Spline bậc 3 biên tự Biên tự nhiên Biên ràng buộc d) cho trước 36 37 Vi du : Một hàm Spline bậc 3 : S(x) nội suy bảng số 39
  • Slides: 39
Download presentation Chương 3 : Nội suy 1. Nội suy đa thức 2. Nội suy Spline

Chương 3 : Nội suy 1. Nội suy đa thức 2. Nội suy Spline 3. 3. Phương pháp bình phương cực tiểu 1

1. Nội suy đa thức : A. Theo phương pháp Lagrange B. Theo phương

1. Nội suy đa thức : A. Theo phương pháp Lagrange B. Theo phương pháp Newton tiến C. Theo phương pháp Newton lùi 2

A) 3

A) 3

n+1 ẩn số n+1 ph trình 4

n+1 ẩn số n+1 ph trình 4

5

5

6

6

Bước 2: thiết lập đa thức P(x) 7

Bước 2: thiết lập đa thức P(x) 7

Sai soá taïi x 8

Sai soá taïi x 8

Tính giá trị của bảng tại x = 0. 7 x -1 0 1

Tính giá trị của bảng tại x = 0. 7 x -1 0 1 y 1/3 1 3 9

10

10

11

11

12

12

2. Nô i suy theo Newton 13

2. Nô i suy theo Newton 13

2. 1 14

2. 1 14

15

15

16

16

17

17

18

18

19

19

BT đa thức là ? 20

BT đa thức là ? 20

2. Nội suy Spline bậc 3 ( hàm ghép trơn bậc 3 ) *)

2. Nội suy Spline bậc 3 ( hàm ghép trơn bậc 3 ) *) Biên tự nhiên *) Biên ràng buộc 21

Nô i ca c điê m (xi , yi) la i vơ i nhau

Nô i ca c điê m (xi , yi) la i vơ i nhau bơ i ca c đa thư c bâ c 3 22

23

23

xj hj xj+1 24

xj hj xj+1 24

Chỉ tìm các hệ số cj 25

Chỉ tìm các hệ số cj 25

Các hệ số cj tìm từ hệ phương trình A B 26

Các hệ số cj tìm từ hệ phương trình A B 26

27

27

a 0 = b 0 = c 0 = d 0 = a 1

a 0 = b 0 = c 0 = d 0 = a 1 = b 1 = c 1 = d 1 = a 2 = b 2 = c 2 = d 2 = a 3 = c 3 = 28

29

29

a 0 = b 0 =0 c 0 =0 d 0 =1 a 1

a 0 = b 0 =0 c 0 =0 d 0 =1 a 1 = b 1 =3 c 1 =3 d 1 =-3 a 2 = b 2 =0 c 2 =-6 d 2 =2 a 3 = c 3 =0 30

S(1. 5) = ? S(1. 5) =1+3(1. 5 -1)2 -3(1. 5 -1)3 =2. 875

S(1. 5) = ? S(1. 5) =1+3(1. 5 -1)2 -3(1. 5 -1)3 =2. 875 31

1 32

1 32

33

33

34

34

Tìm a, b, c, d để S(x) là hàm Spline bậc 3 biên tự

Tìm a, b, c, d để S(x) là hàm Spline bậc 3 biên tự nhiên 35

Biên tự nhiên Biên ràng buộc d) cho trước 36

Biên tự nhiên Biên ràng buộc d) cho trước 36

37

37

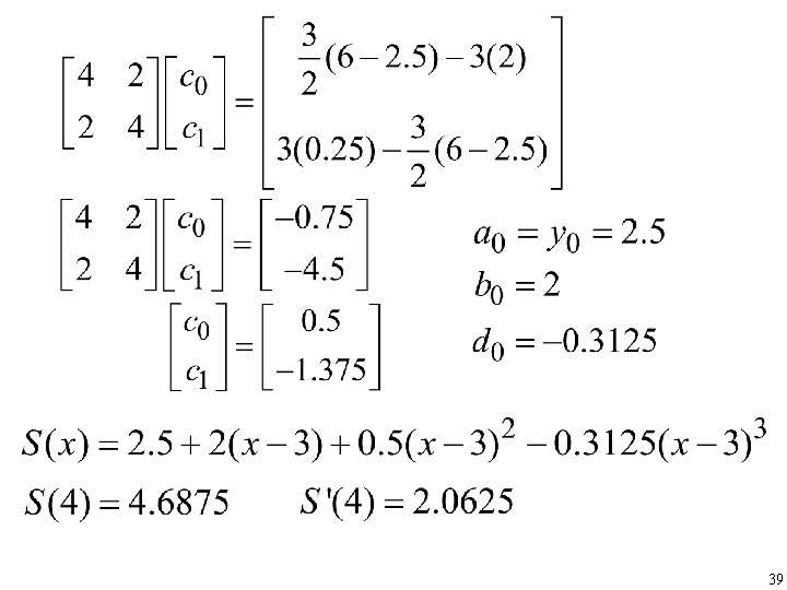
Vi du : Một hàm Spline bậc 3 : S(x) nội suy bảng số

Vi du : Một hàm Spline bậc 3 : S(x) nội suy bảng số liệu x y 3 2. 5 5 6 thỏa các điều kiện biên ra ng buô c Tính giá trị của hàm S(x) tại điểm x =4 38

39

39

Từ khóa » Nội Suy Spline Bậc 3