Chng 5 TRANSISTOR LNG CC BJT Th S

Sign up to view full document! SIGN UP Chương 5: TRANSISTOR LƯỠNG CỰC (BJT) Th. S. Nguyễn Bá Vương

Chương 5: TRANSISTOR LƯỠNG CỰC (BJT) Th. S. Nguyễn Bá Vương

1. Cấu tạo • Transistor có cấu tạo gồm các miền bán dẫn p

1. Cấu tạo • Transistor có cấu tạo gồm các miền bán dẫn p và n xen kẽ nhau

1. Cấu tạo • Miền bán dẫn thứ nhất của Transistor là miền Emitter

1. Cấu tạo • Miền bán dẫn thứ nhất của Transistor là miền Emitter (miền phát) với đặc điểm là có nồng độ tạp chất lớn nhất, điện cực nối với miền này gọi là cực Emitter (cực phát). • Miền thứ hai là miền Base (miền gốc) với nồng độ tạp chất nhỏ và độ dày của nó nhỏ cỡ m, điện cực nới với miền này gọi là cực Base (cực gốc). • Miền còn lại là miền Collector (miền thu) với nồng độ tạp chất trung bình và điện cực tương ứng là Collector (cực thu).

1. Cấu tạo • Tiếp giáp p-n giữa miền Emitter và Base gọi là

1. Cấu tạo • Tiếp giáp p-n giữa miền Emitter và Base gọi là tiếp giáp Emitter (JE). • Tiếp giáp p-n giữa miền Base và miền Collector là tiếp giáp Collector (JC). • Về kí hiệu Transistor cần chú ý là mũi tên đặt ở giữa cực Emitter và Base có chiều từ bán dẫn p sang bán dẫn n. PNP NPN

1. Cấu tạo • Về mặt cấu trúc, có thể coi Transistor như 2

1. Cấu tạo • Về mặt cấu trúc, có thể coi Transistor như 2 diode mắc đối nhau

1. Cấu tạo • Cấu tạo mạch thực tế của một Transistor n-p-n

1. Cấu tạo • Cấu tạo mạch thực tế của một Transistor n-p-n

2. Nguyên lý hoạt động Để Transistor làm việc, người ta phải đưa điện

2. Nguyên lý hoạt động Để Transistor làm việc, người ta phải đưa điện áp 1 chiều tới các điện cực của nó, gọi là phân cực cho Transistor

2. Nguyên lý hoạt động

2. Nguyên lý hoạt động

sơ đồ phân cực trong BJT JE JC

sơ đồ phân cực trong BJT JE JC

sơ đồ phân cực trong BJT JE JC

sơ đồ phân cực trong BJT JE JC

Tham số • Hệ thức cơ bản về các dòng điện trong Transistor •

Tham số • Hệ thức cơ bản về các dòng điện trong Transistor • Hệ số truyền đạt dòng điện α của Transistor • Hệ số khuếch đại dòng điện β của Transistor • Ta có hệ thức:

3. Các dạng mắc BJT

3. Các dạng mắc BJT

3. 1 Mạch chung Emitter (EC)

3. 1 Mạch chung Emitter (EC)

Họ đường đặc tuyến vào I = f(U ) khi U = const B

Họ đường đặc tuyến vào I = f(U ) khi U = const B BE CE

Đặc tuyến truyền đạt và đặc tuyến ra của sơ đồ EC Họ đường

Đặc tuyến truyền đạt và đặc tuyến ra của sơ đồ EC Họ đường đặc tuyến ra: IC = f(UCE ) khi IB=const Họ đường đặc tuyến truyền đạt: IC = f(IBE) khi UCE = const

Hệ số khuếch đại Theo định luật Kiếchôp ta có Giải phương trình với

Hệ số khuếch đại Theo định luật Kiếchôp ta có Giải phương trình với IC, chúng ta có mối quan hệ giữa IC và IB Trong đó β = (1 - ) là hệ số khuếch đại CE ( thông thường = 0, 99; β = 99)

Một số mạch EC

Một số mạch EC

3. 2 Mạch chung Base (BC)

3. 2 Mạch chung Base (BC)

Họ đường đặc tuyến vào IE=f(UEB) khi điện áp ra UCB =const

Họ đường đặc tuyến vào IE=f(UEB) khi điện áp ra UCB =const

Họ đường đặc tuyến ra và truyền đạt Đặc tuyến ra: IC= f(UCB) khi

Họ đường đặc tuyến ra và truyền đạt Đặc tuyến ra: IC= f(UCB) khi giữ dòng vào IE=const Đặc tuyến truyền đạt: IC=f(IE) khi UCB = const

3. 3 Mạch chung Collector (CC)

3. 3 Mạch chung Collector (CC)

Đặc tuyến ra của sơ đồ CC

Đặc tuyến ra của sơ đồ CC

Đường thẳng lấy điện (Load line) • Phương trình đường thẳng lấy điện :

Đường thẳng lấy điện (Load line) • Phương trình đường thẳng lấy điện : VCC=ICRC+VCE viết lại: IC = ( VCC – VCE)/ RC = -VCE / RC + VCC /RC Đường lấy điện đựợc vẽ trên đặc tuyến ra qua 2 điểm xác định sau: • Điểm ngưng, IC = 0 VCE= VCC (Điểm M) • Điểm bão hòa: VCE = 0 IC = VCC/ RC (Điểm N) nối 2 điểm M và N lại ta có được đường lấy điện • Giao điểm đường lấy điện và đường phân cực IB chọn trước cho ta trị số điểm tĩnh Q.

Đường thẳng lấy điện cho EC

Đường thẳng lấy điện cho EC

Vai trò của đường thẳng lấy điện • Phân giải mạch Transistor. • Xác

Vai trò của đường thẳng lấy điện • Phân giải mạch Transistor. • Xác định điểm tĩnh điều hành Q. • Cho biết trạng thái hoạt động của transistor ( tác động, bão hoà, ngưng). • Mạch khuếch đại có tuyến tính hay không. • Thiết kế mạch khuếch theo ý định ( chọn trước điểm tĩnh Q , tính các trị số linh kiện)

Chú ý: • Độ lợi dòng điện thay đổi theo vị trí điểm tĩnh

Chú ý: • Độ lợi dòng điện thay đổi theo vị trí điểm tĩnh điều hành Q. • Điểm tĩnh điều hành Q thay đổi vị trí theo điện thế phân cực transistor và còn thay đổi theo tín hiệu xoay chiều ( AC) tác động vào mạch.

Phân giải bằng đồ thị

Phân giải bằng đồ thị

4. Phân cực của BJT

4. Phân cực của BJT

Vùng hoạt động của BJT: • Vùng tác động: (Vùng khuếch đại hay tuyến

Vùng hoạt động của BJT: • Vùng tác động: (Vùng khuếch đại hay tuyến tính) Mối ghép B-E phân cực thuận Mối ghép B-C phân cực nghịch • Vùng bảo hòa: Mối ghép B-E phân cực thuận Mối ghép B-C phân cực thuận • Vùng ngưng: Mối ghép B-E phân cực nghịch

Phương pháp chung để phân giải mạch phân cực gồm ba bước: • Bước

Phương pháp chung để phân giải mạch phân cực gồm ba bước: • Bước 1: Dùng mạch điện ngõ vào để xác định dòng điện ngõ vào (IB hoặc IE). • Bước 2: Suy ra dòng điện ngõ ra từ các liên hệ IC=βIB hay IC=αIE • Bước 3: Dùng mạch điện ngõ ra để tìm các thông số còn lại (điện thế tại các chân, giữa các chân của BJT. . . )

4. 1 Phân cực cố định của BJT (Fixed – Bias)

4. 1 Phân cực cố định của BJT (Fixed – Bias)

Phân cực cố định của BJT (Fixed – Bias) • Mạch ngõ nền-phát (Base-Emitter):

Phân cực cố định của BJT (Fixed – Bias) • Mạch ngõ nền-phát (Base-Emitter): Với VBE = 0. 7 V nếu BJT là Si và VBE = 0. 3 V nếu là Ge. Suy ra : IC=βIB Mạch ngõ ra thu-nền (Collector-Base): hay Đây là phương trình đường thẳng lấy điện.

Sự bảo hòa của BJT • Sự liên hệ giữa IC và IB sẽ

Sự bảo hòa của BJT • Sự liên hệ giữa IC và IB sẽ quyết định BJT có hoạt động trong vùng tuyến tính hay không. Ðể BJT hoạt động trong vùng tuyến tính thì nối thu - nền (CE) phải phân cực nghịch. Ở BJT NPN và cụ thể ở mạch vừa xét ta phải có: Nếu thì BJT sẽ đi dần vào hoạt động trong vùng bão hòa. Từ điều kiện này và liên hệ IC=βIB ta tìm được trị số tối đa của IB, từ đó chọn RB sao cho thích hợp.

Nếu tức VCE = 0 V (thực ra khoảng 0. 2 V) Thì VC≤VB,

Nếu tức VCE = 0 V (thực ra khoảng 0. 2 V) Thì VC≤VB, nối CB (thu-nền) phân cực thuận, BJT hoàn toàn nằm trong vùng bão hòa và dòng điện được gọi là dòng cực thu bão hòa ICsat

4. 2 Phân cực ổn định cực phát Mạch cơ bản giống mạch phân

4. 2 Phân cực ổn định cực phát Mạch cơ bản giống mạch phân cực cố định, nhưng ở cực emitter được mắc thêm một điện trở RE xuống mass. Cách tính phân cực cũng có các bước giống như ở mạch phân cực cố định.

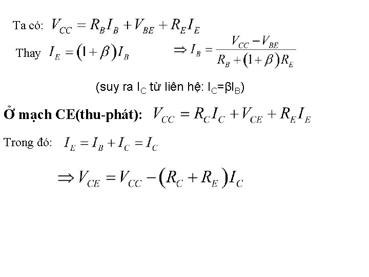
Ta có: Thay (suy ra IC từ liên hệ: IC=βIB) Ở mạch CE(thu-phát): Trong

Ta có: Thay (suy ra IC từ liên hệ: IC=βIB) Ở mạch CE(thu-phát): Trong đó:

Sự bảo hòa của BJT • Tương tự như trong mạch phân cực cố

Sự bảo hòa của BJT • Tương tự như trong mạch phân cực cố định, bằng cách cho nối tắt giữa cực thu và cực phát ta tìm được dòng điện cực thu bảo hòa ICsat Ta thấy khi thêm RE vào, ICsat nhỏ hơn trong trường hợp phân cực cố định, tức BJT dễ bão hòa hơn.

4. 3 Phân cực bằng cầu chia điện thế Dùng định lý Thevenin biến

4. 3 Phân cực bằng cầu chia điện thế Dùng định lý Thevenin biến đổi thành mạch tương đương

Trong đó: Mạch BE (nền phát): Thay: IE=(1+β)IB Suy ra: Từ liên hệ Mạch

Trong đó: Mạch BE (nền phát): Thay: IE=(1+β)IB Suy ra: Từ liên hệ Mạch CE (thu phát): Vì Ngoài ra:

Sự bảo hòa của BJT Tương tự như phần trước:

Sự bảo hòa của BJT Tương tự như phần trước:

4. 4 Phân cực với hồi tiếp điện thế Ðây cũng là cách phân

4. 4 Phân cực với hồi tiếp điện thế Ðây cũng là cách phân cực cải thiện độ ổn định cho hoạt động của BJT

 Mạch nền phát: Với

Mạch nền phát: Với

4. 5 Một số dạng mạch phân cực khác

4. 5 Một số dạng mạch phân cực khác

5. Thiết kế mạch phân cực

5. Thiết kế mạch phân cực

Khi thiết kế mạch phân cực, người ta thường dùng các định luật căn

Khi thiết kế mạch phân cực, người ta thường dùng các định luật căn bản về mạch điện như định luật Ohm, định luật Kirchoff, định lý Thevenin. . . , để từ các thông số đã biết tìm ra các thông số chưa biết của mạch điện.

Thí dụ 1 • Cho mạch phân cực với đặc tuyến ngõ ra của

Thí dụ 1 • Cho mạch phân cực với đặc tuyến ngõ ra của BJT như hình dưới. Xác định VCC, RB.

Từ đường thẳng lấy điện: VCE =VCC-RCIC Tại trục tọa độ UCE , khi

Từ đường thẳng lấy điện: VCE =VCC-RCIC Tại trục tọa độ UCE , khi IB=0 ta suy ra IC=0 và VCE =20 V thay vào phương trình đường thẳng lấy điện ta có VCC=20 V Ngoài ra: Transistor làm từ vật liệu thuần bán dẫn Si do đó VBE=0. 7 V và Để có các điện trở tiêu chuẩn ta chọn: RB=470 K , RC=2. 4 K. .

Thí dụ 2 • Thiết kế mạch phân cực như hình dưới. IC=2 m.

Thí dụ 2 • Thiết kế mạch phân cực như hình dưới. IC=2 m. A, VCE=10 V

Điện trở RC và RE không thể tính trực tiếp từ các thông số

Điện trở RC và RE không thể tính trực tiếp từ các thông số đã biết. Việc đưa điện trở RE vào mạch là để ổn định điều kiện phân cực. RE không thể có trị số quá lớn vì như thế làm giảm VCE (sẽ làm giảm độ khuếch đại). Nhưng nếu RE quá nhỏ thì độ ổn định kém. Thực nghiệm người ta thường chọn VE khoảng 1/10 VCC.

Chọn RB=1. 2 MΩ

Chọn RB=1. 2 MΩ

Thí dụ 3 • Thiết kế mạch phân cực có dạng như hình dưới

Thí dụ 3 • Thiết kế mạch phân cực có dạng như hình dưới

Ta có: Ðiện trở R 1, R 2 không thể tính trực tiếp từ

Ta có: Ðiện trở R 1, R 2 không thể tính trực tiếp từ điện thế chân B và điện thế nguồn. Ðể mạch hoạt động tốt, ta phải chọn R 1, R 2 sao cho có VB mong muốn và sao cho dòng qua R 1, R 2 gần như bằng nhau và rất lớn đối với IB. Lúc đó:

Ta có thể chọn: R 1=39 kΩ hoặc 47 kΩ

Ta có thể chọn: R 1=39 kΩ hoặc 47 kΩ

6. BJT hoạt động như một chuyển mạch

6. BJT hoạt động như một chuyển mạch

Thí dụ: Xác định RC và RB của mạch điện nếu ICsat=10 m. A

Thí dụ: Xác định RC và RB của mạch điện nếu ICsat=10 m. A Ta chọn IB=60μA để đảm bảo BJT hoạt động trong vùng bảo hòa Do đó ta thiết kế: RC=1 kΩ RB=150 kΩ

Thí dụ ở 1 BJT bình thường: ts=120 ns ; tr=13 ns tf=132 ns

Thí dụ ở 1 BJT bình thường: ts=120 ns ; tr=13 ns tf=132 ns ; td=25 ns Vậy: ton=38 ns ; toff=132 ns

Một số ứng dụng của BJT hoạt động như một chuyển mạch

Một số ứng dụng của BJT hoạt động như một chuyển mạch

Using a transistor as a switch PNP NPN

Using a transistor as a switch PNP NPN

Using a transistor switch with sensors

Using a transistor switch with sensors

7. Tính khuếch đại của BJT

7. Tính khuếch đại của BJT

 • Giả sử ta đưa một tín hiệu xoay chiều Vin(t) có dạng

• Giả sử ta đưa một tín hiệu xoay chiều Vin(t) có dạng sin, biên độ nhỏ vào chân B của BJT khi đó ta có: VB(t)=VB+Vin(t) • Các tụ liên lạc C 1 và C 2 được chọn như thế nào để có thể xem như nối tắt -dung kháng rất nhỏ - ở tần số của tín hiệu. • Như vậy tác dụng của các tụ liên lạc C 1, C 2 làm cho thành phần xoay chiều của tín hiệu đi qua và ngăn thành phần phân cực một chiều.

 • VB(t) >VB→IB↑ → IC ↑ →VC(t)=VCC-RCi. C(t) ↓ • VB(t) <VB→IB↓ →

• VB(t) >VB→IB↑ → IC ↑ →VC(t)=VCC-RCi. C(t) ↓ • VB(t) <VB→IB↓ → IC↓ →VC(t)=VCC-RCi. C(t) ↑ • VOut(t) ngược pha với VIn(t). là độ khuếch đại hay độ lợi điện thế của mạch

 • Chìa khóa để phân giải và xác định các thông số của

• Chìa khóa để phân giải và xác định các thông số của mạch là mạch tương đương xoay chiều. • Độ lợi điện thế: • Độ lợi dòng điện: • Tổng trở vào: • Tổng trở ra:

Dạng mạch tương đương

Dạng mạch tương đương

Mạch cực Emitter và Collector chung kiểu mẫu re thông số h Dạng đơn

Mạch cực Emitter và Collector chung kiểu mẫu re thông số h Dạng đơn giản Dạng đầy đủ

Mạch cực nền chung kiểu mẫu re thông số h Dạng đơn giản Dạng

Mạch cực nền chung kiểu mẫu re thông số h Dạng đơn giản Dạng đầy đủ

Các liên hệ cần chú ý: Ngoài ra: ; Do đó nguồn phụ thuộc

Các liên hệ cần chú ý: Ngoài ra: ; Do đó nguồn phụ thuộc βib có thể thay thế bằng nguồn gm. vbe

8. Mạch khuếch đại cực phát (E) chung

8. Mạch khuếch đại cực phát (E) chung

Trị số β do nhà sản xuất cho biết Trị số re được tính

Trị số β do nhà sản xuất cho biết Trị số re được tính từ mạch phân cực: Từ mạch tương đương ta tìm được các thông số của mạch.

 • Ðộ lợi điện thế: Ta có: Suy ra: Do nên Nếu thì

• Ðộ lợi điện thế: Ta có: Suy ra: Do nên Nếu thì Dấu - cho thấy vo và vi ngược pha

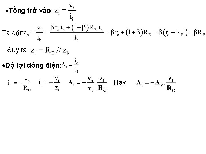
 Tổng trở vào: Ta đặt: Suy ra: Ðộ lợi dòng điện: Hay

Tổng trở vào: Ta đặt: Suy ra: Ðộ lợi dòng điện: Hay

 Tổng trở ra: Ðể tính tổng trở ra của mạch, đầu tiên ta

Tổng trở ra: Ðể tính tổng trở ra của mạch, đầu tiên ta nối tắt ngõ vào (vi=0); áp một nguồn giả tưởng có trị số vo vào phía ngõ ra như trên, xong lập tỉ số Khi vi=0 ⇒ ib = 0 ⇒ βib=0 (tương đương mạch hở) nên

Trong trường hợp nối thêm CE hoặc nối chân E xuống mass Mạch tương

Trong trường hợp nối thêm CE hoặc nối chân E xuống mass Mạch tương đương

Phân giải mạch ta sẽ tìm được:

Phân giải mạch ta sẽ tìm được:

Mạch khuếch đại cực phát chung với kiểu phân cực bằng cầu chia điện

Mạch khuếch đại cực phát chung với kiểu phân cực bằng cầu chia điện thế và ổn định cực phát

Trong trường hợp nối thêm CE hoặc nối chân E xuống mass Mạch tương

Trong trường hợp nối thêm CE hoặc nối chân E xuống mass Mạch tương đương

Mạch khuếch đại cực phát chung phân cực bằng hồi tiếp điện thế và

Mạch khuếch đại cực phát chung phân cực bằng hồi tiếp điện thế và ổn định cực phát

9. Phân giải theo thông số h đơn giản

9. Phân giải theo thông số h đơn giản

liên hệ 2 mạch tương đương

liên hệ 2 mạch tương đương

Mạch khuếch đại cực phát chung Mạch tương đương

Mạch khuếch đại cực phát chung Mạch tương đương

Phân giải mạch tương đương ta tìm được Tổng trở vào Zi=R 1//R 2//Zb

Phân giải mạch tương đương ta tìm được Tổng trở vào Zi=R 1//R 2//Zb với: Zb=hie+(1+hfe)RE=hie+hfe. RE Ðộ lợi điện thế: Ta có: Thường

 Tổng trở ra: Zo=RC Ðộ lợi dòng điện: Hay

Tổng trở ra: Zo=RC Ðộ lợi dòng điện: Hay

10. MỘT SỐ ỨNG DỤNG KHUẾCH ĐẠI CỦA BJT

10. MỘT SỐ ỨNG DỤNG KHUẾCH ĐẠI CỦA BJT

mạch khuếch đại micro dùng cho máy tăng âm

mạch khuếch đại micro dùng cho máy tăng âm

Mạch tạo dao động sóng hình sin

Mạch tạo dao động sóng hình sin

Mạch đa hài tự dao động dùng tranzito lưỡng cực

Mạch đa hài tự dao động dùng tranzito lưỡng cực

Hình dạng thực của Transistor BJT

Hình dạng thực của Transistor BJT

  • Slides: 94
Download presentation

Từ khóa » đặc Tuyến Bjt