Cho Phương Trình X^2-3x-7=0 Có 2 Nghiệm X1,x2.Không Giải Phương ...
Có thể bạn quan tâm
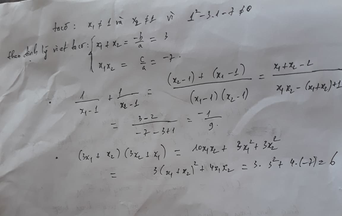
cho phương trình x^2-3x-7=0 có 2 nghiệm x1,x2.Không giải phương trình hảy tính
1x1-1+1x2-1
(3x1+x2)(3x2+x1)
Trả Lời (+5 điểm) Hỏi câu khác Hỏi chi tiết ...Xem thêmQuảng cáo
2 câu trả lời 2415
V Vương Giang 4 năm trướcTheo vi-et
x1+x2= 3
x1.x2=-71/(x1-1)+1/(x2-1)=x1+x2-2/(x1x2-x1-x2+1)=1/-9
ý sau tương tự
0 bình luận Đăng nhập để hỏi chi tiếtGiải:

Quảng cáo
Bạn muốn hỏi bài tập?
Đặt câu hỏiCâu hỏi hot cùng chủ đề
-
Cho nửa đường tròn tâm O đường kính AB, C là một điểm nằm giữa O và A. Đường thẳng vuông góc với AB tại C cắt nửa đường tròn trên tại I, K là một điểm nằm bất kì trên đoạn thẳng CI (K khác C và I) tia AK cắt nửa đường tròn O tại M tia BM cắt tia CI tại D.
Chứng minh :
a) Các tứ giác ACMD, BCKM nội tiếp đường tròn
b) CK.CD=CA.CB
c) Gọi N là giao điểm của AD và đường tròn O chứng minh B, K, N thẳng hàng
d) Tâm đường tròn ngoại tiếp tam giác AKD nằm trên một đường thẳng cố định khi K di động trên đoạn thẳng CI
Trả lời (34) Xem đáp án » 103349 - Hỏi từ APP VIETJACK Hai người cùng làm chung một công việc trong 12/5 giờ thì xong nếu mỗi người làm một mình thì thời gian người thứ nhất hoàn thành công việc ít hơn người thứ hai là 2 giờ hỏi nếu làm một mình thì mỗi người phải làm trong bao nhiêu thời gian để trong công việc ? Trả lời (11) Xem đáp án » 68744
-
Cho đường trong (O, R) và đường thẳng d không qua O cắt đường tròn tại hai điểm A, B. Lấy một điểm M trên tia đối của tia BA kẻ hai tiếp tuyến MC, MD với đường tròn (C, D là các tiếp điểm). Gọi H là trung điểm của AB.
1) Chứng minh rằng các điểm M, D, O, H cùng nằm trên một đường tròn.
2) Đoạn OM cắt đường tròn tại I. Chứng minh rằng I là tâm đường tròn nội tiếp tam giác MCD.
3) Đường thẳng qua O, vuông góc với OM cắt các tia MC, MD thứ tự tại P và Q. Tìm vị trí của điểm M trên d sao cho diện tích tam giác MPQ bé nhất.
Trả lời (6) Xem đáp án » 56565 -
Theo kế hoạch hai tổ được giao sản xuất 600 sản phẩm trong một thời gian đã định. Do cải tiến kĩ thuật nên tổ I đã sản xuất vượt mức kế hoạch 18% và tổ II sản xuất vượt mức kế hoạch 21%. Vì vậy trong cùng thời gian quy định hai tổ đã hoàn thành vượt mức 120 sản phẩm. Tính số sản phẩm được giao của mỗi tổ theo kế hoạch.
Trả lời (7) Xem đáp án » 47490 - Hỏi từ APP VIETJACK Cho biểu thức P = (1/(x - sqrt(x)) + 1/(sqrt(x) - 1)); (sqrt(x) + 1)/((sqrt(x) - 1) ^ 2) a) Rút gọn biểu thức P. (với 0 <x ne1)b) Tìm giá trị lớn nhất của biểu thức Q = P - 9sqrt(x) + 2021 Trả lời (4) Xem đáp án » 45436
-
Hưởng ứng phong trào trồng cây xanh vì môi trường xanh sạch đẹp; một chi đoàn dự định trồng được 600 cây xanh trong một thời gian quy định. Do mỗi ngày họ trồng được nhiều hơn dự định là 30 cây nên công việc được hoàn thành sớm hơn quy định 1 ngày. Tính số ngày mà chi đoàn dự kiến hoàn thành công việc.
Trả lời (3) Xem đáp án » 44183 -
Cho tam giác nhọn ABC nội tiếp đường tròn (O). Các đường cao AD, BE, CF cắt nhau tại H.
1, Chứng minh tứ giác BDHF là tứ giác nội tiếp
2, Chứng minh tứ giác BFEC là tứ giác nội tiếp
3, Tìm thêm các tứ giác nội tiếp
4, Chứng minh FC là phân giác của góc DFE
5, Chứng minh H là tâm đường tròn nội tiếp Δ DEF
6, Lấy K đối xứng với H qua BC. Chứng minh K thuộc đường tròn tâm O
7, Chứng minh OA vuông góc với FE
8, Gọi Ià trung điểm của BC. Chứng minh AH = 2OI
Từ khóa » Gọi X1 X2 Là 2 Nghiệm Của Phương Trình X^2-3x-7=0
-
Gọi X1, X2 Là Hai Nghiệm Của Phương Trình: X^2 - 3x - Lazi
-
Gọi X1; X2 Là Các Nghiệm Của Phương Trình: X^2 - 3x - 7 = 0 - Lazi
-
Gọi X1 X2 Là Nghiệm Của Phương Trình X2-3x-7=0. Không ... - Hoc24
-
Gọi X1 X2 Là Hai Nghiệm Của Phương Trình X2 – 3x – 7 0 Không Giải ...
-
A) Tính Giá Trị Biểu Thức (3x1+x2)(3x2+x1)
-
Cho Pt X^2 3X-7=0(1) Gọi X1;X2 Là 2 Nghiệm Phân Biệt Của Phương ...
-
Cho Pt: X^2 +2(m-1)x-6m-7=0.(1)a) Chứng Minh Rằng Với Mọi Giá Trị ...
-
5x + 2 = 0. Không Giải Phương Trình, Tính Giá Trị Của Biểu Thức...
-
Gọi X1 X2 Là 2 Nghiệm Của Phương Trình X^2-3x+7=0không Giải ...
-
A) Gọi X1;x2 Là Hai Nghiệm Của Phương Trình X^2 - 2( M - 1 )x - 2m
-
Gọi X1; X2 Là Nghiệm Của Phương Trình X^2 - 5x + 2 = 0. Không Giải ...
-
Bài 1 Trang 57 Dạy Và Học Toán 9 Tập 2: Gọi X1, X2 Là Các Nghiệm ...
-
Không Giải Phương Trình, Tính Tổng Hai Nghiệm (nếu Có) Của Phương