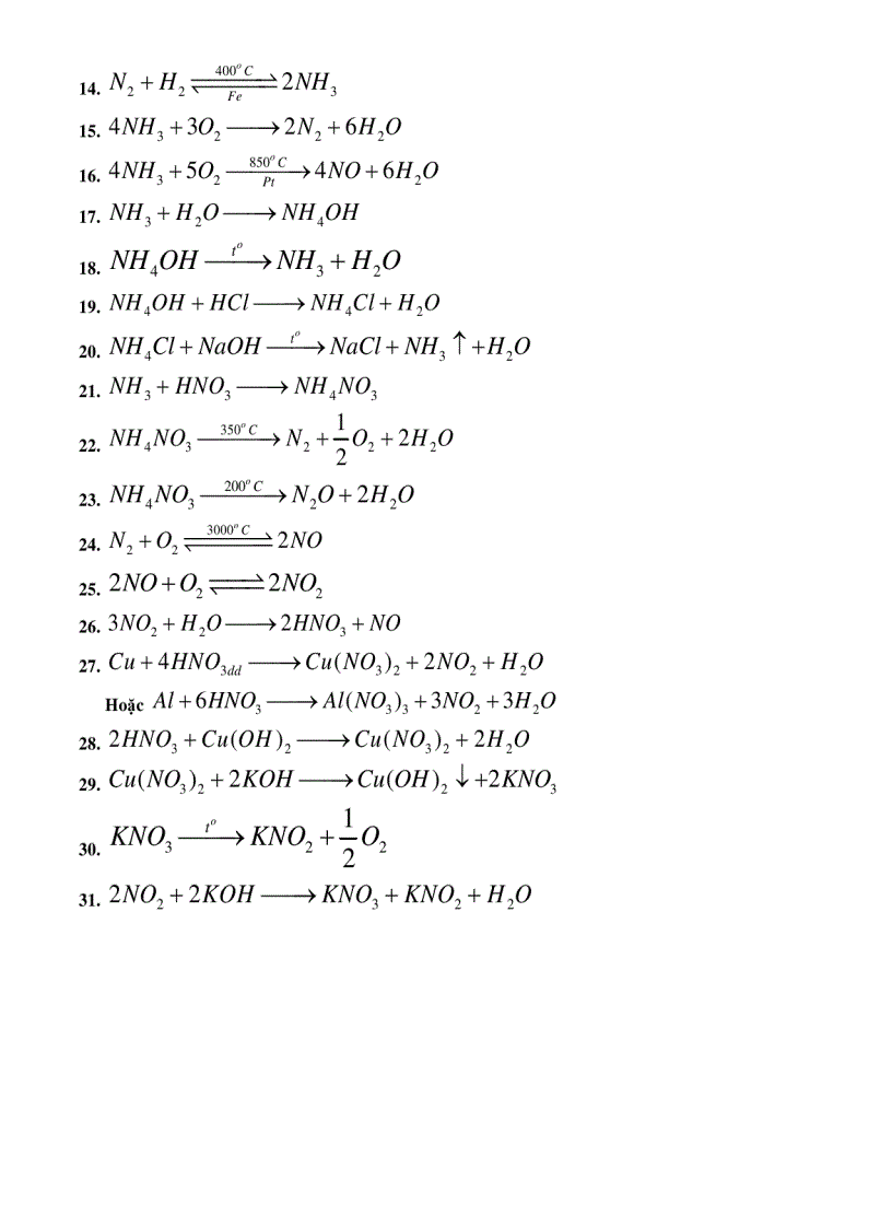
Chuỗi Phản ứng Nito Và Phot Pho
Có thể bạn quan tâm
- [email protected]
- 0983569295 (zalo, sms, call)
- Yêu thích
- Đăng ký
- Đăng nhập
- Trang chủ
- Tài liệu phổ thông
- Hóa Học
- Hóa học Lớp 12
Mã tài liệu: 392351 Định dạng: chưa biết Số trang: 02 Dung lượng: Chưa biết Loại: Đồng Lượt xem: 4,551 Lượt tải: 42 Tài liệu "Chuỗi phản ứng Nito và Phot pho" có mã là 392351, file định dạng pdf, có 2 trang Tài liệu thuộc chuyên mục: Tài liệu phổ thông > Hóa Học > Hóa học Lớp 12. Tài liệu thuộc loại Đồng
DOWNLOAD - TẢI TÀI LIỆU NÀY loading ... DOWNLOAD - TẢI TÀI LIỆU NÀY
Xem qua 1 số trang của tài liệu
Mã tài liệu 392351
Bạn cuộn xuống phía dưới để thấy nút tải tài liệu
Loading ...
Xem thêm tài liệu gần giốngCác chức năng trên hệ thống được hướng dẫn đầy đủ và chi tiết nhất qua các video. Bạn click vào nút bên dưới để xem.
Click xem hướng dẫn người dùngCó thể tài liệu Chuỗi phản ứng Nito và Phot pho sử dụng nhiều loại font chữ mà máy tính bạn chưa có. Bạn click vào nút bên dưới để tải chương trình cài đặt bộ font chữ đầy đủ nhất cho bạn.
Tải bộ fonts chữ đầy đủHướng dẫn tải và cài bộ font chữ
Bạn click vào nút bên dưới để tải chứa bộ cài font chữ đầy đủ về máy tính.
Thực hiện giải nén file zip: nhấn chuột phải vào file MagicFonts.zip -> Chọn Extract Here
Click vào file Setup.exe để tài đặt, quá trình cài đặt mất tầm 1 đến 2 phút. Nếu máy tính của bạn chưa cài đặt .Net Framework 4.5.1 thì chương trình sẽ tự động cài.
Quá trình cài đặt chương trình có thể hỏi bạn cho phép cài đặt, bạn nhấn nút ok hoặc accept để chương trình cài đặt đủ bộ font cho bạn
Sau khi cài đặt xong, nếu tài liệu Chuỗi phản ứng Nito và Phot pho bạn đang mở vẫn lỗi font, bạn vui lòng tắt đi và mở lại
Bạn có thể xem video hướng dẫn bên dưới
Đóng TẢI NGAY BỘ CÀI FONT CHỮNếu phần nội dung, hình ảnh ,... trong tài liệu Chuỗi phản ứng Nito và Phot pho có liên quan đến vi phạm bản quyền, bạn vui lòng click bên dưới báo cho chúng tôi biết.
Báo vi phạm nội dungĐăng nhập hệ thống để báo vi phạm
Bạn đăng nhập hệ thống để có thể thực hiện báo vi phạm nội dung!
Đóng Đến trang đăng nhậpGợi ý liên quan "Chuỗi phản ứng Nito và Phot pho"
Click xem thêm tài liệu gần giốngTài liệu vừa xem
Chuỗi phản ứng Nito và Phot pho
Mã: 392351 Dạng:chưa biết Page: 02 Size:Chưa biết Tải: 42 Xem:4,551 XemChuỗi phản ứng Nito
Chuỗi phản ứng Nito và
Chuỗi phản
Chuỗi phản ứng Nito và Phot
Chuỗi phản ứng
Từ khóa » Chuỗi Phản ứng Hóa Học Lớp 11 Nito
-
Chuỗi Phản ứng Hóa Học Lớp 11 Chương Nitơ - Photpho
-
Chuỗi Phản ứng Hóa Học Lớp 11 Chương Nitơ
-
Bài Tập Chuỗi Phản Ứng - Nito Và Photpho Pot - 123doc
-
Chuyên Đề Các Phương Trình Hóa Học Lớp 11 Chương Nitơ
-
Hướng Dẫn Viết Chuỗi Phản Ứng Nitơ Photpho (Hóa Lớp 11)
-
Phương Trình Hóa Học Chương Nitơ Photpho, Bài ...
-
Chuỗi Phản Ứng Hóa Học Lớp 11 Chương Nitơ –
-
Hướng Dẫn Viết Chuỗi Phản Ứng Nitơ Photpho (Hóa Lớp 11)
-
6 Dạng Bài Tập Chương 2 Nhóm Nito - Photpho Hóa Học 11 - Hoc247
-
Phương Trình Hóa Học Chương Nitơ Photpho, Bài ... - ThiênBảo Edu
-
Chuỗi Phương Trình Hóa Học Về Nito
-
Bài Tập Chuỗi Phản ứng Nito | PDF - Scribd
-
Các Phương Trình Hóa Học Chương Nitơ Photpho