Chuyên đề Hệ Thức Vi-ét Và ứng Dụng - Toán THCS

Tài liệu gồm 57 trang, được biên soạn bởi tác giả Toán Học Sơ Đồ, tổng hợp kiến thức trọng tâm, phân dạng và hướng dẫn giải các dạng bài tập tự luận & trắc nghiệm chuyên đề hệ thức Vi-ét và ứng dụng, hỗ trợ học sinh trong quá trình học tập chương trình Đại số 9 chương 4 bài số 6.

A. TRỌNG TÂM CẦN ĐẠT I. TÓM TẮT LÝ THUYẾT 1. Hệ thức Vi-ét. 2. Ứng dụng của hệ thức Vi-ét. II. BÀI TẬP VÀ CÁC DẠNG TOÁN Dạng 1. Không giải phương trình, tính giá trị của biểu thức đối xứng giữa các nghiệm. Dạng 2. Giải phương trình bằng cách nhẩm nghiệm. Dạng 3. Tìm hai số khi biết tổng và tích. Dạng 4. Phân tích tam thức bậc hai thành nhân tử. Dạng 5. Xét dấu các nghiệm của phương trình bậc hai. Dạng 6. Xác định điều kiện của tham số để phương trình bậc hai có nghiệm thỏa mãn hệ thức cho trước. III. BÀI TẬP VỂ NHÀ B. NÂNG CAO PHÁT TRIỂN TƯ DUY C. TRẮC NGHIỆM RÈN LUYỆN PHẢN XẠ D. PHIẾU BÀI TẬP TỰ LUYỆN Dạng 1: Nhẩm nghiệm của phương trình bậc hai. Dạng 2: Lập phương trình bậc hai có hai nghiệm cho trước. Dạng 3: Tính giá trị biểu thức theo hai nghiệm. Dạng 4: Tìm m để phương trình có hai nghiệm thỏa mãn điều kiện cho trước.

Tải tài liệu
  • Tài Liệu Toán 9
Ghi chú: Quý thầy, cô giáo và bạn đọc có thể chia sẻ tài liệu trên TOANMATH.com bằng cách gửi về: Facebook: TOÁN MATH Email: [email protected]

TÀI LIỆU LIÊN QUAN

Tài Liệu Toán 9

Tự luận và trắc nghiệm đường tròn Toán 9 Cánh Diều

23/09/2025 Tài Liệu Toán 9
Tài Liệu Toán 9

Tự luận và trắc nghiệm hệ thức lượng trong tam giác vuông Toán 9 Cánh Diều

23/09/2025 Tài Liệu Toán 9
Tài Liệu Toán 9

Tự luận và trắc nghiệm căn thức Toán 9 Cánh Diều

22/09/2025 Tài Liệu Toán 9
Tài Liệu Toán 9

Tự luận và trắc nghiệm bất đẳng thức, bất phương trình bậc nhất một ẩn Toán 9 Cánh Diều

22/09/2025 Tài Liệu Toán 9
Tài Liệu Toán 9

Tự luận và trắc nghiệm phương trình và hệ phương trình bậc nhất Toán 9 Cánh Diều

22/09/2025 Tài Liệu Toán 9
Tài Liệu Toán 9

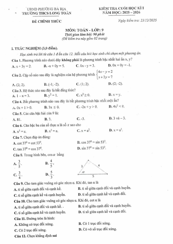
Tài liệu học tập môn Toán 9 học kì 1 năm học 2025 – 2026

11/09/2025 Tài Liệu Toán 9
Tài Liệu Toán 9

Phiếu bài tập Toán 9 chương hình học trực quan

14/08/2025 Tài Liệu Toán 9
Tài Liệu Toán 9

Phiếu bài tập Toán 9 chương đa giác đều

14/08/2025 Tài Liệu Toán 9
Tài Liệu Toán 9

Phiếu bài tập Toán 9 chương đường tròn ngoại tiếp và đường tròn nội tiếp

14/08/2025 Tài Liệu Toán 9
Tài Liệu Toán 9

Phiếu bài tập Toán 9 chương hàm số y = ax2 (a ≠ 0), phương trình bậc hai một ẩn

14/08/2025 Tài Liệu Toán 9

TÌM KIẾM THEO TỪ KHÓA

Tìm kiếm cho:

TÀI LIỆU MỚI NHẤT

  • Ôn tập giữa học kì 2 Toán 8 năm 2025 – 2026 trường THCS Chu Văn An – Hà Nội 04/03/2026
  • Đề chọn học sinh giỏi Toán 9 năm 2025 – 2026 trường THCS Ký Phú – Thái Nguyên 04/03/2026
  • Ôn tập giữa kì 2 Toán 8 năm 2025 – 2026 trường THCS Trưng Vương – Đà Nẵng 04/03/2026
  • Ôn tập giữa kì 2 Toán 9 năm 2025 – 2026 trường THCS Phan Bội Châu – Đà Nẵng 04/03/2026
  • Đề chọn học sinh giỏi Toán THCS năm 2025 – 2026 sở GD&ĐT Cần Thơ 04/03/2026
  • Đề cương giữa kì 2 Toán 6 năm 2025 – 2026 trường THCS Thanh An – Quảng Trị 04/03/2026

Copyright © 2026 | THCS.TOANMATH.com

Từ khóa » Hệ Thức Vi ét Nâng Cao