Đáp án đề Thi Tuyển Sinh Lớp 10 Môn Toán Đà Nẵng Năm 2022
Có thể bạn quan tâm
-
-
-
Mầm non
-
Lớp 1
-
Lớp 2
-
Lớp 3
-
Lớp 4
-
Lớp 5
-
Lớp 6
-
Lớp 7
-
Lớp 8
-
Lớp 9
-
Lớp 10
-
Lớp 11
-
Lớp 12
-
Thi vào lớp 6
-
Thi vào lớp 10
-
Thi Tốt Nghiệp THPT
-
Đánh Giá Năng Lực
-
Khóa Học Trực Tuyến
-
Hỏi bài
-
Trắc nghiệm Online
-
Tiếng Anh
-
Thư viện Học liệu
-
Bài tập Cuối tuần
-
Bài tập Hàng ngày
-
Thư viện Đề thi
-
Giáo án - Bài giảng
-
Tất cả danh mục
-
- Mầm non
- Lớp 1
- Lớp 2
- Lớp 3
- Lớp 4
- Lớp 5
- Lớp 6
- Lớp 7
- Lớp 8
- Lớp 9
- Lớp 10
- Lớp 11
- Lớp 12
- Thi Chuyển Cấp
-
- Hôm nay +3
- Ngày 2 +3
- Ngày 3 +3
- Ngày 4 +3
- Ngày 5 +3
- Ngày 6 +3
- Ngày 7 +5
Nâng cấp gói Pro để trải nghiệm website VnDoc.com KHÔNG quảng cáo, và tải file cực nhanh không chờ đợi.
Tìm hiểu thêm » Mua ngay Từ 79.000đ Hỗ trợ ZaloĐề thi vào lớp 10 Toán Đà Nẵng năm 2024
- 1. Đề thi vào 10 môn Toán Đà Nẵng 2024
- 2. Đáp án đề thi vào 10 môn Toán Đà Nẵng 2024
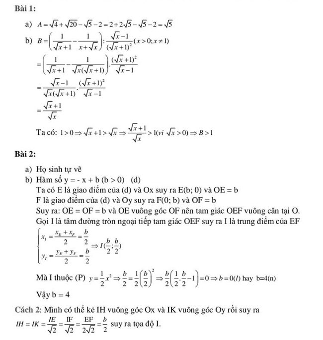
- 3. Đáp án đề thi vào 10 môn Toán Đà Nẵng 2023
- 4. Đề thi vào 10 môn Toán Đà Nẵng 2023
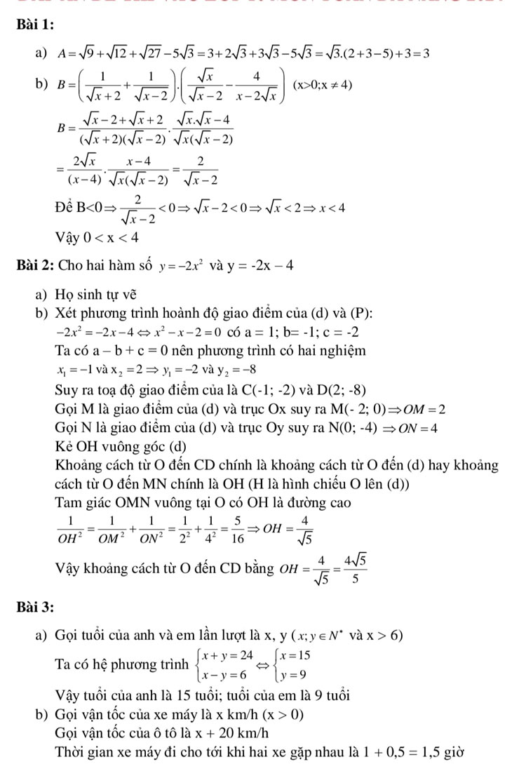
- 5. Đáp án đề thi vào 10 môn Toán Đà Nẵng 2022
- 6. Đề thi tuyển sinh lớp 10 môn Toán Đà Nẵng 2022
Sáng 3/6, các thí sinh TP Đà Nẵng tiếp tục làm bài thi môn Toán kỳ thi tuyển sinh vào lớp 10 năm 2024. VnDoc sẽ gửi tới các bạn Đề thi tuyển sinh lớp 10 môn Toán Đà Nẵng kèm đáp án tham khảo sau khi hết thời gian làm bài. Mời các bạn theo dõi.
1. Đề thi vào 10 môn Toán Đà Nẵng 2024

2. Đáp án đề thi vào 10 môn Toán Đà Nẵng 2024




| Lịch thi vào lớp 10 Đà Nẵng năm 2024 - 2025:
|
3. Đáp án đề thi vào 10 môn Toán Đà Nẵng 2023




4. Đề thi vào 10 môn Toán Đà Nẵng 2023

5. Đáp án đề thi vào 10 môn Toán Đà Nẵng 2022

6. Đề thi tuyển sinh lớp 10 môn Toán Đà Nẵng 2022

- Chia sẻ bởi:
Chuột Chít
Có thể bạn quan tâm
Xác thực tài khoản!Theo Nghị định 147/2024/ND-CP, bạn cần xác thực tài khoản trước khi sử dụng tính năng này. Chúng tôi sẽ gửi mã xác thực qua SMS hoặc Zalo tới số điện thoại mà bạn nhập dưới đây:
Số điện thoại chưa đúng định dạng! Xác thực ngay Số điện thoại này đã được xác thực! Bạn có thể dùng Sđt này đăng nhập tại đây! Lỗi gửi SMS, liên hệ Admin Sắp xếp theo Mặc định Mới nhất Cũ nhấtTham khảo thêm
-
Đáp án đề thi tuyển sinh lớp 10 môn Văn Đà Nẵng 2025
-
Tìm m để phương trình sau có nghiệm
-
Đáp án đề thi tuyển sinh lớp 10 môn Anh Hải Dương năm 2025
-
Bất đẳng thức Bunhiacopxki
-
Diện tích mặt cầu và thể tích của hình cầu
-
Đáp án đề thi tuyển sinh lớp 10 môn Toán Hải Dương 2025
-
Đáp án đề thi tuyển sinh lớp 10 môn Văn Hải Dương 2025
-
Bộ 20 đề tham khảo Toán 9 tuyển sinh 10 TP HCM 2026-2027, có đáp án
-
Đáp án đề thi tuyển sinh lớp 10 môn Anh Sóc Trăng năm 2025
-
Đáp án đề thi tuyển sinh lớp 10 môn Anh Ninh Thuận năm 2025
-
Thi vào lớp 10 -
Đề thi vào 10 môn Toán
Đề thi vào 10 môn Toán
-
Các dạng Toán Vi ét thi vào lớp 10
-
Chuyên đề Toán 9: Góc nội tiếp
-
Bất đẳng thức Bunhiacopxki
-
Bộ 20 đề tham khảo Toán 9 tuyển sinh 10 TP HCM 2026-2027, có đáp án
-
Tìm m để phương trình sau có nghiệm
-
Diện tích mặt cầu và thể tích của hình cầu
Gợi ý cho bạn
-
Tổng hợp cấu trúc và từ vựng tiếng Anh lớp 3 Global Success
-
Đề thi thử vào lớp 10 môn Toán thành phố Hà Nội năm học 2015-2016
-
Tài liệu ôn thi vào lớp 10 môn Toán
-
Bộ đề thi vào lớp 10 môn Toán
-
Tổng hợp từ vựng tiếng Anh lớp 9 chương trình mới
-
Tổng hợp đề thi vào lớp 10 được tải nhiều nhất
-
Bộ đề kiểm tra cuối tuần Tiếng Việt lớp 4 Kết nối tri thức Tuần 20
-
Các bài toán Hình học ôn thi vào lớp 10
-
Các dạng Toán cơ bản lớp 9 ôn thi vào lớp 10
-
Bài tập cuối tuần Tiếng Việt lớp 4 Kết nối tri thức Tuần 20 Nâng cao
Từ khóa » đề Thi Tuyển Sinh Lớp 10 Môn Toán đà Nẵng
-
Đáp án đầy đủ đề Thi Vào Lớp 10 Môn Toán TP.Đà Nẵng 2022
-
Đáp án đề Thi Tuyển Sinh Lớp 10 Môn Toán Đà Nẵng 2022
-
Đề Toán Vào Lớp 10 ở Đà Nẵng Khá Dễ, Thí Sinh Lo điểm đầu Vào Cao
-
Đề Thi Tuyển Sinh Vào Lớp 10 Môn Toán Đà Nẵng Có đáp án Các Năm
-
Bộ đề Thi Vào Lớp 10 Môn Toán Tỉnh Đà Nẵng
-
Đề Tuyển Sinh Lớp 10 Môn Toán Năm 2021 - 2022 Sở GD&ĐT Đà Nẵng
-
Top 15 Đề Thi Tuyển Sinh Lớp 10 Môn Toán Đà Nẵng
-
Đáp án đề Thi Tuyển Sinh Lớp 10 Môn Toán Đà Nẵng 2022
-
Đáp án đề Thi Môn Toán Tuyển Sinh Lớp 10 Đà Nẵng Năm 2022
-
Đề Thi Vào 10 Môn Toán Năm 2022 - 2023 Đà Nẵng
-
Đà Nẵng Có 8 Thí Sinh đạt điểm 10 Môn Toán Kỳ Thi Tuyển Sinh Vào ...
-
Đề Toán 24 – Đà Nẵng |Giải Đề Thi Tuyển Sinh Vào 10 Môn Toán ...
-
Đáp án đề Thi Môn Toán Vào Lớp 10 Đà Nẵng 2022 - Tuyensinh247
