Đặt điện áp Xoay Chiều U=200 Căn 2 Cos(100pi T) V Vào Hai đầu ...
Có thể bạn quan tâm
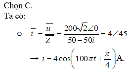
Đặt điện áp xoay chiều u=2002cos100πt V vào hai đầu đoạn mạch gồm tụ điện có dung kháng ZC=50Ω mắc nối tiếp với điện trở thuần R=50Ω. Cường độ dòng điện trong mạch có biểu thức
A. i=22cos100πt-π4 A.
B. i=22cos100πt+π4 A.
C. i=4cos100πt+π4 A.
D. i=4cos100πt-π2 A.
Trả Lời Hỏi câu khác Lưu câu hỏi Lưu Hỏi chi tiết ...Xem thêmQuảng cáo
1 câu trả lời 2082
T Tú 4 năm trước
Quảng cáo
Bạn hỏi - Chuyên gia trả lời
Bạn cần hỏi gì?
Gửi câu hỏiCâu hỏi hot cùng chủ đề
-
Đã trả lời bởi chuyên gia Một mạch dao động LC lí tưởng đang có dao động điện từ tự do. Biết điện tích cực đại của một bản tụ điện có độ lớn là 10-8 C và cường độ dòng điện cực đại qua cuộn cảm thuần là 62,8 mA. Tính tần số dao động điện từ tự do của mạch.
Từ khóa » điện áp Xoay Chiều U = 200 Căn 2 Cos 100pt
-
Đặt Một điện áp Xoay Chiều U = 200 Căn 2cos100 Pi T (V) - Khóa Học
-
Đặt điện áp Xoay Chiều U = 200. Căn 2. Cos (100 Pi T) V Vào Hai đầu ...
-
Đặt điện áp Xoay Chiều U = 200 Căn 2 .cos ( 100pi T )( V ) Vào Hai đầu ...
-
Đặt điện áp Xoay Chiều U = 200 Căn 2 Cos 100pi T(V) Vào Hai đầu ...
-
Đặt điện áp Xoay Chiều U=200.căn Bậc Hai s(100pi.t) (V) Vào Hai ...
-
Đặt điện áp Xoay Chiều U=200 Căn 2cos 100pi T V Vào Hai đầu Một ...
-
Đặt điện áp Xoay Chiều U= 200 Căn 2 Cos 100pi T V Vào Hai đầu...
-
Đặt điện áp Xoay Chiều $u = 200\sqrt 2 \cos (100\pi T)$vào Hai đầu ...
-
Đặt điện áp U = 200 Căn 2 Cos 100pt
-
Đặt điện áp Xoay Chiều (u = 200căn 2 .cos ( (100pi T) ) , ,( V )
-
Đặt điện áp Có U = 200 Căn 2 Cos 100 Pi.t V Vào Hai đầu Một đoạn ...
-
Đặt Một điện áp Xoay Chiều U = 200 - CungHocVui
-
Đặt điện áp U = 200 Căn 2 Cos(100pit) V Vào đoạn Mạch Mắc Nối Tiếp...