Dùng Hằng đẳng Thức để Thu Gọn Biểu Thức
Có thể bạn quan tâm


Tìm kiếm với hình ảnh
Vui lòng chỉ chọn một câu hỏi
Tìm đáp án
Đăng nhập- |
- Đăng ký


Hoidap247.com Nhanh chóng, chính xác
Hãy đăng nhập hoặc tạo tài khoản miễn phí!
Đăng nhậpĐăng ký

Lưu vào
+
Danh mục mới


- huyencam2711

- Chưa có nhóm
- Trả lời
1
- Điểm
-3
- Cảm ơn
0
- Toán Học
- Lớp 8
- 10 điểm
- huyencam2711 - 14:14:47 18/07/2021

- Hỏi chi tiết
Báo vi phạm
Hãy luôn nhớ cảm ơn và vote 5* nếu câu trả lời hữu ích nhé!
TRẢ LỜI


- phamhaidang52

- gọi e là bình minh vì qua đêm mới có được
- Trả lời
892
- Điểm
1850
- Cảm ơn
535
- phamhaidang52
- 18/07/2021

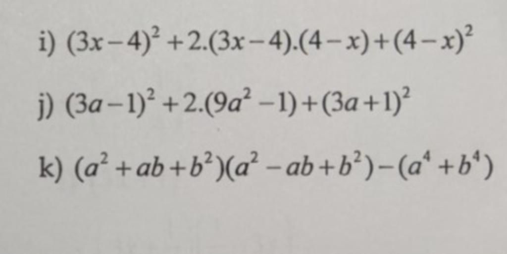
`i)(3x-4)^2+2(3x-4)(4-x)+(4-x)^2`
`=(3x-4+4-x)^2`
`=(2x)^2=4x^2`
`J(3a-1)^2+2(3a-1)(3a+1)+(3a+1)^2`
`=(3a+1+3a-1)^2`
`=(6a)^2`
`=36a^2`
`k)(a^2+ab+b^2)(a^2-ab+b^2)-(a^4+b^4)`
`=((a-b)(a^2+ab+b^2)(a+b)(a^2-ab+b^2))/((a+b)(a-b))-a^4-b^4`
`=((a^3+b^3)(a^3-b^3))/(a^2-b^2)-a^4-b^4`
`=(a^6-b^6)/(a^2-b^2)-a^4-b^4`
`=((a^2-b^2)(a^4+a^2b^2+b^4))/(a^2-b^2)-a^4-b^4`
`=a^4+a^2b^2+b^4-a^4-b^4`
`=a^2b^2`
Hãy giúp mọi người biết câu trả lời này thế nào?
starstarstarstarstarstarstarstarstarstarstarstarstarstarstarstarstarstarstarstarstarstarstarstarstarstarstarstarstarstar5starstarstarstarstar1 voteGửiHủy
Cảm ơn 1
Báo vi phạm


- huyencam2711

- Chưa có nhóm
- Trả lời
1
- Điểm
-3
- Cảm ơn
0
Bạn ơi câu i , 2(3x-4)(4-x) bạn tính ntn vậy
- huyencam2711


- phamhaidang52

- gọi e là bình minh vì qua đêm mới có được
- Trả lời
892
- Điểm
1850
- Cảm ơn
535
đề bài thây bạn
- phamhaidang52


- phamhaidang52

- gọi e là bình minh vì qua đêm mới có được
- Trả lời
892
- Điểm
1850
- Cảm ơn
535
chúng ta áp dụng hằng đẳng thức `(a+b)^2=a^2+2ab+b^2`
- phamhaidang52


- vodanh2k6

- Chưa có nhóm
- Trả lời
21
- Điểm
251
- Cảm ơn
15
- vodanh2k6
- 18/07/2021

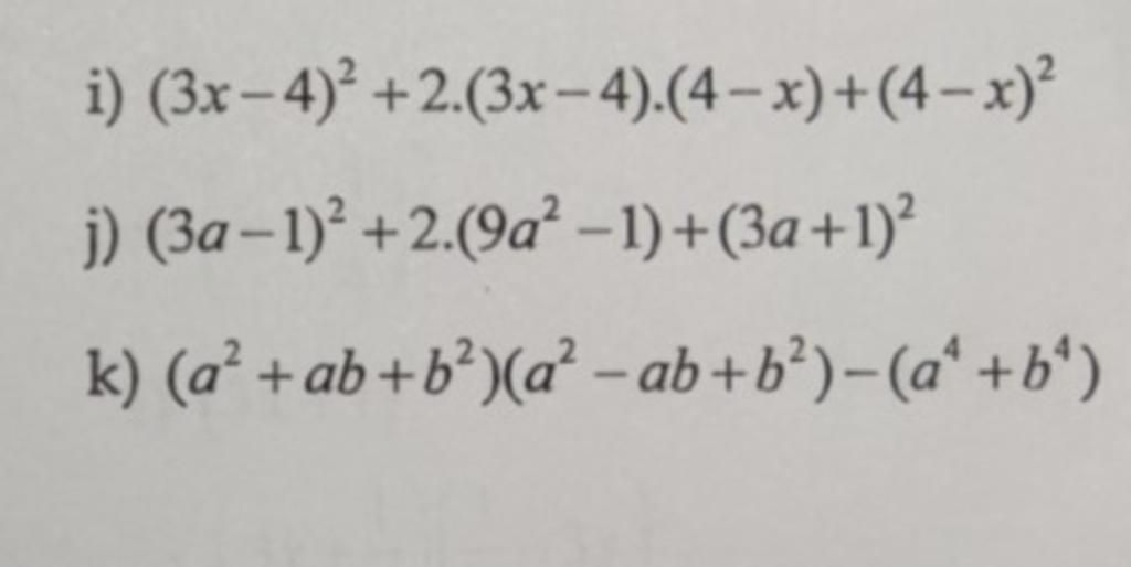
`(3x-4)^2+2(3x-4)(4-x)+(4-x)^2`
`=(3x-4+4-x)^2`
`=(2x)^2`
`=4x^2`
`(3a-1)^2+2(9a^2-1)+(3a+1)^2`
`=(3a-1+3a+1)^2`
`=(6a)^2`
`=36a^2`
`(a^2+ab+b^2)(a^2-ab+b^2)-(a^4+b^4)`
`=(a^2+b^2)^2-a^2b^2-(a^4+b^4)`
`=2a^2b^2+a^4+b^4-a^2b^2-(a^4+b^4)`
`=a^2b^2`
Hãy giúp mọi người biết câu trả lời này thế nào?
starstarstarstarstarstarstarstarstarstarstarstarstarstarstarstarstarstarstarstarstarstarstarstarstarstarstarstarstarstar5starstarstarstarstar1 voteGửiHủy
Cảm ơn 1
Báo vi phạm
Bạn muốn hỏi điều gì?
Tham Gia Group Dành Cho Lớp 8 Chia Sẻ, Trao Đổi Tài Liệu Miễn Phí

Bảng tin
Bạn muốn hỏi điều gì?
Lý do báo cáo vi phạm?
Gửi yêu cầu Hủy

Cơ quan chủ quản: Công ty Cổ phần Công nghệ Giáo dục Thành Phát
Tải ứng dụng


- Hướng dẫn sử dụng
- Điều khoản sử dụng
- Nội quy hoidap247
- Góp ý
Inbox: m.me/hoidap247online
Trụ sở: Tầng 7, Tòa Intracom, số 82 Dịch Vọng Hậu, Cầu Giấy, Hà Nội.
Từ khóa » Khai Triển Hằng đẳng Thức (3x+4)^2
-
Bài 3: Những Hằng đẳng Thức đáng Nhớ - Hoc24
-
Khai Triển ((( (3x - 4y) )^2) ) Ta được
-
Khai Triển (3x-2)^2 - Thi Trang - HOC247
-
Khai Triển (3x – 4y)^2 Ta được
-
1. Khai Triển Hằng đẳng Thức (3x − 4y)2, Ta được Kết Quả Là A. 9x2
-
Khai Triển Biểu Thức (3x – 4y)2 Ta được Kết Quả - Trắc Nghiệm Online
-
Khai Triển (3x – 4y)^2 Ta được... - Vietjack.online
-
1) Khai Triển Các Hằng đẳng Thức:a) (3x+4y)2 ; B) (x2 + 1)2 ; C) (3 - 2y)2
-
Dùng Hằng đẳng Thức để Khai Triển Hoặc Thu Gọn Các Biểu Thức Sau
-
Lựa Chọn đáp án đúng Nhất: Khai Triển (3x-1)^3 Theo Hằng đẳng Thức...
-
Hằng Đẳng Thức Đáng Nhớ - Kiến Thức Quan Trọng Cần Nhớ