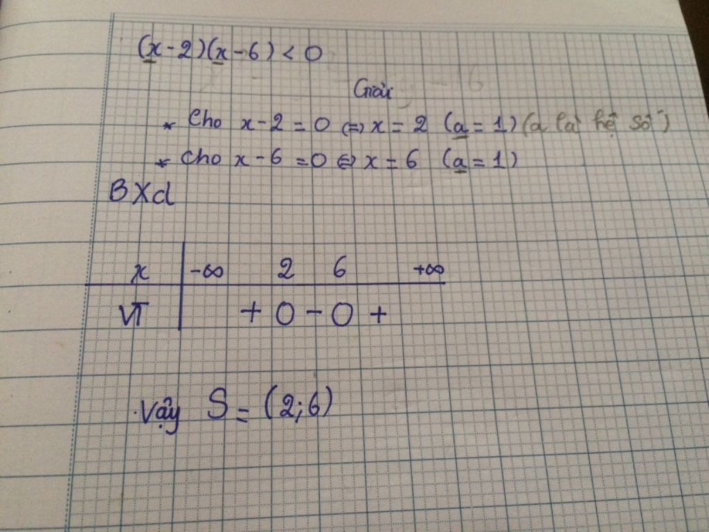
Giải Bất Phương Trình (x-2)(x-6) < 0 ( Giải Theo Cách Lập Bảng Xét Dấu )
Có thể bạn quan tâm


Tìm kiếm với hình ảnh
Vui lòng chỉ chọn một câu hỏi
Tìm đáp án
Đăng nhập- |
- Đăng ký


Hoidap247.com Nhanh chóng, chính xác
Hãy đăng nhập hoặc tạo tài khoản miễn phí!
Đăng nhậpĐăng ký

Lưu vào
+
Danh mục mới


- thao8ehd

- Chưa có nhóm
- Trả lời
334
- Điểm
4931
- Cảm ơn
277
- Toán Học
- Lớp 8
- 20 điểm
- thao8ehd - 07:39:35 08/03/2020
- Hỏi chi tiết
Báo vi phạm
Hãy luôn nhớ cảm ơn và vote 5* nếu câu trả lời hữu ích nhé!
TRẢ LỜI


- hoangkhang74

- Chưa có nhóm
- Trả lời
91
- Điểm
1287
- Cảm ơn
87
- hoangkhang74
- 08/03/2020

Đáp án:
Giải thích các bước giải:
Bn tham khảo nhé

Hãy giúp mọi người biết câu trả lời này thế nào?
starstarstarstarstarstarstarstarstarstarstarstarstarstarstarstarstarstarstarstarstarstarstarstarstarstarstarstarstarstarstarstarstarstarstarGửiHủy
Cảm ơn
Báo vi phạm


- quangcuong347

- Chưa có nhóm
- Trả lời
53468
- Điểm
3081
- Cảm ơn
52917
- quangcuong347
- 08/03/2020
Đây là một chuyên gia không còn hoạt độngBạn xem hình

Hãy giúp mọi người biết câu trả lời này thế nào?
starstarstarstarstarstarstarstarstarstarstarstarstarstarstarstarstarstarstarstarstarstarstarstarstarstarstarstarstarstarstarstarstarstarstarGửiHủy
Cảm ơn
Báo vi phạm


- hoangkhang74

- Chưa có nhóm
- Trả lời
91
- Điểm
1287
- Cảm ơn
87
Lm tắt quá
- hoangkhang74
Bạn muốn hỏi điều gì?
Tham Gia Group Dành Cho Lớp 8 Chia Sẻ, Trao Đổi Tài Liệu Miễn Phí

Bảng tin
Bạn muốn hỏi điều gì?
Lý do báo cáo vi phạm?
Gửi yêu cầu Hủy

Cơ quan chủ quản: Công ty Cổ phần Công nghệ Giáo dục Thành Phát
Tải ứng dụng


- Hướng dẫn sử dụng
- Điều khoản sử dụng
- Nội quy hoidap247
- Góp ý
Inbox: m.me/hoidap247online
Trụ sở: Tầng 7, Tòa Intracom, số 82 Dịch Vọng Hậu, Cầu Giấy, Hà Nội.
Từ khóa » Giải Bất Phương Trình X2-x-6 0
-
Giải Bất Phương Trình Sau X2 - X - 6 <= 0
-
Giải Bất Phương Trình: X² - X - 6 ≤ 0 - Toán Học Lớp 10 - Lazi
-
Giải Bất Phương Trình Sau. X^2 + X - 6 < 0 - Toán Học Lớp 10
-
Giải Bất Phương Trình Sau X2 - X - 6 ≤ 0
-
Tập Nghiệm Của Bất Phương Trình X^2 - X - 6 < 0 Là
-
Giải Bất Phương Trình Sau: \(x^2- X - 6 ≤ 0\) - Cam Ngan - Hoc247
-
Giải Bất Phương Trình Sau X2 - X - 6 ≤ 0 - Hoc24
-
6 0, Tập Nghiệm Của Bất Phương Trình ${X^2} –
-
Giải Bất Phương Trình Sau X2 - X - 6 ≤ 0
-
Bất Phương Trình (x^2 - X - 6) Căn X^2 - X - 2 Ge 0 Có Tập Nghiệm Là
-
Tìm Tập Nghiệm S Của Bất Phương Trình: X^2 + X - 6 Ge 0 - Tự Học 365
-
Giải Bất Phương Trình Sau X2 - X - 6 - Giáo Dục Tân Phú
-
1) Giải Bất Phương Trình:a) (x–1)(x–3)(x–2)>0b) (x+2)(x–5)(x–6) - Olm
-
Bất Phương Trình (x^2 - X - 6) Căn X^2 - X - 2 Ge 0 Có Tập Nghiệm Là