Hệ Số X5 Trong Khai Triển (2x+3)^8 Là Câu Hỏi 115126
Có thể bạn quan tâm


Tìm kiếm với hình ảnh
Vui lòng chỉ chọn một câu hỏi
Tìm đáp án
Đăng nhập- |
- Đăng ký


Hoidap247.com Nhanh chóng, chính xác
Hãy đăng nhập hoặc tạo tài khoản miễn phí!
Đăng nhậpĐăng ký

Lưu vào
+
Danh mục mới
- nguyenthimyduyen83512

- Chưa có nhóm
- Trả lời
0
- Điểm
45
- Cảm ơn
0
- Toán Học
- Lớp 11
- 10 điểm
- nguyenthimyduyen83512 - 10:03:02 26/11/2019
- Hỏi chi tiết
Báo vi phạm
Hãy luôn nhớ cảm ơn và vote 5* nếu câu trả lời hữu ích nhé!
TRẢ LỜI
- phunglediem

- Chưa có nhóm
- Trả lời
525
- Điểm
21778
- Cảm ơn
297
- phunglediem
- 30/12/2020
Đây là một chuyên gia không còn hoạt độngĐây là câu trả lời đã được xác thực
Câu trả lời được xác thực chứa thông tin chính xác và đáng tin cậy, được xác nhận hoặc trả lời bởi các chuyên gia, giáo viên hàng đầu của chúng tôi.
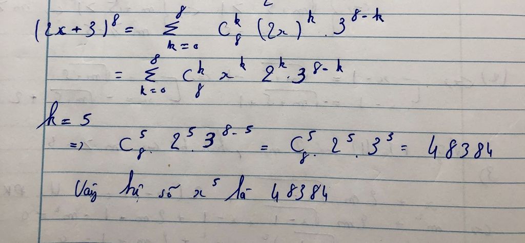
Đáp án:
$48384$
Giải thích các bước giải:
Ta có:
$(2x+3)^8=\displaystyle \sum_{k=0}^{8}C^{k}_{8}3^{8-k}(2x)^{k} =\displaystyle \sum_{k=0}^{8}C^{k}_{8}3^{8-k}2^kx^{k} $
Hệ số $x^5$ ứng với $k=5$ trong khai triển trên.
Vậy hệ số của $x^5$ trong khai triển trên là:
$C_{8}^{5}3^{8-5}2^5=48384$.
Hãy giúp mọi người biết câu trả lời này thế nào?
starstarstarstarstarstarstarstarstarstarstarstarstarstarstarstarstarstarstarstarstarstarstarstarstarstarstarstarstarstar5starstarstarstarstar2 voteGửiHủy
Cảm ơn 1


- huynhdohoangthinh1995

- Chưa có nhóm
- Trả lời
740
- Điểm
5660
- Cảm ơn
535
- huynhdohoangthinh1995
- 26/11/2019

Đây là câu trả lời đã được xác thực
Câu trả lời được xác thực chứa thông tin chính xác và đáng tin cậy, được xác nhận hoặc trả lời bởi các chuyên gia, giáo viên hàng đầu của chúng tôi.
Đáp án:
48384
Giải thích các bước giải:

Hãy giúp mọi người biết câu trả lời này thế nào?
starstarstarstarstarstarstarstarstarstarstarstarstarstarstarstarstarstarstarstarstarstarstarstarstarstarstarstarstarstar3.3starstarstarstarstar4 voteGửiHủy
Cảm ơn


- lexuanduczzz

- Chưa có nhóm
- Trả lời
0
- Điểm
130
- Cảm ơn
0
Sao k = 5 vậy ạ
- lexuanduczzz
Bạn muốn hỏi điều gì?
Tham Gia Group Dành Cho Lớp 11 Chia Sẻ, Trao Đổi Tài Liệu Miễn Phí

Bảng tin
Bạn muốn hỏi điều gì?
Lý do báo cáo vi phạm?
Gửi yêu cầu Hủy

Cơ quan chủ quản: Công ty Cổ phần Công nghệ Giáo dục Thành Phát
Tải ứng dụng


- Hướng dẫn sử dụng
- Điều khoản sử dụng
- Nội quy hoidap247
- Góp ý
Inbox: m.me/hoidap247online
Trụ sở: Tầng 7, Tòa Intracom, số 82 Dịch Vọng Hậu, Cầu Giấy, Hà Nội.
Từ khóa » Tìm Hệ Số Của X5 Trong Khai Triển (2x+3)^8
-
[LỜI GIẢI] Hệ Số Của X^5 Trong Khai Triển ( 2x + 3 )^8 Là: - Tự Học 365
-
Hệ Số X^5 Trong Khai Triển (2x+3)^8 Bằng
-
Hệ Số Của X5 Trong Khai Triển (2x+3)8 Là:
-
Hệ Số Của X^5 Trong Khai Triển (2x+3)^8 Là: 8C5..2^3.3^5
-
Hệ Số X^5 Trong Khai Triển (2x+3)^8 Bằng... - Vietjack.online
-
Hệ Số Của X 5 Trong Khai Triển (2x+3) 8 Là - Cungthi.online
-
Hệ Số Của X5 Trong Khai Triển (2x - 3)^8 - Toán Học Lớp 11
-
Tìm Hệ Số Của X5 Trong Khai Triển (2x+3)^8
-
Hệ Số X5 Trong Khai Triển (2x+3)^8 Là - DocumenTV
-
Hệ Số Của X5 - X 5 - Trong Khai Triển Biểu Thức P(x) = X(2x−1)6 +(3x ...
-
Hệ Số Của X5 Trong Khai Triển (2x 3)8 Là: A. C 8 5 2 3 3 5... - Hoc24
-
Tìm Hệ Số H Của Số Hạng Chứa X 5 Trong Khai Triển