Họ Nguyên Hàm Của Hàm Số F(x) = (2x - 1)lnx Là? Câu Hỏi 965716
Có thể bạn quan tâm


Tìm kiếm với hình ảnh
Vui lòng chỉ chọn một câu hỏi
Tìm đáp án
Đăng nhập- |
- Đăng ký


Hoidap247.com Nhanh chóng, chính xác
Hãy đăng nhập hoặc tạo tài khoản miễn phí!
Đăng nhậpĐăng ký

Lưu vào
+
Danh mục mới
- tuananh519

- Chưa có nhóm
- Trả lời
0
- Điểm
75
- Cảm ơn
0
- Toán Học
- Lớp 12
- 10 điểm
- tuananh519 - 14:03:56 01/07/2020
- Hỏi chi tiết
Báo vi phạm
Hãy luôn nhớ cảm ơn và vote 5* nếu câu trả lời hữu ích nhé!
TRẢ LỜI
- thienthien2311

- Chưa có nhóm
- Trả lời
10
- Điểm
305
- Cảm ơn
7
- thienthien2311
- 01/07/2020

Đáp án:
Giải thích các bước giải:

Hãy giúp mọi người biết câu trả lời này thế nào?
starstarstarstarstarstarstarstarstarstarstarstarstarstarstarstarstarstarstarstarstarstarstarstarstarstarstarstarstarstarstarstarstarstarstarGửiHủy
Cảm ơn
Báo vi phạm


- gainhangheo2506

- Chưa có nhóm
- Trả lời
8101
- Điểm
162166
- Cảm ơn
5581
- gainhangheo2506
- 26/07/2021
Đây là một chuyên gia không còn hoạt độngĐáp án:
`(x^2-x)lnx-x^2/2+x+C`
Giải thích các bước giải:
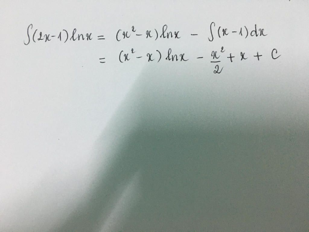
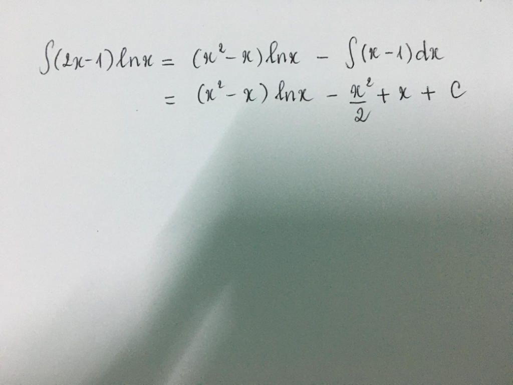
`∫f(x)dx = ∫(2x - 1)lnxdx`
Đặt $\begin{cases} u=\ln x\\dv=(2x-1)dx\\ \end{cases}$`=>`$\begin{cases} du=\frac{1}{x}dx\\v=x^2-x\\ \end{cases}$
`⇒∫(2x - 1)lnxdx=(x^2-x)lnx-∫(x^2-x)/(x)dx`
`=(x^2-x)lnx-∫(x-1)dx`
`=(x^2-x)lnx-x^2/2+x+C`
Hãy giúp mọi người biết câu trả lời này thế nào?
starstarstarstarstarstarstarstarstarstarstarstarstarstarstarstarstarstarstarstarstarstarstarstarstarstarstarstarstarstarstarstarstarstarstarGửiHủy
Cảm ơn
Báo vi phạm
Bạn muốn hỏi điều gì?
Group 2K8 ôn Thi ĐGNL & ĐGTD Miễn Phí

Bảng tin
Bạn muốn hỏi điều gì?
Lý do báo cáo vi phạm?
Gửi yêu cầu Hủy

Cơ quan chủ quản: Công ty Cổ phần Công nghệ Giáo dục Thành Phát
Tải ứng dụng


- Hướng dẫn sử dụng
- Điều khoản sử dụng
- Nội quy hoidap247
- Góp ý
Inbox: m.me/hoidap247online
Trụ sở: Tầng 7, Tòa Intracom, số 82 Dịch Vọng Hậu, Cầu Giấy, Hà Nội.
Từ khóa » Nguyên Hàm Của (2x+1)ln
-
Họ Các Nguyên Hàm Của Hàm Số F(x) = (2x + 1) Ln X Là
-
Tìm Họ Nguyên Hàm (( (2x - 1) )ln X( Mkern 1mu) ( Rm(d))x) .
-
[LỜI GIẢI] Tìm Họ Nguyên Hàm Int( 2x-1 )ln Xtextdx. - Tự Học 365
-
Họ Các Nguyên Hàm Của Hàm Số F(x) = (2x + 1) Ln X Là... - Vietjack.online
-
Tìm Nguyên Hàm (2x-1)lnxdx A. (x-x^2)lnx+x^2/2-x+c...
-
Họ Các Nguyên Hàm Của Hàm Số F(x) = (2x + 1) Ln X Là
-
Tìm Nguyên Hàm 1/(x( Log Tự Nhiên Của X)^2) | Mathway
-
Nguyên Hàm Của Ln(2x+1)
-
Họ Nguyên Hàm Của Hàm Số Y=((2x^2+x)lnx+1)/x Là
-
Nguyên Hàm Ln X Là Gì? Tính Nguyên Hàm Ln, Cách Giải Bài Tập
-
Nguyên Hàm Ln 2x
-
Cho F(x)=1/2x^2 Là Một Nguyên Hàm Của Hàm Số F(x)/x. Tìm Nguyên ...