Khi X Khác -1 Khi X = -1 Tìm Tham Số Thực A để Hs F(x) Liên Tục Tại Xo =1


Tìm kiếm với hình ảnh
Vui lòng chỉ chọn một câu hỏi
Tìm đáp án
Đăng nhập- |
- Đăng ký


Hoidap247.com Nhanh chóng, chính xác
Hãy đăng nhập hoặc tạo tài khoản miễn phí!
Đăng nhậpĐăng ký

Lưu vào
+
Danh mục mới
- bemon161

- Chưa có nhóm
- Trả lời
2
- Điểm
20
- Cảm ơn
2
- Toán Học
- Lớp 11
- 10 điểm
- bemon161 - 14:14:58 04/04/2020

- Hỏi chi tiết
Báo vi phạm
Hãy luôn nhớ cảm ơn và vote 5* nếu câu trả lời hữu ích nhé!
TRẢ LỜI
bemon161 rất mong câu trả lời từ bạn. Viết trả lờiTRẢ LỜI


- namtran1997

- Chưa có nhóm
- Trả lời
6365
- Điểm
64653
- Cảm ơn
4381
- namtran1997
- 04/04/2020
Đây là một chuyên gia không còn hoạt độngTa tính
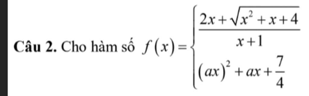
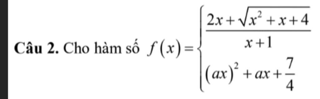
$\underset{x \to -1}{\lim} f(x) = \underset{x \to -1}{\lim} \dfrac{2x + \sqrt{x^2 + x + 4}}{x+1}$
$= \underset{x \to -1}{\lim} \dfrac{4x^2 - (x^2 + x + 4)}{(x+1)(2x - \sqrt{x^2 + x +4})}$
$= \underset{x \to -1}{\lim} \dfrac{3x^2 - x - 4}{(x+1)(2x - \sqrt{x^2 + x + 4})}$
$= \underset{x \to -1}{\lim} \dfrac{(x+1)(3x-4)}{(x+1)(2x - \sqrt{x^2 + x + 4})}$
$= \underset{x \to -1}{\lim} \dfrac{3x-4}{2x - \sqrt{x^2 + x + 4}}$
$= \dfrac{-3-4}{-2-2} = \dfrac{7}{4}$
Để hso liên tục tại $x_0 = -1$ thì ta phải có
$\underset{x \to -1}{\lim} f(x) = f(-1)$
$<-> \dfrac{7}{4} = (-a)^2 + a(-1) + \dfrac{7}{4}$
$<-> a^2 - a = 0$
$<-> a(a-1) = 0$
Vậy $a = 0$ hoặc $a = 1$.
Hãy giúp mọi người biết câu trả lời này thế nào?
starstarstarstarstarstarstarstarstarstarstarstarstarstarstarstarstarstarstarstarstarstarstarstarstarstarstarstarstarstarstarstarstarstarstarGửiHủy
Cảm ơn
Báo vi phạm
Bạn muốn hỏi điều gì?
Group 2K9 Ôn Thi ĐGNL & ĐGTD Miễn Phí

Bảng tin
Bạn muốn hỏi điều gì?
Lý do báo cáo vi phạm?
Gửi yêu cầu Hủy

Cơ quan chủ quản: Công ty Cổ phần Công nghệ Giáo dục Thành Phát
Tải ứng dụng


- Hướng dẫn sử dụng
- Điều khoản sử dụng
- Nội quy hoidap247
- Góp ý
Inbox: m.me/hoidap247online
Trụ sở: Tầng 7, Tòa Intracom, số 82 Dịch Vọng Hậu, Cầu Giấy, Hà Nội.
Từ khóa » X Khác 1
-
Chọn Mệnh đề đúng: Cosx Khác 1 <=> X Khác Pi/2 + K Pi
-
Nghiệm Của Các Phương Trình Lượng Giác đặc Biệt - MathVn.Com
-
Cos X Khác 1
-
Nghiệm Của Phương Trình Cos X = 1 Là:
-
Với X > 0; X Khác 1. Cho Biểu Thức P = [căn Bậc Hai X ...
-
Tìm A để Hàm Số F(x)= X^2-1/x-1 Khi X Khác 1 Hoặc A Khi X=1...
-
Rút Gọn Biểu Thức A. Chứng Minh Rằng Nếu X ≥ 0; X Khác 1 Thì A > 0
-
Rút Gọn Biểu Thức P. Chứng Minh Rằng P > 0 Với Mọi X Khác 1
-
Xét Tính Liên Tục Của Hàm Số Trên R Biết F(x)=(x^2-3x+2)/|x-1
-
Top 6 Cos X Khác 1 2022
-
Rút Gọn Biểu Thức A=( 1−x31−x −x) : 1−x21−x−x2 X3 Với X Khác ...
-
Với X>0 Và X Khác 1, Giá Trị Của A= √x-x / √x-1 Là Bao Nhiêu Câu Hỏi ...
-
Hàm Lượng Giác – Wikipedia Tiếng Việt