Lời Giải đề Thi Học Sinh Giỏi Toán Quốc Gia Năm Học 2020-2021
Năm 2020, tổng số thí sinh tham dự kỳ thi chọn học sinh giỏi quốc gia là 4.565. Trong đó, môn Toán có 475 thí sinh.
Trong ngày thứ nhất, thí sinh phải hoàn thành bài thi với thời gian làm bài 180 phút. VietNamNet cập nhật lời giải đề thi học sinh giỏi quốc gia môn Toán năm 2020 để học sinh và phụ huynh cùng tham khảo.
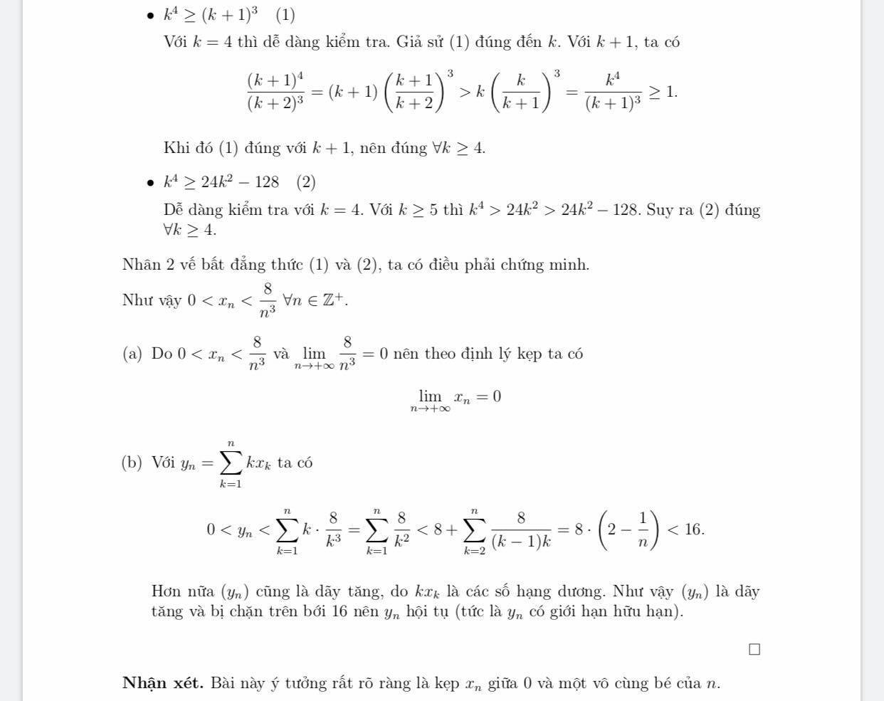
Sau đây là gợi ý lời giải đề thi học sinh giỏi quốc gia môn Toán:
![]() |
![]() |
![]() |
![]() |
![]() |
![]() |
![]() |
![]() |
![]() |
![]() |
![]() |
![]() |
![]() |
![]() |
Đề thi do Bộ GD-ĐT xây dựng và trực tiếp chuyển đến các Sở GD-ĐT địa phương.Theo kế hoạch, kỳ thi chọn học sinh giỏi quốc gia do Bộ GD-ĐT tổ chức trong vào ngày 25, 26 và 27/12/2020. Các môn thi sẽ diễn ra đồng loạt ở tất cả các địa điểm do Sở GD-ĐT tỉnh, thành bố trí.
Dự kiến, kết quả kỳ thi chọn học sinh giỏi quốc gia năm 2020 sẽ được công bố trước dịp Tết Nguyên đán 2021.
Nguyễn Tiến Lâm - Phan Anh Quân - Nguyễn Minh Đức - Tạ Khánh Hà - Mẫn Bá Tuấn - Trịnh Huy Vũ (CLB Toán A1)
Toán học Việt Nam trong top 40 thế giới
Toán học Việt Nam được xác định ở vị trí trong khoảng 35-40 trên thế giới và đứng đầu trong khối ASEAN (chỉ xét đến tiêu chí số lượng công bố quốc tế).
Từ khóa » đề Vmo 2020
-
Đề Thi HSG Quốc Gia Môn Toán VMO Năm 2020 Có Lời Giải Chi Tiết
-
Lời Giải Câu Số Học Trong đề VMO 2020 - Ngày 1 (Bài 3) - MathVn.Com
-
Đề Thi HSG Quốc Gia 2020 Môn Toán Ngày 2 - VMO 2020 Day 2
-
Đề Thi HSG Quốc Gia 2020 Môn Toán Ngày 1 Và Ngày 2 Và Lời Giải
-
Lời Giải Và Bình Luận Về đề Thi VMO (Kỳ Thi Chọn HSG QG) 2019 - 2020
-
Hướng Tới Olympic Toán VN | [LỜI GIẢI VÀ BÌNH LUẬN VMO 2019 ...
-
Đề Thi HSG Quốc Gia Môn Toán VMO Năm 2020 Có Lời Giải Chi Tiết
-
Đề Thi HSG Quốc Gia Môn Toán VMO Năm 2020 Có Lời Giải ... - 123doc
-
Đề Thi Kèm Lời Giải Chi Tiết đề Thi VMO Năm 2020 - Lib24.Vn
-
Lời Giải Và Bình Luận Về đề Thi VMO (Kỳ Thi Chọn HSG QG) 2019 – 2020
-
Lời Giải Và Bình Luận Về đề Thi VMO (Kỳ Thi Chọn HSG QG) 2019 – 2020
-
Đề Thi HSG Quốc Gia 2020 Môn Toán Ngày 2 - VMO 2020 Day 2 - Và ...













