Lực đẩy Ác-si-mét - Chuyên đề Môn Vật Lý Lớp 8
Có thể bạn quan tâm
Nâng cấp gói Pro để trải nghiệm website VnDoc.com KHÔNG quảng cáo, và tải file cực nhanh không chờ đợi.
Tìm hiểu thêm » Mua ngay Từ 79.000đ Hỗ trợ ZaloChuyên đề Vật lý lớp 8: Lực đẩy Ác-si-mét là tài liệu học tập trọng tâm, được hệ thống hóa nhằm giúp học sinh chinh phục một trong những nội dung quan trọng nhất của học kỳ 1. Tài liệu tập trung làm rõ từ định nghĩa bản chất đến cách vận dụng linh hoạt công thức tính lực đẩy Ác-si-mét trong các dạng bài tập thực tế. Với sự tổng hợp khoa học từ VnDoc, các em không chỉ nắm vững lý thuyết về phương, chiều và độ lớn của lực đẩy mà còn rèn luyện tư duy giải bài tập chính xác. Đây là nguồn tham khảo hữu ích giúp các em tự tin bứt phá điểm số và yêu thích môn Vật lý hơn. Mời các bạn cùng khám phá!
Lý thuyết bài: Lực đẩy Ác-si-mét
- A. Lý thuyết Lực đẩy Ác-si-mét
- B. Trắc nghiệm Lực đẩy Ác-si-mét
A. Lý thuyết Lực đẩy Ác-si-mét
I. TÓM TẮT LÍ THUYẾT
1. Tác dụng của chất lỏng lên vật nhúng chìm trong nó
Một vật nhúng vào chất lỏng, bị chất lỏng đẩy thẳng đứng từ dưới lên với lực có độ lớn bằng trọng lượng của phần chất lỏng mà vật chiếm chỗ. Lực này gọi là lực đẩy Ác – si – mét.

2. Độ lớn của lực đẩy Ác-si-mét
2. Độ lớn của lực đẩy Ác-si-mét
Công thức tính lực đẩy Ác-si-mét:
FA = d.V
Trong đó: d là trọng lượng riêng của chất lỏng (N/m3).
V là thể tích phần chất lỏng bị vật chiếm chỗ (m3).
FA là lực đẩy Ác-si-mét (N)
Lưu ý:
- V là thể tích phần chất lỏng bị vật chiếm chỗ cũng chính là thể tích phần chìm của vật chứ không phải là thể tích của vật. Muốn tính thể tích phần chìm của vật có nhiều trường hợp:
+ Nếu cho biết Vnổi thì Vchìm = Vvật - Vnổi.
+ Nếu cho biết chiều cao h phần chìm của vật (có hình dạng đặc biệt) thì Vchìm=Sđáy.h
+ Nếu cho biết vật chìm hoàn toàn trong chất lỏng thì Vchìm = Vvật.
II. PHƯƠNG PHÁP GIẢI
1. Tính trọng lượng riêng của chất lỏng, thể tích phần chìm của vật.
Khi biết trọng lượng của vật ở trong không khí (P) và trọng lượng của vật khi nhúng trong chất lỏng (P1) thì lực đẩy Ác-si-mét: FA = P - P1
Từ công thức: FA = d.V ⇒ 
2. So sánh lực đẩy Ác-si-mét tác dụng lên các vật
- Khi các vật được nhúng chìm hoàn toàn trong cùng một chất lỏng thì lực đẩy Ác-si-mét tác dụng lên các vật chỉ phụ thuộc vào thể tích của chúng. Vật nào có thể tích lớn hơn thì vật đó chịu lực đẩy Ác-si-mét tác dụng lên nó lớn hơn.
- Khi các vật có cùng khối lượng (làm bằng các chất khác nhau) được nhúng chìm hoàn toàn trong cùng một chất lỏng thì lực đẩy Ác-si-mét tác dụng lên các vật chỉ phụ thuộc vào khối lượng riêng của chúng. Vật nào có khối lượng riêng lớn hơn thì vật đó chịu lực đẩy Ác-si-mét tác dụng lên nó nhỏ hơn.
- Khi các vật có cùng thể tích được nhúng chìm hoàn toàn trong các chất lỏng khác nhau thì vật nào được nhúng trong chất lỏng có trọng lượng riêng lớn hơn thì vật đó chịu lực đẩy Ác-si-mét tác dụng lên nó lớn hơn.
B. Trắc nghiệm Lực đẩy Ác-si-mét
Bài 1: Một vật ở trong nước chịu tác dụng của những lực nào?
A. Lực đẩy Ác-si-mét.
B. Lực đẩy Ác-si-mét và lực ma sát.
C. Trọng lực.
D. Trọng lực và lực đẩy Ác-si-mét.
Một vật ở trong nước chịu tác dụng của trọng lực và lực đẩy Ác-si-mét
⇒ Đáp án D
Bài 2: Lực đẩy Ác-si-mét tác dụng lên một vật nhúng trong chất lỏng bằng:
A. Trọng lượng của vật.
B. Trọng lượng của chất lỏng.
C. Trọng lượng phần chất lỏng bị vật chiếm chỗ.
D. Trọng lượng của phần vật nằm dưới mặt chất lỏng.
Lực đẩy Ác-si-mét tác dụng lên một vật nhúng trong chất lỏng bằng trọng lượng phần chất lỏng bị vật chiếm chỗ
⇒ Đáp án C
Bài 3: Công thức tính lực đẩy Ác-si-mét là:
A. FA = D.V
B. FA = Pvật
C. FA = d.V
D. FA = d.h
Công thức tính lực đẩy Ác-si-mét là FA = d.V
⇒ Đáp án C
Bài 4: Trong các câu sau, câu nào đúng?
A. Lực đẩy Ác-si-mét cùng chiều với trọng lực.
B. Lực đẩy Ác-si-mét tác dụng theo mọi phương vì chất lỏng gây áp suất theo mọi phương.
C. Lực đẩy Ác-si-mét có điểm đặt ở vật.
D. Lực đẩy Ác-si-mét luôn có độ lớn bằng trọng lượng của vật.
Lực đẩy Ác-si-mét ngược chiều với trọng lực, có độ lớn bằng trọng lượng của phần chất lỏng bị vật chiếm chỗ
⇒ Đáp án C
Bài 5: Một thỏi nhôm và một thỏi thép có thể tích bằng nhau cùng được nhúng chìm trong nước. Nhận xét nào sau đây là đúng?
A. Thỏi nào nằm sâu hơn thì lực đẩy Ác-si-mét tác dụng lên thỏi đó lớn hơn.
B. Thép có trọng lượng riêng lớn hơn nhôm nên thỏi thép chịu tác dụng của lực đẩy Ác-si-mét lớn hơn.
C. Hai thỏi nhôm và thép đều chịu tác dụng của lực đẩy Ác-si-mét như nhau vì chúng cùng được nhúng trong nước như nhau.
D. Hai thỏi nhôm và thép đều chịu tác dụng của lực đẩy Ác-si-mét như nhau vì chúng chiếm thể tích trong nước như nhau.
Hai thỏi nhôm và thép đều chịu tác dụng của lực đẩy Ác-si-mét như nhau vì chúng chiếm thể tích trong nước như nhau
⇒ Đáp án D
Bài 6: Khi ôm một tảng đá trong nước ta thấy nhẹ hơn khi ôm nó trong không khí. Sở dĩ như vậy là vì:
A. khối lượng của tảng đá thay đổi.
B. khối lượng của nước thay đổi.
C. lực đẩy của nước.
D. lực đẩy của tảng đá.
Khi ôm một tảng đá trong nước ta thấy nhẹ hơn khi ôm nó trong không khí. Sở dĩ như vậy là vì lực đẩy của nước
⇒ Đáp án C
Bài 7: Thể tích của một miếng sắt là 2dm3. Lực đẩy tác dụng lên miếng sắt khi nhúng chìm trong nước sẽ nhận giá trị nào trong các giá trị sau:
A. F = 15N
B. F = 20N
C. F = 25N
D. F = 10N
Ta có: 2dm3 = 0,002 m3
Lực đẩy Ác-si-mét tác dụng lên miếng sắt khi miếng sắt được nhúng chìm trong nước là: Fnước = dnước.Vsắt = 10000.0,002 = 20N
⇒ Đáp án B
Bài 8: Treo một vật ở ngoài không khí vào lực kế, lực kế chỉ 2,1 N. Nhúng chìm vật đó vào nước thì số chỉ của lực kế giảm 0,2 N. Hỏi chất làm vật đó có trọng lượng riêng lớn gấp bao nhiêu lần trọng lượng riêng của nước. Biết trọng lượng riêng của nước là 10000 N/m3.
A. 6 lần
B. 10 lần
C. 10,5 lần
D. 8 lần
- Khi nhúng chìm vật vào nước, vật chịu tác dụng của lực đẩy Ác – si – mét nên số chỉ của lực kế giảm 0,2 N tức là FA = 0,2 N.
- Ta có: FA = V.dn
⇒ Thể tích của vật:
⇒ Đáp án C
Bài 9: Một vật có trọng lượng riêng là 22000 N/m3. Treo vật vào một lực kế rồi nhúng vật ngập trong nước thì lực kế chỉ 30N. Hỏi nếu treo vật ở ngoài không khí thì lực kế chỉ bao nhiêu? Cho biết trọng lượng riêng của nước là 10000 N/m3.
Đáp ánGọi Pkk , PN , FA là trọng lượng của vật khi cân ngoài không khí, khi nhúng vào nước và lực đẩy Ác – si – mét. Ta có:
Pkk – FA = PN
⇒ V(d – dN ) = PN
Vậy số chỉ của lực kế khi vật ở ngoài không khí là 55 N.
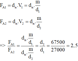
Bài 10: Một vật làm bằng nhôm và một vật làm bằng hợp kim có cùng khối lượng và được nhúng vào trong cùng một chất lỏng. Hỏi lực đẩy Ác-si-mét tác dụng lên vật nào lớn hơn? Lớn hơn mấy lần? Biết trọng lượng riêng của nhôm và hợp kim lần lượt là 27000 N/m3 và 67500 N/m3.
Đáp án- Gọi d1, d2 là trọng lượng riêng của nhôm và hợp kim.
- Lực đẩy Ác-si-mét tác dụng lên 2 vật:
⇒ FA1 = 2,5.FA2
Vậy lực đẩy Ác – si – mét tác dụng lên vật làm bằng nhôm lớn hơn và lớn hơn 2,5 lần.
......................................
Trên đây, VnDoc đã gửi tới các bạn Chuyên đề Vật lý 8: Lực đẩy Ác-si-mét. Hy vọng tài liệu này, các em học sinh sẽ nắm vững kiến thức về Lực đẩy Ác si mét, từ đó vận dụng làm các bài tập liên quan hiệu quả. Chúc các em học tốt.Để có kết quả cao hơn trong học tập, VnDoc xin giới thiệu tới các bạn học sinh tài liệu Chuyên đề Vật lý 8, Giải bài tập Vật Lí 8, Tài liệu học tập lớp 8 mà VnDoc tổng hợp và giới thiệu tới các bạn đọc
Từ khóa » Chủ đề Lực đẩy ác Si Mét
-
Chủ đề 10: Lực đẩy Ác Si Mét
-
Chuyên đề Vật Lý 8: Lực đẩy Ác-si-mét - Sự Nổi - Tech12h
-
Giáo án Chủ đề Lực đẩy Acsimet- Sự Nổi Vật Lí 8 - Hồ Việt Cảnh
-
Chuyên đề Lực đẩy Acsimet (hay, đầy đủ) | Bồi Dưỡng HSG Vật Lý 8,9
-
Chủ đề Lực đẩy ác Si Mét 8 - Tài Liệu Text - 123doc
-
CHỦ ĐỀ: LỰC ĐẨY ÁCSIMÉT VÀ SỰ NỔI VẬT LÝ LỚP 8 - 123doc
-
Chủ đề 10: Lực đẩy Ác Si Mét - Tìm đáp án, Giải Bài Tập, để Học Tốt
-
Chủ đề 10: Lực đẩy Ác Si Mét | Tài Liệu Dạy - Học Vật Lí 8
-
Chủ đề 10: Lực đẩy Ác Si Mét - Tài Liệu Dạy - Học Vật Lý 8 - Giải Bài Tập
-
Giáo án Môn Vật Lí 8 - Bài 10 +12: Lực đẩy ác Si Mét Và Sự Nổi
-
Chủ đề 10: Lực đẩy Ác - Si - Mét - Vật Lý Lớp 8
-
Khoa Học Tự Nhiên 8 Bài 17: Lực đẩy Ac-si-met Và Sự Nổi
-
Giáo án Chủ đề Lực đẩy Acsimet- Sự Nổi Vật Lí 8 - Nslide
-
Giáo án Stem Vật Lý Lớp 8 Chủ đề: Lực đẩy Acsimet - Sự Nổi