Nguyên Hàm Của (2*x^2-8*x+10) /(x^3 +x^2 -4*x-4) Câu Hỏi 1606936
Có thể bạn quan tâm


Tìm kiếm với hình ảnh
Vui lòng chỉ chọn một câu hỏi
Tìm đáp án
Đăng nhập- |
- Đăng ký


Hoidap247.com Nhanh chóng, chính xác
Hãy đăng nhập hoặc tạo tài khoản miễn phí!
Đăng nhậpĐăng ký

Lưu vào
+
Danh mục mới
- bingbong26

- Chưa có nhóm
- Trả lời
0
- Điểm
20
- Cảm ơn
0
- Toán Học
- Lớp 12
- 10 điểm
- bingbong26 - 23:37:15 16/02/2021
- Hỏi chi tiết
Báo vi phạm
Hãy luôn nhớ cảm ơn và vote 5* nếu câu trả lời hữu ích nhé!
TRẢ LỜI


- Hermione

- Chưa có nhóm
- Trả lời
3136
- Điểm
53438
- Cảm ơn
3287
- Hermione
- 17/02/2021
Đây là một chuyên gia không còn hoạt độngBạn tham khảo bài.

Hãy giúp mọi người biết câu trả lời này thế nào?
starstarstarstarstarstarstarstarstarstarstarstarstarstarstarstarstarstarstarstarstarstarstarstarstarstarstarstarstarstar5starstarstarstarstar2 voteGửiHủy
Cảm ơn 2
Báo vi phạm


- Hermione

- Chưa có nhóm
- Trả lời
3136
- Điểm
53438
- Cảm ơn
3287
Nếu biết phương pháp bịt thì sẽ còn nhanh hơn. Tiện trong giải trắc nghiệm.
- Hermione


- hoang1o1o1

- Chưa có nhóm
- Trả lời
13639
- Điểm
103514
- Cảm ơn
9167
- hoang1o1o1
- 17/02/2021
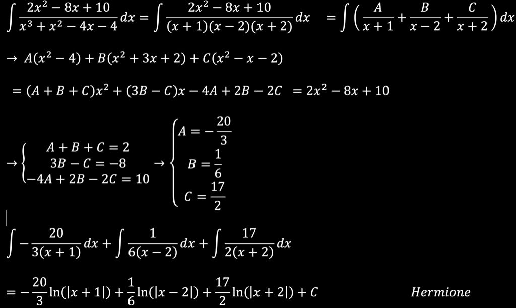
Đây là một chuyên gia không còn hoạt động$\displaystyle\int \dfrac{2x^2-8x+10}{x^3+x^2-4x-4} \, dx\\ =\displaystyle\int \dfrac{\dfrac{2}{3}(3x^2+2x-4)-\dfrac{28}{3}x-\dfrac{28}{3}+22}{x^3+x^2-4x-4} \, dx \\ =\dfrac{2}{3}\displaystyle\int \dfrac{3x^2+2x-4}{x^3+x^2-4x-4} \, dx -\dfrac{28}{3}\displaystyle\int \dfrac{x+1}{x^3+x^2-4x-4} \, dx+22\displaystyle\int \dfrac{1}{x^3+x^2-4x-4} \, dx \\ =\dfrac{2}{3}\displaystyle\int \dfrac{d(x^3+x^2-4x-4)}{x^3+x^2-4x-4} \, dx -\dfrac{28}{3}\displaystyle\int \dfrac{x+1}{(x+1)(x-2)(x+2)} \, dx+22\displaystyle\int \dfrac{1}{(x+1)(x-2)(x+2)} \, dx \\ =\dfrac{2}{3}\ln{(|x^3+x^2-4x-4|)}-\dfrac{28}{3}\displaystyle\int \dfrac{1}{(x-2)(x+2)} \, dx+22\displaystyle\int \dfrac{1}{(x+1)(x-2)(x+2)} \, dx +C\\ =\dfrac{2}{3}\ln{(|(x+1)(x-2)(x+2)|)}-\dfrac{28}{3}.\dfrac{1}{4}.\displaystyle\int \left(\dfrac{1}{x-2}-\dfrac{1}{x+2}\right) \, dx+22\displaystyle\int\left(\dfrac{1}{12(x-2)}+\dfrac{1}{4(x+2)}-\dfrac{1}{3(x+1)}\right) \, dx +C\\ =\dfrac{2}{3}\ln{(|x+1|)}+\dfrac{2}{3}\ln{(|x+2|)}+\dfrac{2}{3}\ln{(|x-2|)}-\dfrac{7}{3}\ln{(|x-2|)}+\dfrac{7}{3} \ln{(|x+2|)}+\dfrac{11}{6}\ln{(|x-2|)}+\dfrac{11}{2}\ln{(|x+2|)}-\dfrac{22}{3}\ln{(|x+1|)}+C\\ =\dfrac{-20}{3}\ln{(|x+1|)}+\dfrac{17}{2}\ln{(|x+2|)}+\dfrac{1}{6}\ln{(|x-2|)}+C$
Hãy giúp mọi người biết câu trả lời này thế nào?
starstarstarstarstarstarstarstarstarstarstarstarstarstarstarstarstarstarstarstarstarstarstarstarstarstarstarstarstarstarstarstarstarstarstarGửiHủy
Cảm ơn
Báo vi phạm


- hoang1o1o1

- Chưa có nhóm
- Trả lời
13639
- Điểm
103514
- Cảm ơn
9167
Dài quá, không tách ra ngay từ đầu...
- hoang1o1o1
Bạn muốn hỏi điều gì?
Group 2K8 ôn Thi ĐGNL & ĐGTD Miễn Phí

Bảng tin
Bạn muốn hỏi điều gì?
Lý do báo cáo vi phạm?
Gửi yêu cầu Hủy

Cơ quan chủ quản: Công ty Cổ phần Công nghệ Giáo dục Thành Phát
Tải ứng dụng


- Hướng dẫn sử dụng
- Điều khoản sử dụng
- Nội quy hoidap247
- Góp ý
Inbox: m.me/hoidap247online
Trụ sở: Tầng 7, Tòa Intracom, số 82 Dịch Vọng Hậu, Cầu Giấy, Hà Nội.
Từ khóa » Nguyên Hàm X^3/x^8+1
-
Tìm Nguyên Hàm X(8-x) | Mathway
-
Tìm Nguyên Hàm (8x^3)/3 | Mathway
-
Tính Tích Phân:$$\int \frac{dx}{x^8+1} - HOCMAI Forum
-
Tìm Nguyên Hàm: I=∫x^3-1 / X(x^6+3x^3+2)dx
-
$$I=\int \dfrac{dx}{x^8+1}$$ - Tích Phân - Nguyên Hàm
-
Tìm Nguyên Hàm Của Hàm Số Sau: ∫x3/(x−1)10dx - Selfomy Hỏi Đáp
-
Đạo Hàm Của Hàm Số \(y = {\log _8}\left( {{x^3} - 3x - 4} \right)\) Là
-
Tìm Nguyên Hàm Của (x+1)/(3x+1) - Học Viên - HOC247
-
Tính (I = (3(x^5)căn ((x^3) + 1) ) )
-
Bài 1: Nguyên Hàm, Hỏi đáp - Hoc24
-
Họ Tất Cả Các Nguyên Hàm Của Hàm Số Fx = 3^x + Sin 8x - Tự Học 365
-
Tất Cả