Tính Tổng T Tất Cả Các Nghiệm Của Phương Trình 2sin^2x/4-3cosx/4=0
Có thể bạn quan tâm
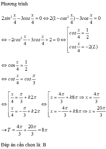
Tính tổng T tất cả các nghiệm của phương trình 2sin2x4-3cosx4=0trên đoạn 0;8π .
A. T=0
B. T=8π
C. T=16π
D. T=4π
Trả Lời Hỏi câu khác Lưu câu hỏi Lưu Hỏi chi tiết ...Xem thêmQuảng cáo
1 câu trả lời 4457
H Hoài Thương 4 năm trước
Quảng cáo
Bạn hỏi - Chuyên gia trả lời
Bạn cần hỏi gì?
Gửi câu hỏiCâu hỏi hot cùng chủ đề
-
Đã trả lời bởi chuyên gia Tính đạo hàm của hàm số sau: y = cos2x
A: 2 cosx.sinx
B: -sin2 x
C: -sinx
D: Tất cả sai
Trả lời (18) Xem đáp án » 135160 -
Đã trả lời bởi chuyên gia Tìm các giới hạn sau :
A, lim 2n2-3n+5n2+4
B, lim -n3+2n+6n3-1
Trả lời (10) Xem đáp án » 98189 -
Đã trả lời bởi chuyên gia Phân tích cos4x
Trả lời (5) Xem đáp án » 90311 -
Đã trả lời bởi chuyên gia Cho cấp số nhân có u2=14 ; u5=16. Tìm q và u1
A.q=12; u1=12.
B.q=−12; u1=−12.
C.q=4; u1=116.
D.q=−4; u1=−116.
Trả lời (6) Xem đáp án » 84315 - Hỏi từ APP VIETJACK
Đã trả lời bởi chuyên gia Cho chóp S. ABCD có đáy là hình bình hành. Gọi M, N là trung điểm SB, SD ; P thuộc SC : PC< PS . Tìm giao tuyến của: a) ( SAC) và (SBD) b) ( MNP) và ( SBD) c) ( MNP) và ( SAC). d) (MNP) và (SAB) e) ( MNP) và ( SAD) f) ( MNP) và ( ABCD) Trả lời (2) Xem đáp án » 76425 -
Đã trả lời bởi chuyên gia Cho cấp số cộng (un) thỏa u2−u3+u5=10u4+u6=26
Tính S=u1+u4+u7+...+u2011
A.S=673015
B.S=6734134
C.S=673044
D.S = 141
Từ khóa » Tính Tổng T Tất Cả Các Nghiệm Của Phương Trình 2sin^2x/4
-
Tính Tổng T Tất Cả Các Nghiệm Của Phương Trình 2sin^2x/4 - 3cosx/4 ...
-
Tính Tổng T Tất Cả Các Nghiệm Của Phương Trình 2sin^2 X/4 - Khóa Học
-
Tính Tổng T Tất Cả Các Nghiệm Của Phương Trình 2sin^2x/4 - 3cosx/4 = 0
-
Tính Tổng (T ) Tất Cả Các Nghiệm Của Phương Trình (2(sin ^2)(x)
-
Tính Tổng (T ) Tất Cả Các Nghiệm Của Phương Trình ((5^(((sin )^
-
Tính Tổng T Tất Cả Các Nghiệm Của Phương Trình 2sin^2 X/4
-
3cos\frac{x}{4}=0\) Trên đoạn \(\left[0;8\Pi\right]\) A . \(T=0\) B ... - Hoc24
-
Tính Tổng T Tất Cả Các Nghiệm Của Phương Trình \({5^{{{\sin }^2}x}} + ...
-
Phương Trình \(\sin 2x = - \frac{{\sqrt 3 }}{2}\) Có Hai Công Thức Nghiệm ...
-
Tính Tổng Tất Cả Các Nghiệm Của Phương Trình $\sin 2x + 4\sin X
-
Tính Tổng T Tất Cả Các Nghiệm Của Phương Trình 4 X X 2 X 4 0
-
Tính Tổng T Các Nghiệm Của Phương Trình Cos ^2x = Sin X - Tự Học 365
-
Tìm Tất Cả Các Nghiệm Của Phương Trình Cos Bình X Trừ 3 Cos X 2 = 0