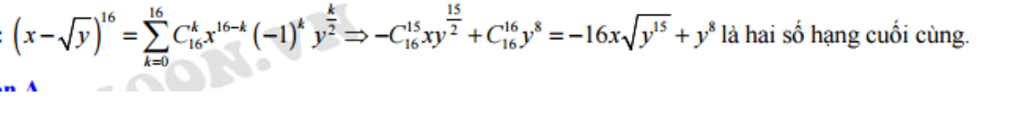
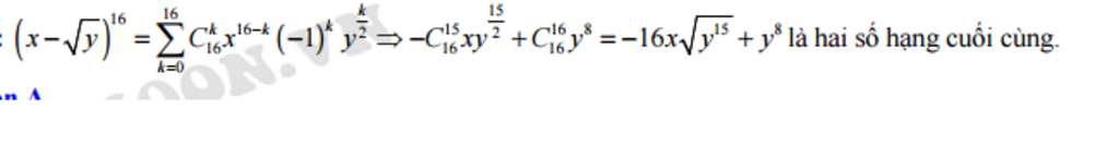
Trong Khai Triển (x- Căn Y) Mũ 16. Tính Tổng 2 Số Cuối Câu Hỏi 55432
Có thể bạn quan tâm


Tìm kiếm với hình ảnh
Vui lòng chỉ chọn một câu hỏi
Tìm đáp án
Đăng nhập- |
- Đăng ký


Hoidap247.com Nhanh chóng, chính xác
Hãy đăng nhập hoặc tạo tài khoản miễn phí!
Đăng nhậpĐăng ký

Lưu vào
+
Danh mục mới
- ngangaongo

- Chưa có nhóm
- Trả lời
0
- Điểm
45
- Cảm ơn
0
- Toán Học
- Lớp 11
- 10 điểm
- ngangaongo - 21:10:07 17/10/2019
- Hỏi chi tiết
Báo vi phạm
Hãy luôn nhớ cảm ơn và vote 5* nếu câu trả lời hữu ích nhé!
TRẢ LỜI
ngangaongo rất mong câu trả lời từ bạn. Viết trả lờiTRẢ LỜI


- khanhvan6

- Chưa có nhóm
- Trả lời
361
- Điểm
3451
- Cảm ơn
297
- khanhvan6
- 17/10/2019


Hãy giúp mọi người biết câu trả lời này thế nào?
starstarstarstarstarstarstarstarstarstarstarstarstarstarstarstarstarstarstarstarstarstarstarstarstarstarstarstarstarstarstarstarstarstarstarGửiHủy
Cảm ơn
Báo vi phạm
Bạn muốn hỏi điều gì?
Tham Gia Group Dành Cho Lớp 11 Chia Sẻ, Trao Đổi Tài Liệu Miễn Phí

Bảng tin
Bạn muốn hỏi điều gì?
Lý do báo cáo vi phạm?
Gửi yêu cầu Hủy

Cơ quan chủ quản: Công ty Cổ phần Công nghệ Giáo dục Thành Phát
Tải ứng dụng


- Hướng dẫn sử dụng
- Điều khoản sử dụng
- Nội quy hoidap247
- Góp ý
Inbox: m.me/hoidap247online
Trụ sở: Tầng 7, Tòa Intracom, số 82 Dịch Vọng Hậu, Cầu Giấy, Hà Nội.
Từ khóa » Trong Khai Triển (x-√y)^16
-
[LỜI GIẢI] Trong Khai Triển ( X - Căn Y )^16, Tổng Hai Số Hạng Cuối Là
-
Trong Khai Triển Xy ^16 Hai Số Hạng Cuối Là -16xy^15+ - Tự Học 365
-
Trong Khai Triển (x−√y)16 ( X − Y ) 16 , Tổng Hai Số Hạng Cuối Là
-
Trong Khai Triển ({left( {x
-
Trong Khai Triển \({(x - \sqrt Y )^{16}}\), Tổng Hai Số Hạng Cuối Là Giá Trị ...
-
Trong Khai Triển \({\left( {x - \sqrt Y } \right) - CungHocVui
-
Trong Khai Triển ${{\left( X-\sqrt{y} \right)}^{16}}$, Hai Số Hạng Cuối Là:
-
Trong Khai Triển (x - √y)^16, Tổng Hai Số Hạng Cuối Là? - Lazi
-
Bài 3: Nhị Thức Niu-tơn - Hoc24
-
Tìm Hệ Số Của ((x^(16)) ) Trong Khai Triển ((( ((x^2) - 3x) )^(10)) )
-
Tìm Số Hạng Không Chứa X Trong Khai Triển (( ((x^2) + (2)(x)) )^6
-
15 Bài Tập Xác định Hệ Số, Số Hạng Trong Khai Triển Nhị Thức Niu-tơn ...
-
Trong Khai Triển (x- Căn Y) Mũ 16. Tính Tổng 2 Số Cuối - Ask & Learn 24/7
-
Sqrt Y } \right)^{16}},\) Tổng Hai Số Hạng Cuối Là