Trong Mặt Phẳng Oxy, Cho điểm M (1; -3). Tìm Tọa độ điểm N Là ảnh ...
Có thể bạn quan tâm


Tìm kiếm với hình ảnh
Vui lòng chỉ chọn một câu hỏi
Tìm đáp án
Đăng nhập- |
- Đăng ký


Hoidap247.com Nhanh chóng, chính xác
Hãy đăng nhập hoặc tạo tài khoản miễn phí!
Đăng nhậpĐăng ký

Lưu vào
+
Danh mục mới


- tolikbui2016

- Chưa có nhóm
- Trả lời
0
- Điểm
7
- Cảm ơn
0
- Toán Học
- Lớp 11
- 30 điểm
- tolikbui2016 - 16:00:17 11/11/2020
- Hỏi chi tiết
Báo vi phạm
Hãy luôn nhớ cảm ơn và vote 5* nếu câu trả lời hữu ích nhé!
TRẢ LỜI
- Boypk1

- Chưa có nhóm
- Trả lời
1
- Điểm
75
- Cảm ơn
1
- Boypk1
- 11/11/2020

Đáp án:
Giải

Hãy giúp mọi người biết câu trả lời này thế nào?

Cảm ơn 1
Báo vi phạm


- tolikbui2016

- Chưa có nhóm
- Trả lời
0
- Điểm
7
- Cảm ơn
0
Mình ko nhìn thấy gì hết bạn ơi
- tolikbui2016


- tolikbui2016

- Chưa có nhóm
- Trả lời
0
- Điểm
7
- Cảm ơn
0
Mik thấy r
- tolikbui2016


- quangcuong347

- Chưa có nhóm
- Trả lời
53468
- Điểm
3081
- Cảm ơn
52917
- quangcuong347
- 12/11/2020
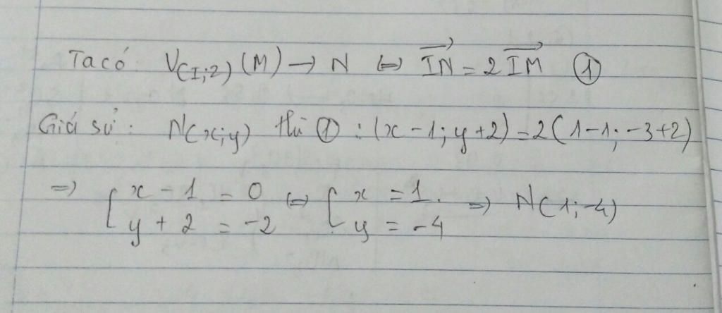
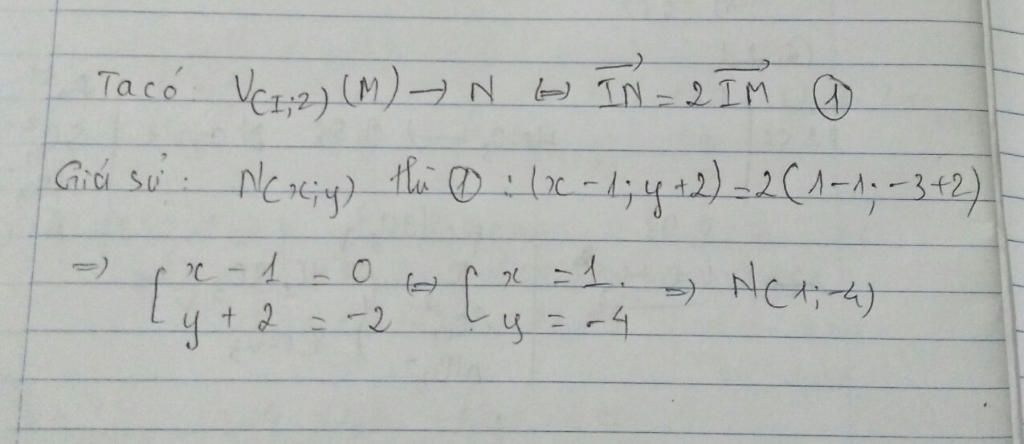
Đây là một chuyên gia không còn hoạt động$\vec{IM}(1-1; -3+2)=(0;-1)$
$V_{(I; 2)}: M\to N$
$\Rightarrow \vec{IN}=2\vec{IM}=(0;-2)$
$\Rightarrow N(0+1; -2-2)=(1;-4)$
Vậy $N(1;-4)$
Hãy giúp mọi người biết câu trả lời này thế nào?
starstarstarstarstarstarstarstarstarstarstarstarstarstarstarstarstarstarstarstarstarstarstarstarstarstarstarstarstarstarstarstarstarstarstarGửiHủy
Cảm ơn
Báo vi phạm
Bạn muốn hỏi điều gì?
Tham Gia Group Dành Cho Lớp 11 Chia Sẻ, Trao Đổi Tài Liệu Miễn Phí

Bảng tin
Bạn muốn hỏi điều gì?
Lý do báo cáo vi phạm?
Gửi yêu cầu Hủy

Cơ quan chủ quản: Công ty Cổ phần Công nghệ Giáo dục Thành Phát
Tải ứng dụng


- Hướng dẫn sử dụng
- Điều khoản sử dụng
- Nội quy hoidap247
- Góp ý
Inbox: m.me/hoidap247online
Trụ sở: Tầng 7, Tòa Intracom, số 82 Dịch Vọng Hậu, Cầu Giấy, Hà Nội.
Từ khóa » Trong Mp Oxy Cho điểm M(1 1)
-
Trong Mặt Phẳng Oxy Cho điểm M(1 - Khóa Học
-
Trong Mặt Phẳng Oxy Cho điểm (M( (1;1) ) ). Hỏi Trong Bốn điểm đ
-
[LỜI GIẢI] Trong Mặt Phẳng Oxy Cho điểm M( 1 - Tự Học 365
-
1). Điểm Nào Sau đây Là ảnh Của M Qua Phép Quay Tâm O, Góc Quay ...
-
Trong Mặt Phẳng Oxy Cho điểm M(1;1). Ảnh Của M Qua Phép Quay ...
-
Trong Mp Oxy, Cho M(-1;1), N(1;-3). Viết Phương Trình đường Tròn đi ...
-
Top 10 Trong Mặt Phẳng Oxy Cho điểm M(1 1) 2022
-
Trong Mặt Phẳng Tọa độ Oxy, Cho điểm M(1;-3). Khẳng định Nào Sau ...
-
Trong Mặt Phẳng Tọa độ Oxy, Cho điểm M(1;0). Phép Quay Tâm O Góc ...
-
Trong Mặt Phẳng Oxy, Cho điểm M(1
-
Trong Mặt Phẳng Oxy, Cho điểm M(1;-2). Tìm Toạ độ điểm ... - MTrend
-
Trong Mặt Phẳng Tọa độ $Oxy$ Cho điểm $M\left( {1
-
Câu Hỏi Trong Mặt Phẳng Oxy điểm M Biểu Diễn Số Phức Z = – 1 –
-
Tìm Tọa độ Của điểm M'' Là ảnh Của M Qua Phép đối Xứng Góc Trục