Truyền Chuyển động - Lý Thuyết Môn Công Nghệ 8
Có thể bạn quan tâm
Nâng cấp gói Pro để trải nghiệm website VnDoc.com KHÔNG quảng cáo, và tải file cực nhanh không chờ đợi.
Tìm hiểu thêm » Mua ngay Từ 79.000đ Hỗ trợ ZaloTruyền chuyển động cung cấp lý thuyết về truyền chuyển động và bộ truyền động, kèm các câu hỏi trắc nghiệm Công nghệ lớp 8 đi kèm giúp các em nắm vững kiến thức được học và vận dụng trả lời câu hỏi dễ dàng hơn? Mời các bạn tham khảo chi tiết dưới đây.
Bài 29: Truyền chuyển động
- A. Lý thuyết & Nội dung bài học
- I. Tại sao cần truyền chuyển động?
- II. Bộ truyền động
- B. Câu hỏi trắc nghiệm
A. Lý thuyết & Nội dung bài học
I. Tại sao cần truyền chuyển động?
Máy hay các thiết bị cần có cơ cấu truyền chuyển động vì các bộ phận của máy thường đặt xa nhau và có tốc độ quay không giống nhau song đều được dẫn động từ một chuyển động ban đầu.
Nhiệm vụ của các bộ truyền chuyển động là: Truyền và biến đổi tốc độ cho phù hợp với tốc độ của các bộ phận trong máy.
II. Bộ truyền động
1. Truyền động ma sát – truyền động đai
a) Cấu tạo bộ truyền động đại
Truyền động ma sát là là cơ cấu truyền chuyển động quay nhờ lực ma sát giữa các mặt tiếp xúc của vật dẫn và vật bị dẫn.
Gồm 3 bộ phận chính: bánh dẫn, bánh bị dẫn, dây đai. Dây đai: làm bằng vật liệu tạo ma sát tốt, bánh đai: Kim loại, gỗ ...vv

b) Nguyên lí làm việc
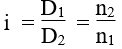
Khi bánh dẫn 1 (đường kính D1) quay với tốc độ nd (n1) (vòng/phút), nhờ lực ma sát giữa dây đai và bánh đai, bánh bị dẫn 2 (đường kính D2) sẽ quay với tốc độ nb d (n2) (vòng/phút), tỉ số truyền i được xác định bởi công thức:
![]()
c) Ứng dụng
Cấu tạo đơn giản, làm việc êm, ít ồn, có thể truyền chuyển động giữa các trục ở cách xa nhau, được sử dụng rộng rải như: máy khâu, máy tiện, ô tô vv...
Khi ma sát giữa bánh và dây đai không đủ đảm bảo thì chúng có thể bị trượt nên tỉ số truyền bị thay đổi.
2. Truyền động ăn khớp
Để khắc phục sự trượt của chuyển động đai người ta dùng chuyển động ăn khớp.
a) Cấu tạo bộ truyền động
Bánh răng: Bánh dẫn và bánh bị dẫn.
Xích: Đĩa dẫn, đĩa bị dẫn, xích.
Để hai bánh răng ăn khớp được với nhau thì khoảng cách giữa hai răng kề nhau trên bánh này phải bằng khoảng giữa hai răng kề nhau trên bánh kia.
Để đĩa ăn khớp được với xích thì cỡ răng của đĩa và cỡ xích phải tương ứng.
b) Tính chất
Bánh răng 1 có số răng là Z1, tốc độ quay n1, Bánh răng 2 có số răng là Z2, tốc độ quay n2 thì tỉ số truyền i:

c) Ứng dụng
Bộ truyền chuyển động bánh răng dùng để truyền chuyển động quay giữa các trục song song hoặc vuông góc với nhau, có tỉ số truyền xác định, được dùng nhiều trong trong hệ thống truyền động như đồng hồ, hộp số xe máy vv...
Bộ truyền động xích dùng để truyền chuyển động quay giữa hai trục xa nhau, tỉ số truyền xác định được sử dụng xe đạp, xe máy, máy nâng chuyển vv...
B. Câu hỏi trắc nghiệm
Câu 1: Các máy móc hay thiết bị do mấy bộ phận hợp thành?
A. 1
B. 2
C. Nhiều
D. Đáp án khác
Đáp án: C
Câu 2: Trong các máy móc hay thiết bị, các bộ phận được đặt ở:
A. Cùng vị trí
B. Các vị trí khác nhau
C. Cả A và B đều đúng
D. Cả A và B đều sai
Đáp án: B
Câu 3: Tại sao trong máy cần có các bộ phận truyền chuyển động?
A. Do các bộ phận của máy thường đặt xa nhau
B. Do các bộ phận của máy đều được dẫn động từ một chuyển động ban đầu
C. Do các bộ phận của máy thường có tốc độ quay không giống nhau
D. Cả 3 đáp án trên
Đáp án: D
Câu 4: Nhiệm vụ của các bộ phận truyền chuyển động là:
A. Truyền tốc độ cho phù hợp với tốc độ của bộ phận trong máy
B. Biến đổi tốc độ phù hợp với tốc độ của các bộ phận trong máy
C. Cả A và B đều đúng
D. Đáp án A hoặc B
Đáp án: C
Câu 5: Cấu tạo bộ truyền động đai có mấy bộ phận?
A. 1
B. 2
C. 3
D. 4
Đáp án: C
Đó là bánh dẫn, bánh bị dẫn, dây đai.
Câu 6: Dây đai được làm bằng:
A. Da thuộc
B. Vải dệt nhiều lớp
C. Vải đính với cao su
D. Cả 3 đáp án trên
Đáp án: C
Câu 7: Bộ truyền động đai được ứng dụng trong:
A. Máy khâu
B. Máy khoan
C. Máy tiện
D. Cả 3 đáp án trên
Đáp án: D
Do có cấu tạo đơn giản, làm việc êm, ít ồn, có thể truyền chuyển động giữa các trục cách xa nhau nên được sử dụng rộng rãi.
Câu 8: Cấu tạo bộ truyền động bánh răng gồm mấy bộ phận?
A. 1
B. 2
C. 3
D. 4
Đáp án: B
Đó là bánh dẫn và bánh bị dẫn.
Câu 9: Cấu tạo bộ truyền động xích gồm mấy bộ phận?
A. 1
B. 2
C. 3
D. 4
Đáp án: C
Đó là đĩa dẫn, đĩa bị dẫn, xích.
Câu 10: Bộ truyền động xích ứng dụng trong:
A. Xe đạp
B. Xe máy
C. Máy nâng chuyển
D. Cả 3 đáp án trên
Đáp án: D
Từ khóa » Bộ Biến Tốc Ma Sát Là Gì
-
đề án Bộ Biến Tốc Ma Sát - Tài Liệu Text - 123doc
-
đề án Bộ Biến Tốc Ma Sát - 123doc
-
Học Chi Tiết Máy Bài 73:Giới Thiệu Bộ Truyền Bánh Ma Sát
-
[PDF] Truyền động Bánh Ma Sát
-
Bài Giảng Truyền động Bánh Ma Sát - TaiLieu.VN
-
Chương 2: TRUYỀN ĐỘNG CƠ KHÍ – TRUYỀN ĐỘNG BÁNH MA SÁT
-
Ma Sát – Wikipedia Tiếng Việt
-
Công Thức Tính Lực Ma Sát Trượt - Hoàng Vina
-
Bài Giảng Truyền động Bánh Ma Sát - TailieuMienPhi
-
Bài Giảng Chi Tiết Máy - Chương 2: Truyền động Cơ Khí ... - Tài Liệu Mới
-
Truong II Truyen Dong Ma Sat - Quản Lí Giáo Dục - Nguyễn Thị Vân Anh
-
Bộ Truyền Bánh Ma Sát – Trang Thông Tin Mua Bán ôtô Hàng đầu
-
Truyền động Cơ Khí Là Gì? - Ngô Phan
-
Bài 29: Truyền Chuyển động - Hoc24
-
Truyền động Cơ Khí Là Gì? Chức Năng Phân Loại Và ưu Nhược điểm
-
Lực Ma Sát Là Gì ? ứng Dụng Của Lực Ma Sát - Thế Giới Điện Cơ
-
Lực Ma Sát Là Gì? Tìm Hiểu Về Các Loại Lực Ma Sát Phổ Biến Nhất Hiện ...