— Về Tính Liên Tục Và Tính Liên Tục đều Của Hàm Số...
Có thể bạn quan tâm
- rss
- archive
-
Về tính liên tục và tính liên tục đều của hàm số biến số thực
Bài viết tóm tắt một số tính chất và mối liên hệ giữa tính liên tục và tính liên tục đều của hàm số. Nhiều người không thấy rõ sự khác nhau giữa hai lớp hàm này.Khi nói về tính liên tục của hàm số các giáo trình thường định nghĩa khái niệm hàm số liên tục tại một điểm trước sau đó mới định nghĩa tính liên tục của nó trên một tập.Xin nhắc lại khái niệm hàm số liên tục trên một tập A.Hàm số f liên tục trên tập A nếu và chỉ nếu
Xem đầy đủ bài viết tại trang web: VNMATH.COMCLICK QUẢNG CÁO ĐỂ ỦNG HỘ VNMATH BẠN NHÉ!:)MỖI CLICK QUẢNG CÁO BẠN ĐÃ ỦNG HỘ 200VND CHO VIỆC DUY TRÌ VNMATH!:)
Có một thay đổi lớn khi ta di chuyển các lượng từ trong định nghĩa trên.
Trong định nghĩa tính liên tục, ta sẽ bắt đầu với việc lấy a và ε. Khi đó với a và ε ta đi tìm δ thỏa mãn các tính chất yêu cầu. Nhưng với sự thay đổi trên, ta sẽ bắt đầu với việc chỉ lấy ε và không cần biết giá trị a cụ thể nào ta đi tìm δ chỉ phụ thuộc vào ε thỏa các tính chất yêu cầu và δ này phục vụ cho toàn bộ các giá trị a. Từ đó nảy sinh khái niệm liên tục đều.Hàm số f liên tục đều trên A nếu và chỉ nếu
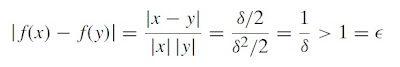
Điểm khác biệt đángchú ý ở đây là liên tục mang tính địa phương trong khi liên tục đều mang tính toàn cục. Nói rõ hơn là ta không có khái niệm liên tục đều tại từng điểm.Tiếp theo, ta xét một số mối liên hệ giữa liên tục đều và liên tục.Từ định nghĩa, lập tức ta suy ra hàm liên tục đều thì liên tục. Điều ngược lại nói chung không đúng.Phản thí dụ:Hàm số y=1/x không liên tục đều trên (0;1). Thật vậy với ε=1, với mọi 0< δ<1 chọn x=δ/2, y=δ ta có |x-y|< δ và
Tuy nhiên, ta có kết quả dễ thương sau: nếu hàm số thực f liên tục trên tập compact thì liên tục đều trên tập đó. Vậy trên tập compact liên tục tương đương với liên tục đều.Tính chất sau chỉ thêm một đặc trưng của hàm liên tục đều không có trên lớp hàm liên tục. Nếu f liên tục đều trên tập bị chặn A thì f(A) bị chặn.Một lần nữa ta thấy tính không liên tục đều của hàm y=1/x trên (0;1).Một số bài tập nhỏ dành cho bạn đọc.1) Chứng minh các hàm số y=x2, y=ex không liên tục đều trên đường thẳng thực.2) Chứng minh hàm số y=tan x không liên tục đều trên (−π/2, π/2).3) Tìm một hàm số liên tục đều trên [0, +∞) khác với hàm hằng và hàm bậc nhất.- January 13, 2010 (9:35 am)
- #Phương pháp Dạy học Toán
- #Phản thí dụ
Từ khóa » Chứng Minh Hàm Liên Tục đều
-
Liên Tục đều: Dấu Hiệu – Phản Ví Dụ | Giải Tích
-
Về Tính Liên Tục Và Tính Liên Tục đều Của Hàm Số Biến Số Thực
-
Hàm Số Liên Tục đều (phần 1) - YouTube
-
Monkey D. Luffy
-
[PDF] Chương 3. Hàm Liên Tục Một Biến Số Lê Văn Trực
-
Chứng Minh Mọi Hàm Số Liên Tục đều Trên (a,b) Là Bị Chặn - Giải Tích
-
Liên Tục đều - Toán Học - Trần Đức Chiển - Thư Viện Bài Giảng điện Tử
-
Liên Tục đều Là Gì - LuTrader
-
[PDF] CALCULUS - Đại Học Sư Phạm Hà Nội
-
Tính Liên Tục đều Của Hàm Số - 123doc
-
Sự Liên Tục Và Sự Khả Vi Của Hàm Hai Biến - Tài Liệu Text - 123doc
-
Xét Tính Liên Tục đều Của Hàm Số [Lưu Trữ] - Diễn Đàn MathScope
-
Hàm Liên Tục – Wikipedia Tiếng Việt
-
[PDF] đề Cương Bài Tập Hệ Kĩ Sư Tài Năng
Khi nói về tính liên tục của hàm số các giáo trình thường định nghĩa khái niệm hàm số liên tục tại một điểm trước sau đó mới định nghĩa tính liên tục của nó trên một tập.Xin nhắc lại khái niệm hàm số liên tục trên một tập A.Hàm số f liên tục trên tập A nếu và chỉ nếu