A Căn B + B Căn A / Căn Ab A. Tìm điều Kiện để A Có Nghĩa B. Rút Gọn A
Có thể bạn quan tâm


Tìm kiếm với hình ảnh
Vui lòng chỉ chọn một câu hỏi
Tìm đáp án
Đăng nhập- |
- Đăng ký


Hoidap247.com Nhanh chóng, chính xác
Hãy đăng nhập hoặc tạo tài khoản miễn phí!
Đăng nhậpĐăng ký

Lưu vào
+
Danh mục mới
- Chihanhnguyen

- Chưa có nhóm
- Trả lời
0
- Điểm
15
- Cảm ơn
0
- Toán Học
- Lớp 9
- 20 điểm
- Chihanhnguyen - 09:44:21 01/09/2020
- Hỏi chi tiết
Báo vi phạm
Hãy luôn nhớ cảm ơn và vote 5* nếu câu trả lời hữu ích nhé!
TRẢ LỜI


- hoa24092001yl

- Chưa có nhóm
- Trả lời
9047
- Điểm
92412
- Cảm ơn
5612
- hoa24092001yl
- 01/09/2020
Đây là một chuyên gia không còn hoạt độngGiải thích các bước giải:
Ta có:
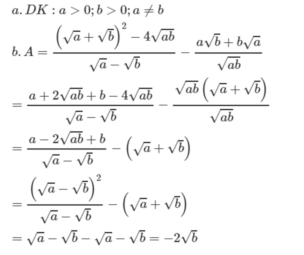
a,
ĐKXĐ:
\(\left\{ \begin{array}{l}a \ge 0\\b \ge 0\\\sqrt a - \sqrt b \ne 0\\\sqrt {ab} \ne 0\end{array} \right. \Leftrightarrow \left\{ \begin{array}{l}a \ge 0\\b \ge 0\\a \ne b\\a \ne 0;\,\,b \ne 0\end{array} \right. \Leftrightarrow \left\{ \begin{array}{l}a > 0\\b > 0\\a \ne b\end{array} \right.\)
b,
\(\begin{array}{l}A = \dfrac{{{{\left( {\sqrt a + \sqrt b } \right)}^2} - 4\sqrt {ab} }}{{\sqrt a - \sqrt b }} - \dfrac{{a\sqrt b + b\sqrt a }}{{\sqrt {ab} }}\\ = \dfrac{{\left( {a + 2\sqrt {ab} + b} \right) - 4\sqrt {ab} }}{{\sqrt a - \sqrt b }} - \dfrac{{{{\sqrt a }^2}.\sqrt b + {{\sqrt b }^2}.\sqrt a }}{{\sqrt {ab} }}\\ = \dfrac{{a - 2\sqrt {ab} + b}}{{\sqrt a - \sqrt b }} - \dfrac{{\sqrt {ab} \left( {\sqrt a + \sqrt b } \right)}}{{\sqrt {ab} }}\\ = \dfrac{{{{\left( {\sqrt a - \sqrt b } \right)}^2}}}{{\sqrt a - \sqrt b }} - \left( {\sqrt a + \sqrt b } \right)\\ = \left( {\sqrt a - \sqrt b } \right) - \left( {\sqrt a + \sqrt b } \right)\\ = - 2\sqrt b \end{array}\)
Hãy giúp mọi người biết câu trả lời này thế nào?
starstarstarstarstarstarstarstarstarstarstarstarstarstarstarstarstarstarstarstarstarstarstarstarstarstarstarstarstarstarstarstarstarstarstarGửiHủy
Cảm ơn
Báo vi phạm
Xem thêm:
- >> Tuyển tập 100+ đề bài đọc hiểu Ngữ Văn lớp 9
- Drickervn

- The Solidarity
- Trả lời
769
- Điểm
189
- Cảm ơn
890
- Drickervn
- 01/09/2020

Đáp án:
$-2\sqrt{b}$
Giải thích các bước giải:

Hãy giúp mọi người biết câu trả lời này thế nào?
starstarstarstarstarstarstarstarstarstarstarstarstarstarstarstarstarstarstarstarstarstarstarstarstarstarstarstarstarstarstarstarstarstarstarGửiHủy
Cảm ơn
Báo vi phạm
Bạn muốn hỏi điều gì?
Tham Gia Group Dành Cho Lớp 9 - Ôn Thi Vào Lớp 10 Miễn Phí

Bảng tin
Bạn muốn hỏi điều gì?
Lý do báo cáo vi phạm?
Gửi yêu cầu Hủy

Cơ quan chủ quản: Công ty Cổ phần Công nghệ Giáo dục Thành Phát
Tải ứng dụng


- Hướng dẫn sử dụng
- Điều khoản sử dụng
- Nội quy hoidap247
- Góp ý
Inbox: m.me/hoidap247online
Trụ sở: Tầng 7, Tòa Intracom, số 82 Dịch Vọng Hậu, Cầu Giấy, Hà Nội.
Từ khóa » Căn A + Căn B = Căn A+b
-
Chứng Minh Căn (a+b) < Căn A + Căn B - Lê Nhật Minh - HOC247
-
Tính Giá Trị Của Biểu Thức A Căn A - B Căn B/ Căn A - Căn B - HOC247
-
Chứng Minh đẳng Thức: A Căn A + B Căn B / Căn A + Căn B
-
Chứng Minh Căn (a+b)^2) ≥ (căna+cănb)/ 2Với A ≥ 0, B ...
-
Tính Căn A/b + Căn Ab + A/b Căn B/a Với A,b > 0
-
Chứng Minh Rằng, Với A > B > 0 Thì Căn A
-
A+ Căn Ab/ Căn A + Căn B
-
Rút Gọn (ab)/( Căn Bậc Hai Của A - Mathway
-
Kết Quả Rút Gọn Của Biểu Thức (a+ Căn Ab)/(b+ Căn Ab) (với A, B > 0) Là...
-
Bài 8: Rút Gọn Biểu Thức Chứa Căn Bậc Hai - Hoc24
-
Cho A= (căn A + Căn B)^2 - 4 Căn Ab / Căn A-căn B - MTrend
-
Cho Căn A,,,căn B,,,căn C Là độ Dài Các Cạnh Của Tam Giác. Giải Phương